Electron Transport, Charge Transfer Processes and Localized States of Charge Carriers in Nanosized Anodic TiO2 Films
Abstract
1. Introduction
2. Materials and Methods
3. Results and Discussion
4. Conclusions
Author Contributions
Funding
Data Availability Statement
Conflicts of Interest
References
- Albertin, K.F.; Pereyra, I. Study of reactive sputtering titanium oxide for metal-oxide-semiconductor capacitors. Thin Solid Films 2009, 517, 4548–4554. [Google Scholar] [CrossRef]
- Kundu, S.; Roy, S.; Banerji, P. GaAs metal–oxide–semiconductor device with titanium dioxide as dielectric layer: Effect of oxide thickness on the device performance. J. Phys. D Appl. Phys. 2011, 44, 155104. [Google Scholar] [CrossRef]
- Nunes, D.; Fortunato, E.; Martins, R. Flexible nanostructured TiO2-based gas and UV sensors: A review. Discov. Mater. 2022, 2, 2. [Google Scholar] [CrossRef]
- Cadatal-Raduban, M.; Pope, J.; Olejníček, J.; Kohout, M.; Harrison, J.A.; Hasan, S.M. Ultraviolet-C photoresponsivity using fabricated TiO2 thin films and transimpedance-amplifier-based test setup. Sensors 2022, 22, 8176. [Google Scholar] [CrossRef]
- Moshnikov, V.A.; Muratova, E.N.; Aleshin, A.; Maksimov, A.; Nenashev, G.; Vrublevsky, I.; Lushpa, N.; Tuchkovsky, A.K.; Zhilenkov, A.A.; Kichigina, O. Controlled crystallization of hybrid perovskite films from solution using prepared crystal centers. Crystals 2024, 14, 376. [Google Scholar] [CrossRef]
- Vrublevsky, I.A.; Chemyakova, K.; Lushpa, N.; Tuchkovsky, A.K.; Tzaneva, B.R.; Videkov, V. Obtaining, properties and application of nanoscale films of anodic titanium dioxide on Ti-Al films for perovskite solar cells. In 2021 XXX International Scientific Conference Electronics (ET); IEEE: New York, NY, USA, 2021; pp. 1–4. [Google Scholar] [CrossRef]
- Asahi, R.; Taga, Y.; Mannstadt, W.; Freeman, A.J. Electronic and optical properties of anatase TiO2. Phys. Rev. B 2000, 61, 7459–7465. [Google Scholar] [CrossRef]
- Shinde, P.S.; Sadale, S.B.; Patil, P.S.; Bhosale, P.N.; Brüger, A.; Neumann-Spallart, M.; Bhosale, C.H. Properties of spray deposited titanium dioxide thin films and their application in photoelectrocatalysis. Sol. Energy Mater. Sol. Cells 2008, 92, 283–290. [Google Scholar] [CrossRef]
- Luca, V.; Djajanti, S.D.; Howe, R.F. Structural and electronic properties of sol−gel titanium oxides studied by X-ray absorption spectroscopy. J. Phys. Chem. B 1998, 102, 10650–10657. [Google Scholar]
- Takikawa, H.; Matsui, T.; Sakakibara, T.; Bendavid, A.; Martin, P.J. Properties of titanium oxide film prepared by reactive cathodic vacuum arc deposition. Thin Solid Films 1999, 348, 145–151. [Google Scholar] [CrossRef]
- Sanjinés, R.; Tang, H.; Berger, H.; Gozzo, F.; Margaritondo, G.; Lévy, F. Electronic-Structure of Anatase TiO2 Oxide. J. Appl. Phys. 1994, 75, 2945–2951. [Google Scholar] [CrossRef]
- Kim, S.; Lee, J.; Hwangbo, C.K.; Lee, S. DC reactive magnetron sputtering with Ar ion-beam assistance for titanium oxide films. Surf. Coat. Technol. 2002, 158, 457–464. [Google Scholar] [CrossRef]
- Kalygina, V.M.; Egorova, I.S.; Prudaev, I.A.; Tolbanov, O.P.; Atuchin, V.V. Conduction mechanism of metal-TiO2–Si structures. Chin. J. Phys. 2017, 55, 59–63. [Google Scholar] [CrossRef]
- Nuñez, P.D.; Richter, M.H.; Piercy, B.D.; Roske, C.W.; Cabán-Acevedo, M.; Losego, M.D.; Konezny, S.J.; Fermín, D.J.; Hu, S.; Brunschwig, B.S.; et al. Characterization of Electronic Transport through Amorphous TiO2 Produced by Atomic Layer Deposition. J. Phys. Chem. C 2019, 123, 20116–20129. [Google Scholar] [CrossRef]
- Schneider, M.; Schroth, S.; Schilm, J.; Michaelis, A. Micro-EIS of anodic thin oxide films on titanium for capacitor applications. Electrochim. Acta 2009, 54, 2663–2671. [Google Scholar] [CrossRef]
- Ohtsuka, T.; Otsuki, T. The influence of the growth rate on the semiconductive properties of titanium anodic oxide films. Corros. Sci. 1998, 40, 951–958. [Google Scholar] [CrossRef]
- Brocklebank, M.; Feltham, H.; Noël, J.J.; Goncharova, L.V. Mechanism of titanium electrochemical oxidation via isotopic labeling, high resolution ion depth profiling, and impedance spectroscopy. Electrochim. Acta 2022, 435, 141342. [Google Scholar] [CrossRef]
- Moiz, S.A.; Khan, I.A.; Younis, W.A.; Karimov, K.S. Space charge–limited current model for polymers. Conduct. Polym. 2016, 5, 91. [Google Scholar] [CrossRef]
- Gagarina, A.U.; Bezverkhniy, V.P.; Muratova, E.N.; Moshnikov, V.A.; Vrublevsky, I.A.; Tuchkovsky, A.K.; Lushpa, N.V. Preparation and properties of nanoscale titanium dioxide film for transport layer of n-type photovoltaic cell. Semiconductors 2024, 58, 545–547. [Google Scholar] [CrossRef]
- Simeonov, S.; Kafedjiiska, E.; Szekeres, A.; Parlog, C.; Gartner, M. Electrical characterization of mis structures with SOL-GEL TiO2(La) dielectric films. J. Optoelectron. Adv. Mater. 2005, 7, 545–548. [Google Scholar]
- Li, R.; Yan, F.; Deng, Y.; Shang, Y.; Sheng, Y. Tunable rapid electron transport in titanium oxide thin films. Appl. Phys. Lett. 2023, 122, 011601. [Google Scholar] [CrossRef]
- Mariuca, G.; Szekeres, A.; Stroescu, H.; Mitrea, D.; Covei, M. Advanced Nanostructured Coatings Based on Doped TiO2 for Various Applications. Molecules 2023, 28, 7828. [Google Scholar] [CrossRef] [PubMed]








| Temperature, K | m1 on the First Section | m2 on the Second Section | m3 on the Third Section | UΩ→T, V |
|---|---|---|---|---|
| 300 | 1 | 1.176 | 1.5 | 0.22 |
| 260 | 1 | 1.18 | 1.527 | 0.22 |
| 140 | 1.1 | 1.48 | 2.3 | 0.22 |
| 100 | 1.1 | 1.54 | 2.41 | 0.22 |
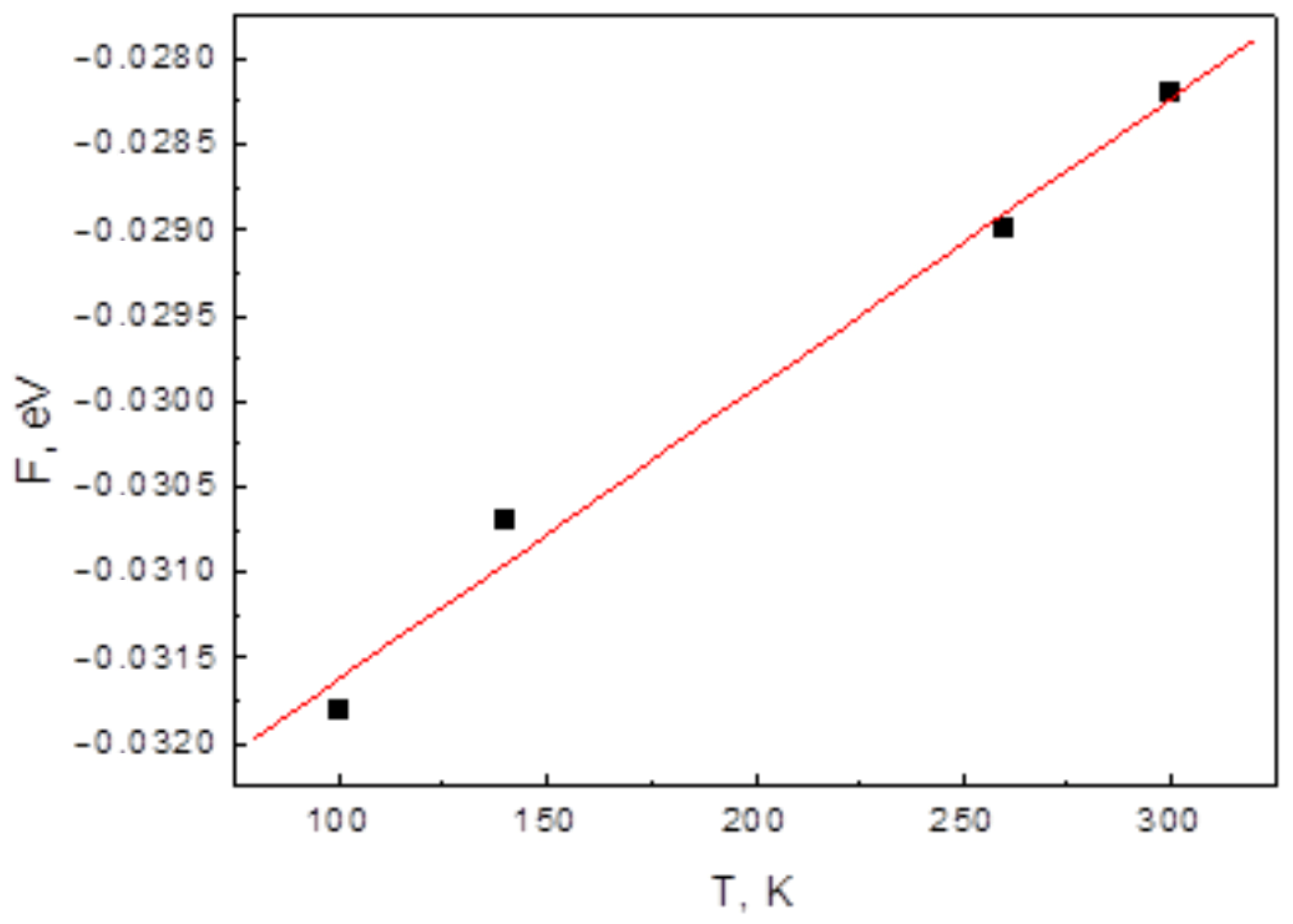
| Temperature, K | Voltage of the Beginning of the 3rd Section of the I–V Characteristic, V | Electric Field Strength on the 3rd Section of the I–V Characteristic, V m−1 | Donor Level Shift ∆W1, eV | Fermi Level, eV |
|---|---|---|---|---|
| 300 | 0.918 | 4.50 × 107 | 0.056 | 0.0282 |
| 260 | 0.854 | 4.27 × 107 | 0.055 | 0.029 |
| 140 | 0.796 | 3.98 × 107 | 0.053 | 0.0307 |
| 100 | 0.734 | 3.67 × 107 | 0.051 | 0.0318 |
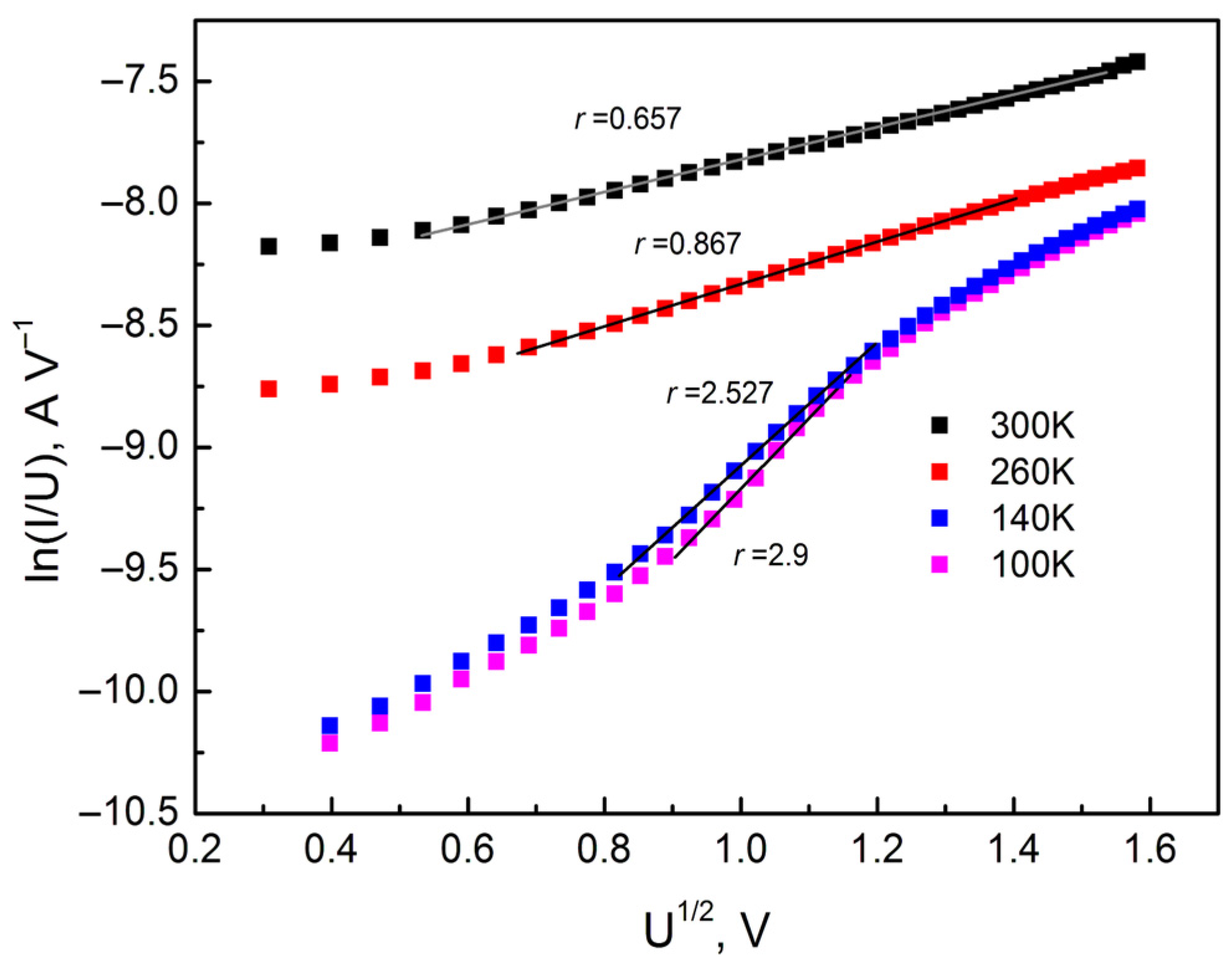
| Temperature, K | kT, eV | Fermi Level, F, eV | Poole–Frenkel Coordinates, Tangent of Angle, r |
|---|---|---|---|
| 100 | 0.0086 | 0.0318 | 2.9 |
| 140 | 0.012 | 0.0307 | 2.527 |
| 260 | 0.024 | 0.029 | 0.867 |
| 300 | 0.026 | 0.0282 | 0.657 |
Disclaimer/Publisher’s Note: The statements, opinions and data contained in all publications are solely those of the individual author(s) and contributor(s) and not of MDPI and/or the editor(s). MDPI and/or the editor(s) disclaim responsibility for any injury to people or property resulting from any ideas, methods, instructions or products referred to in the content. |
© 2026 by the authors. Licensee MDPI, Basel, Switzerland. This article is an open access article distributed under the terms and conditions of the Creative Commons Attribution (CC BY) license.
Share and Cite
Muratova, E.N.; Ryabko, A.A.; Moshnikov, V.A.; Vrublevsky, I.A.; Maximov, A.I. Electron Transport, Charge Transfer Processes and Localized States of Charge Carriers in Nanosized Anodic TiO2 Films. Nanomanufacturing 2026, 6, 6. https://doi.org/10.3390/nanomanufacturing6010006
Muratova EN, Ryabko AA, Moshnikov VA, Vrublevsky IA, Maximov AI. Electron Transport, Charge Transfer Processes and Localized States of Charge Carriers in Nanosized Anodic TiO2 Films. Nanomanufacturing. 2026; 6(1):6. https://doi.org/10.3390/nanomanufacturing6010006
Chicago/Turabian StyleMuratova, Ekaterina N., Andrey A. Ryabko, Vyacheslav A. Moshnikov, Igor A. Vrublevsky, and Alexandr I. Maximov. 2026. "Electron Transport, Charge Transfer Processes and Localized States of Charge Carriers in Nanosized Anodic TiO2 Films" Nanomanufacturing 6, no. 1: 6. https://doi.org/10.3390/nanomanufacturing6010006
APA StyleMuratova, E. N., Ryabko, A. A., Moshnikov, V. A., Vrublevsky, I. A., & Maximov, A. I. (2026). Electron Transport, Charge Transfer Processes and Localized States of Charge Carriers in Nanosized Anodic TiO2 Films. Nanomanufacturing, 6(1), 6. https://doi.org/10.3390/nanomanufacturing6010006

