Next Article in Journal
rPET Nanofiber Membranes for Air Filtration: High Performance via Electrospinning Optimization
Previous Article in Journal
Machine Learning-Based Algorithm for the Design of Multimode Interference Nanodevices
 
 
Font Type:
Arial Georgia Verdana
Font Size:
Aa Aa Aa
Line Spacing:
Column Width:
Background:
Article

Preparation and Transport Properties of Mn2.16Ga Single Crystal

Hubei Engineering Research Center of Weak Magnetic-Field Detection, College of Science, China Three Gorges University, Yichang 443002, China
*
Authors to whom correspondence should be addressed.
Nanomanufacturing 2026, 6(1), 5; https://doi.org/10.3390/nanomanufacturing6010005
Submission received: 20 September 2025 / Revised: 20 December 2025 / Accepted: 3 February 2026 / Published: 5 February 2026

Abstract

In recent years, antiferromagnetic kagome materials have attracted considerable attention in condensed matter physics owing to their distinctive lattice geometry. In this work, high-quality single crystals of D019-structured Mn2.16Ga were grown using the flux method, and their magnetotransport properties were systematically studied. Measurements of magnetization versus field (M–H), temperature-dependent magnetization (M–T), and the anomalous Hall effect confirm that the crystal undergoes a magnetic-structural transition driven by both temperature and the magnetic field. Remarkably, a coexistence of positive and negative longitudinal magnetoresistance (MR) is observed in Mn2.16Ga. The MR shows a field-induced sign change from negative to positive. The negative MR is attributed to field-modified magnetic ordering, whereas the positive MR originates mainly from interlayer electron conduction in the kagome lattice and distortion of the in-plane triangular arrangement of Mn magnetic moments. These results offer valuable insights into the electronic and magnetic transport behavior of Mn-based antiferromagnetic single crystals.

1. Introduction

Antiferromagnetic materials are promising candidates for next-generation magnetic storage devices owing to their advantageous properties, such as negligible stray fields and low sensitivity to external magnetic fields. Memory devices based on antiferromagnets offer the potential for higher storage density and faster magnetization switching, positioning them as strong contenders for non-volatile, high-density data storage applications [1,2,3,4,5,6].
Among various antiferromagnetic systems, the kagome-structured Mn3X family (X = Sn, Ge, Ga) exhibits remarkable transport properties, topological spin textures, tunable strong spin-orbit coupling, and phenomena such as the anomalous Hall effect (AHE), anomalous Nernst effect (ANE), and planar Hall effect (PHE) [7,8,9,10,11,12,13,14,15,16]. The Mn3X crystal structure belongs to the p63/mmc space group, where the Mn atoms form a triangular kagome lattice in the ab-plane, as illustrated in Figure 1a,b. This arrangement results in a zero magnetic moment along the out-of-plane direction (along the z direction, as shown in Figure 1a), but a non-zero in-plane moment due to incomplete magnetic compensation, yielding weak in-plane ferromagnetism and a non-zero Berry curvature [17,18]. This distinctive magnetic structure gives rise to various anomalous transport effects in Mn3X compounds [12,13,14,15,16]. For instance, Mn3Sn exhibits an anomalous Hall conductivity of 25 Ω−1 cm−1 at room temperature, which increases to 130 Ω−1 cm−1 following a low-temperature magnetic-structural transition [19,20]. Room-temperature anomalous Hall conductivities on the order of 50 Ω−1 cm−1 have been observed in Mn3Ge. Additionally, the ANE and PHE have been reported in both Mn3Sn and Mn3Ge [17,19,20,21,22]. These findings make the Mn3X series an indispensable material platform for spintronics research.
Within the Mn3X series, Mn3−xGa exhibits a richer and more complex phase diagram, featuring cubic, tetragonal, and hexagonal phases [23,24,25,26,27], which can interconvert under specific temperature conditions. The hexagonal Mn3−xGa phase possesses a crystal structure analogous to that of Mn3Sn and Mn3Ge [28,29]. Figure 1a depicts the full lattice structure of Mn3Ga, which consists of two layers stacked along the c-axis. In each layer, three Mn atoms form a triangular kagome network, with Ga atoms surrounded by six Mn atoms. The corresponding magnetic structure is shown in Figure 1b. The in-plane magnetic moments of the Mn atoms largely cancel each other, resulting in an almost negligible net magnetic moment along the c-axis. However, within the kagome plane, a weak ferromagnetic moment emerges due to the distorted kagome structure. It is noteworthy that the hexagonal Mn3Ga phase is stabilized by an excess of Ga atoms [30], with a Néel temperature ranging from 430 to 480 K. Experimentally, growing stoichiometric Mn3Ga single crystals is challenging [31], whereas single crystals with Mn vacancies (Mn3−xGa) form more readily [30,31,32,33,34]. In this work, we successfully synthesized hexagonal-structured Mn2.16Ga single crystals using a flux method and discovered temperature and magnetic-field-induced lattice distortions. Furthermore, a magnetoresistance (MR) effect associated with interlayer electron transport was observed.

2. Experimental Methods

Mn2.16Ga single crystals were grown using the flux method with Bi (Aladdin, Shanghai, China) as the flux. The process involved the following steps: Step 1: Preparation of Mn3Ga Polycrystalline Alloy. A polycrystalline Mn3Ga precursor was synthesized via arc-melting in an argon atmosphere using high-purity Mn (99.9 wt%, Aladdin, Shanghai, China) and Ga (99.999 wt%, Aladdin, Shanghai, China). To compensate for Mn volatility during melting, a 5% excess of Mn was used. Compositional analysis of the resulting ingot yielded a nominal composition of Mn3.11Ga. Step 2: Crystal Growth. The Mn3.11Ga polycrystalline was crushed and mixed with Bi flux in a molar ratio of Mn3.11Ga:Bi = 1:2.1. The mixture was sealed in an Al2O3 crucible within an evacuated quartz tube backfilled with 0.2 bar of argon to suppress Mn volatilization. The sealed ampoule was heated in a muffle furnace to 1423 K and held for 24 h to ensure complete dissolution, then slowly cooled to 1003 K at a rate of 8 K/h to avoid secondary phase formation. Subsequently, the cooling rate was reduced to 1 K/h until the temperature reached 903 K. At 903 K, the quartz tube was rapidly centrifuged to separate the grown Mn2.16Ga single crystals from the Bi flux.
The chemical composition was determined via X-ray fluorescence (XRF) analysis. Crystal structure and orientation were characterized by X-ray diffraction (XRD) on both a bulk single crystal and ground powder samples. Elemental distribution was verified by energy-dispersive X-ray (EDX) mapping performed on powder samples using a scanning electron microscope (SEM). Magnetic properties—as well as electrical and magnetotransport measurements, including resistivity, Hall effect, and magnetoresistance—were measured using a Physical Property Measurement System (PPMS, Quantum Design, San Diego, CA, USA).

3. Results and Discussion

A bulk single crystal was obtained using the method above, and the morphology photo is shown in the inset of Figure 1c. XRF analysis confirmed the nominal chemical formula to be Mn2.16Ga. The XRD pattern from the bulk crystal surface is presented in Figure 1c (vertical axis in logarithmic scale to highlight weak peaks). Only two sharp diffraction peaks corresponding to the (0002) and (0004) planes are observed in the XRD pattern, indicating a well-oriented crystal lattice. The photograph in the inset of Figure 1c indicates that the single crystal sample has a side length of 1.7 mm and a thickness of approximately 1 mm, and the regular hexagonal surface shown in Figure 1c corresponds to the (0001) plane, as determined by angle-resolved XRD measurements. In order to carefully determine the structure of the crystal, in addition to the XRD pattern of the bulk single crystal presented in Figure 1c, we also ground the crystals of the same batch into powder and characterized them by XRD; the results are shown in Figure S1 in the Supplementary Materials. Using XRD characterization of the powder samples, the lattice constant of the crystal was calculated to be a = b = 5.4120 Å, c = 4.3314 Å, with interaxial angles α = β = 90° and γ = 120°. These values are consistent with the crystallographic parameters of Mn3Ga reported in the literature [32]. EDX mapping of a hexagonal single-crystal particle (~1 μm in side length) confirms the uniform distribution of Mn and Ga without elemental segregation, indicating high compositional homogeneity and crystal quality (Figure 1d; full spectrum provided in the Supplementary Materials).
The non-collinear kagome spin structure of Mn3X materials leads to macroscopic antiferromagnetism coexisting with in-plane weak ferromagnetism within the kagome plane, which can be probed via the AHE. In this study, we performed anisotropic AHE measurements on Mn2.16Ga single crystals. Given the sixfold symmetry of the kagome structure in the kagome plane, measurements were conducted with current applied along the two principal in-plane directions: [2 1 ¯ 1 ¯ 0] and [01 1 ¯ 0]. The magnetic field was applied perpendicular to the current but remained within the kagome plane (H//[01 1 ¯ 0], I//[2 1 ¯ 1 ¯ 0]). The Hall voltage was measured along the z-axis. This configuration establishes a uniform magnetization along the field direction, enabling observation of the AHE. For quantitative analysis, the experimentally measured anomalous Hall resistance was calculated using
ρ A H E = R A H E A w
where R A H E is the measured Hall resistance, A is the cross-sectional area of the sample perpendicular to the current, and w is the distance between Hall voltage contacts. To eliminate artifacts from contact misalignment, measurements were taken with both positive and negative field polarities. The final AHE resistivity was derived as follows:
ρ z x = ρ z x + H ρ z x H 2
where ρzx represents the Hall resistivity, and ρ z x + H and ρ z x H are the resistivities measured under positive and negative magnetic fields, respectively. It should be noted that the method based on Equation (2) can also effectively suppress interference from the planar Hall effect. Owing to the twofold rotational symmetry of the planar Hall effect with respect to the applied magnetic field, the planar Hall resistivity remains invariant under a 180° rotation of the magnetic field. The procedure defined by Equation (2) therefore eliminates the contribution of the planar Hall effect arising from measurement orthogonality errors.
The Hall resistivity obtained via Equation (2) contains contributions from both the ordinary Hall effect and the anomalous Hall effect (AHE). To extract the purely anomalous Hall resistivity, the high-field region of the total Hall resistivity versus magnetic field curve is fitted linearly to determine its slope. The product of this slope and the magnetic field is then subtracted from the total Hall resistivity curve, thereby removing the ordinary Hall component and yielding the isolated anomalous Hall resistivity signal.
Figure 2 presents the schematic diagrams of the current (and magnetic field) orientations for the anisotropic anomalous Hall resistance measurements and the corresponding test results. Figure 2a displays the AHE resistivity ( ρ z x ) for H//[01 1 ¯ 0], I//[2 1 ¯ 1 ¯ 0] at various temperatures. The AHE signal saturates at a field of ~0.1 T, with the saturation field showing little temperature dependence. Comparisons among Figure 2a–c reveal the anisotropic AHE response. The magnetoresistance measured with current along the [2 1 ¯ 1 ¯ 0] direction is approximately equal to that obtained with current along the [01 1 ¯ 0] direction, indicating nearly isotropic magnetic properties within the kagome plane. In contrast, for the out-of-plane configuration (H//z), no significant AHE is observed, consistent with the minimal spontaneous magnetization along the [0001] direction, as Mn moments lie primarily within the kagome plane [34].
By comparative analysis of the AHE resistivity at different measurement temperatures (50 K, 110 K, 200 K, and 300 K), one can observe a remarkable feature: between 50 and 200 K, the saturated AHE intensity of the sample remains constant at ~6 μΩ·cm. However, upon increasing the temperature from 200 K to 300 K, it drops abruptly to ~4.1 μΩ·cm. To clarify the origin of this abrupt change, the underlying physical mechanisms of the anomalous Hall effect must be considered. Theoretically, the anomalous Hall effect can arise from three distinct mechanisms—intrinsic contribution, skew scattering, and side jump—each leading to a characteristic scaling relation between the anomalous Hall resistivity and the longitudinal magnetoresistance. Fitting the dependence of the anomalous Hall resistivity on the longitudinal magnetoresistance could, in principle, identify the dominant mechanism in this material system and thus help explain the features of the anomalous Hall curve shown in Figure 2. However, in the present measurements, both the anomalous Hall resistivity and the longitudinal magnetoresistance exhibit only a limited variation range, which prevents a reliable fitting analysis. Consequently, a deeper investigation into the physical origin of this temperature-induced abrupt change in the anomalous Hall effect remains beyond the scope of this study. Furthermore, for the 50 K data shown in Figure 2a, there is a distinct anomalous convex feature in the [2 1 ¯ 1 ¯ 0]-oriented AHE when the magnetic field approaches ~−0.5 T (swept from positive to negative) and +0.75 T (swept from negative to positive), as marked with a dashed line. These features likely indicate a magnetic field-driven spin structure transition.
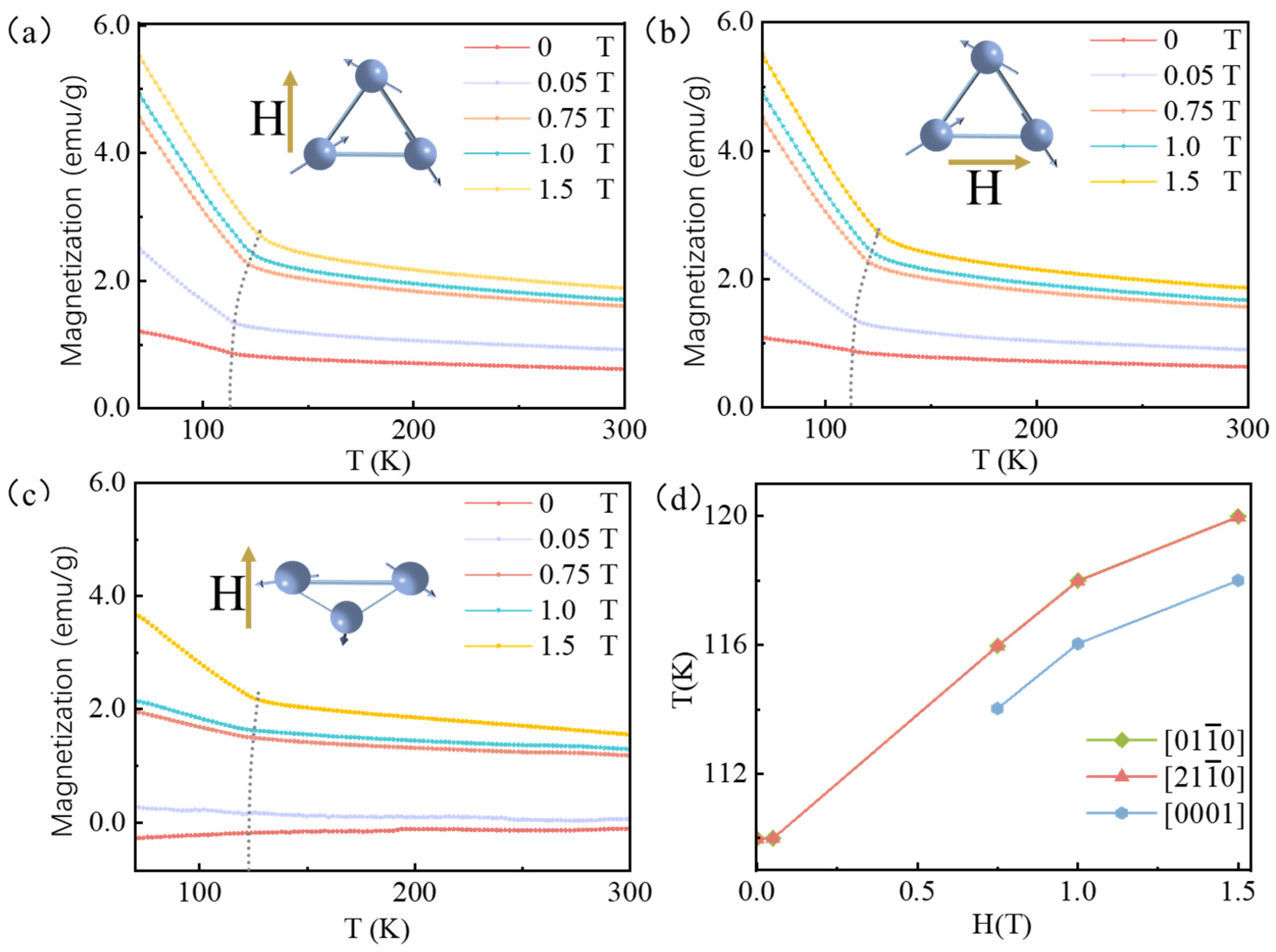
If a temperature induced change is responsible for the abrupt shift in AHE, it should also manifest in the macroscopic magnetization. To verify this hypothesis, we investigated the temperature-dependent magnetization (M–T) of the sample under various background magnetic fields along three principal directions: [2 1 ¯ 1 ¯ 0], [01 1 ¯ 0], and [0001]; the results are shown in Figure 3. While the total magnetic moment decreases monotonically with increasing temperature in all configurations, a distinct inflection point consistently appears within the 110–130 K range. Taking the [01 1 ¯ 0] orientation as an example: under 1.5 T, the inflection occurs at 125 K; as the field decreases to 0.05 T, it shifts down to 116 K, demonstrating a clear field dependence. Below the inflection temperature, the magnetic moment decreases rapidly with increasing temperature, whereas above it, the decrease becomes significantly more gradual. This contrasts with smooth order-to-disorder transitions in conventional magnets and indicates a temperature-induced change in magnetic structure (kagome lattice distortion) within the 110–130 K range. The systematic shift of the transition temperature with field confirms that this distortion is modulated by both temperature and the magnetic field.
Regarding the mechanism of this kagome distortion, the current literature presents two different interpretations: (1) a hexagonal-to-tetragonal structural phase transition at the critical temperature [33], versus (2) a lattice distortion without symmetry breaking, as demonstrated by Linxuan Song and Bei Ding et al. [31] via comprehensive DSC and XRD studies of polycrystalline Mn3Ga. Our field-dependent resistivity measurements (Supplementary Materials, Figure S4) show an approximately linear temperature dependence relationship without abrupt changes characteristic of a first-order structural phase transitions, supporting the lattice scenario of a distortion within the hexagonal lattice.
The data in Figure 3d, derived from Figure 3a–c, summarize the variation in the temperature at which the inflection occurs with the applied magnetic field along different crystallographic directions. The two in-plane directions show nearly identical behavior while the out-of-plane [0001] direction consistently exhibits lower transition temperatures, demonstrating that this magnetic field- and temperature-induced lattice distortion also exhibits anisotropy.
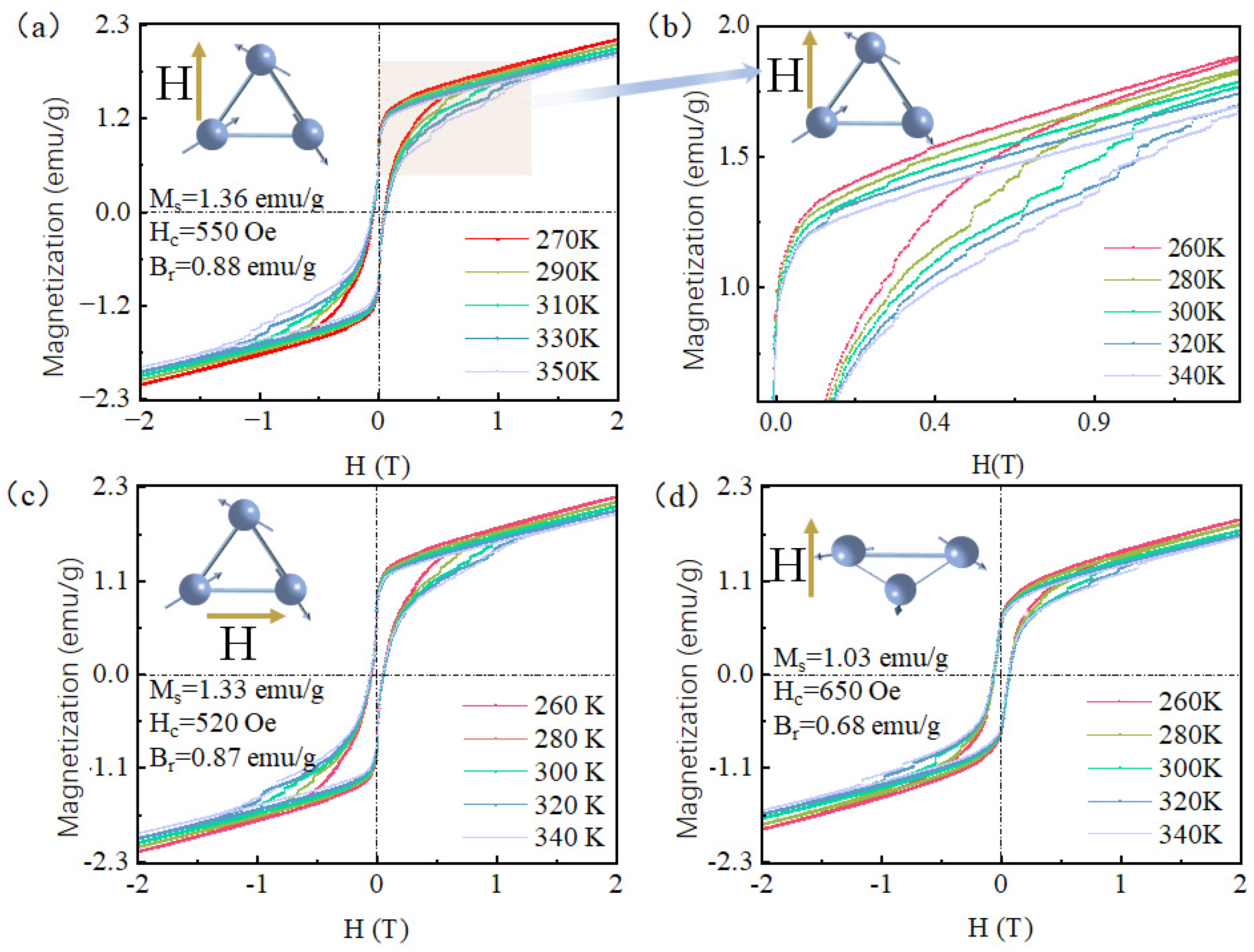
Since kagome lattice distortions are established to influence macroscopic magnetism with temperature and magnetic field, it follows that these structural changes should correspondingly modify the magnetic hysteresis. To verify this hypothesis, we systematically measured the magnetic hysteresis loops with the field applied along various crystallographic orientations. Figure 4a,c,d present the hysteresis loops measured over a temperature range of 260–320 K under various field orientations, and the parameters presented in the figure originate from the magnetic hysteresis loop measured at 260 K.
A comparison of the hysteresis loops in Figure 4a,c,d reveals a clear dependence on crystallographic orientation. When magnetized within the kagome plane, the sample exhibits a coercive field of 550 Oe, a remanent magnetization of 0.88 emu/g, and a saturation magnetization of 1.36 emu/g. In contrast, magnetization along the c-axis results in a higher coercivity of 650 Oe, a lower remanent magnetization of 0.68 emu/g, and a lower saturation magnetization of 1.03 emu/g, demonstrating distinct magnetic anisotropy along these principal directions.
The detailed view in Figure 4b demonstrates step-like increases in magnetization during gradual field elevation. This behavior can be interpreted as a signature of discontinuous Barkhausen jumps [34], a phenomenon arising from the de-pinning and abrupt reversal of pinned magnetic domains.
To investigate the magnetic structure changes corresponding to the M–T results as shown in Figure 3, magnetic hysteresis loops of the sample were measured at five discrete temperatures—70 K, 125 K, 200 K, 300 K, and 340 K—within the range of 70–340 K; the results are shown in Figure S3 in the Supplementary Materials. It can be observed that between 125 and 340 k, the saturation magnetization of the sample gradually decreases with increasing temperature, though the rate of change is relatively modest. In contrast, as the temperature decreased from 125 to 70 k, the saturation magnetization increases rapidly. This behavior aligns with the M–T results shown in Figure 3 and indicates that the rate of change of the magnetic moment with temperature is significantly greater prior to the magnetic structure transition.
To further investigate the impact of this kagome magnetic structure distortion on the macroscopic properties, we performed magnetoresistance (MR) measurements on Mn2.16Ga along different magnetic field orientations. According to the theory of magnetoresistance, MR can be described as
M R = ρ x x H ρ x x 0 ρ x x 0 × 100 %
where ρ x x H represents the resistivity under an applied field and ρ x x 0 is the zero-field resistivity.
Following an approach similar to that for the anomalous Hall resistance, we minimized errors due to non-collinear contacts by rotating the magnetic field and calculating the resistivity from the following expression:
ρ x x = ρ x x + H ρ x x H 2
Figure 5 presents the MR results measured at 50 K, 70 K, 110 K, and 300 K, respectively, under various current and field orientations. As shown in Figure 5a, the MR for H//[2 1 ¯ 1 ¯ 0] exhibits good symmetry within ±3 T, confirming that measurement artifacts from non-collinear contacts have been effectively corrected by using the method shown in Equation (4). Notably, a sign reversal in MR is observed for H//[2 1 ¯ 1 ¯ 0]. Taking the 50 K MR curve as an example: starting from zero field, the MR first becomes negative—a behavior opposite to conventional magnetoresistance. It reaches a minimum of −0.009% at 1 T, then reverses sign, crossing zero at approximately 1.7 T, and finally turns positive, reaching 0.027% at 3 T. A similar sign reversal occurs at 70 K and 110 K for H//[2 1 ¯ 1 ¯ 0], though the negative extrema are slightly smaller in magnitude than at 50 K. In contrast, at 300 K, the MR for H//[2 1 ¯ 1 ¯ 0] shows a conventional triangular shape without sign reversal.
In magnetoresistance measurements, the overall resistance of the sample results from the competition between two distinct mechanisms. The first one gives rise to negative magnetoresistance, likely originating from changes in the magnetic ordering of the sample under an external field. As the magnetic field increases, the magnetic moments become more aligned, domain walls are reduced, electron scattering is suppressed, and consequently the resistance decreases with increasing magnetic field.
The second mechanism leads to positive MR and is generally more complex, which may arise from enhanced electron scattering due to the Lorentz force in a magnetic field, though it could also be related to the intrinsic magnetic structure of the material.
In the measurement shown in Figure 5a (corresponding to configuration I), the magnetoresistance of the sample transitions from negative to positive with increasing magnetic field. In this configuration, because the current is applied parallel to the magnetic field, itinerant electrons experience no Lorentz force, and thus the positive magnetoresistance remains very small. As a result, the negative magnetoresistance induced by the first mechanism is prominently observed.
However, we further observe that as the magnetic field increases, the magnetoresistance undergoes a sign change from negative to positive, indicating growing contribution of the second mechanism with increasing field strength. The emergence of positive MR in this context may be attributed to several factors: first, inter-layer electron conduction between Kagome layers [35] could generate a velocity component perpendicular to the magnetic field, subjecting carriers to the Lorentz force, which elongates electron trajectories and enhances scattering. Second, magnetic contributions may also play a role: under an in-plane magnetic field, the triangular magnetic structure may be partially suppressed by the external field, and a slight breaking of the antiferromagnetic ordered could enhance electron scattering, leading to a small positive MR [30].
Figure 5b displays the transverse MR with the field applied along the [2 1 ¯ 1 ¯ 0] direction at various temperatures. Compared with the longitudinal MR shown in Figure 5a, two distinct differences are evident. First, no negative MR is observed in the transverse configuration. Second, although both configurations apply the magnetic field within the kagome plane, the magnitude of positive MR differs dramatically—the transverse MR in Figure 5b exceeds that in Figure 5a by more than two orders of magnitude.
According to the AHE results presented in Figure 2, no significant magnetic anisotropy exists within the kagome plane. We therefore infer that the magnetic structure contributes only minimally to this large disparity in MR. Instead, the difference likely stems from the distinct electron scattering behaviors dictated by the measurement geometry. In the measurement configuration of Figure 5a, the magnetic field is collinear with the current, so electrons experience no Lorentz force. In contrast, in the transverse setup of Figure 5b, electrons are deflected by the Lorentz force along the c-axis direction, causing their trajectories to bend across the kagome layers. We propose that this interlayer electron motion subjects carriers to stronger scattering, thereby yielding a substantially higher resistance.
Additionally, Figure 5b shows that the resistivity values at 50 K and 110 K are similar, whereas a slight decrease is observed at 300 K. This trend may be attributed to enhanced phonon scattering at elevated temperatures, where increased thermal excitation randomizes electron motion and weakens the magnetic-field-induced Lorentz force effect, leading to a comparatively weaker magnetoresistance at higher temperatures.
The behavior observed in Figure 5c is analogous to that shown in Figure 5b. In Configuration III, where the magnetic field is applied perpendicular to the kagome plane, the positive MR induced by the Lorentz force dominates the negative MR arising from magnetic ordering, resulting in an overall positive MR. However, unlike in Figure 5b, the MR amplitude in Figure 5c is significantly smaller. This difference originates from the distinct electron trajectories imposed by the Lorentz force. In configuration III, electrons are bent within the kagome layers, which enhances scattering but—in the absence of interlayer motion—yields a much weaker MR compared to the cross-layer deflection occurring in Configuration II (Figure 5b).
In Figure 5b,c, the slope of the MR curve changes notably around 1 T. Together with the M–H results shown in Figure 4, which show that the magnetization of the sample approaches saturation near 1 T, we attribute the turning point in the MR of Figure 5b to magnetization reversal of the Mn atoms. In Figure 5c, however, the magnetic field is aligned along the c-axis, where interlayer antiferromagnetic coupling makes magnetization reversal of Mn atoms more difficult. Consequently, the turning point in the MR curve of Figure 5c is considerably weaker than that in Figure 5b. A similar MR feature—termed a “hump” inflection point—was reported in Ref. [31], where it was likewise explained as a signature of spin flip.

4. Conclusions

To explore the structure–property coupling in kagome systems, single crystals of non-stoichiometric Mn2.16Ga were grown using the flux method, and their magnetotransport and magnetic properties were systematically investigated. A distinct slope change in the magnetization–temperature (M–T) curves between 110 K and 130 K indicates a temperature-mediated lattice distortion. In the Mn2.16Ga system, we observe the coexistence of positive and negative MR. At low magnetic fields, the sample exhibits negative MR, which then transitions to positive MR and gradually increases with rising field. The negative MR is attributed primarily to field-induced modifications in the magnetic ordering. In contrast, the positive MR originates from the synergistic effects of the Lorentz force—enhanced by interlayer electron conduction within the kagome lattice—and the distortion of the triangular magnetic framework formed by Mn moments.

Supplementary Materials

The following supporting information can be downloaded at: https://www.mdpi.com/article/10.3390/nanomanufacturing6010005/s1, Figure S1. XRD spectrum of Mn2.16Ga powder samples, the unmarked peaks in the XRD belong to the flux Bi. Figure S2. EDX mapping and spectrum of Mn and Ga elements of a hexagonal single crystal particle. Figure S3. The Hysteresis loop of the Mn2.16Ga single crystal with the temperature various from 70 K–340 K. Figure S4. Temperature dependence of resistivity for Mn2.16Ga. Figure S5: Magnetic hysteresis loops of Mn2.16Ga measured at three characteristic temperatures.

Author Contributions

Conceptualization, C.L. and L.Y.; methodology, X.H.; investigation, C.L. and W.W.; data curation, Y.Z.; writing—original draft preparation, C.L.; writing—review and editing, L.Y., G.L. and Y.X.; supervision, L.Y. All authors have read and agreed to the published version of the manuscript.

Funding

This research was funded by the National Natural Science Foundation of China, grant number 12274258 and Youth Program of Natural Science Foundation of Hubei Province, grant number 2024AFB333.

Data Availability Statement

The original contributions presented in this study are included in the article/Supplementary Materials. Further inquiries can be directed to the corresponding authors.

Conflicts of Interest

The authors declare no conflict of interest.

References

  1. Baltz, V.; Manchon, A.; Tsoi, M.; Moriyama, T.; Ono, T.; Tserkovnyak, Y. Antiferromagnetic spintronics. Rev. Mod. Phys. 2018, 90, 015005. [Google Scholar] [CrossRef]
  2. Jungwirth, T.; Sinova, J.; Manchon, A.; Marti, X.; Wunderlich, J.; Felser, C. The multiple directions of antiferromagnetic spintronics. Nat. Phys. 2018, 14, 200–203. [Google Scholar] [CrossRef]
  3. Han, T.-H.; Helton, J.S.; Chu, S.; Nocera, D.G.; Rodriguez-Rivera, J.A.; Broholm, C.; Lee, Y.S. Fractionalized excitations in the spin-liquid state of a kagome-lattice antiferromagnet. Nature 2012, 492, 406–410. [Google Scholar]
  4. Zhao, H.; Li, H.; Ortiz, B.R.; Teicher, S.M.L.; Park, T.; Ye, M.; Wang, Z.; Balents, L.; Wilson, S.D.; Zeljkovic, I. Cascade of correlated electron states in the kagome superconductor CsV3Sb5. Nature 2021, 599, 216–221. [Google Scholar] [CrossRef]
  5. Nie, L.; Sun, K.; Ma, W.; Song, D.; Zheng, L.; Liang, Z.; Wu, P.; Yu, F.; Li, J.; Shan, M.; et al. Charge-density-wave-driven electronic nematicity in a kagome superconductor. Nature 2022, 604, 59–64. [Google Scholar]
  6. Rimmler, B.H.; Pal, B.; Parkin, S.S.P. Non-collinear antiferromagnetic spintronics. Nat. Rev. Mater. 2024, 10, 109–127. [Google Scholar] [CrossRef]
  7. Kuroda, K.; Tomita, T.; Suzuki, M.-T.; Bareille, C.; Nugroho, A.A.; Goswami, P.; Ochi, M.; Ikhlas, M.; Nakayama, M.; Akebi, S.; et al. Evidence for magnetic Weyl fermions in a correlated metal. Nat. Mater. 2017, 16, 1090–1095. [Google Scholar] [CrossRef] [PubMed]
  8. Liu, E.; Sun, Y.; Kumar, N.; Muechler, L.; Sun, A.; Jiao, L.; Yang, S.-Y.; Liu, D.; Liang, A.; Xu, Q.; et al. Giant anomalous Hall effect in a ferromagnetic kagome-lattice semimetal. Nat. Phys. 2018, 14, 1125–1131. [Google Scholar] [CrossRef] [PubMed]
  9. Yin, J.-X.; Zhang, S.S.; Chang, G.; Wang, Q.; Tsirkin, S.S.; Guguchia, Z.; Lian, B.; Zhou, H.; Jiang, K.; Belopolski, I.; et al. Negative flat band magnetism in a spin–orbit-coupled correlated kagome magnet. Nat. Phys. 2019, 15, 443–448. [Google Scholar]
  10. Teng, X.; Chen, L.; Ye, F.; Rosenberg, E.; Liu, Z.; Yin, J.-X.; Jiang, Y.-X.; Oh, J.S.; Hasan, M.Z.; Neubauer, K.J.; et al. Discovery of charge density wave in a kagome lattice antiferromagnet. Nature 2022, 609, 490–495. [Google Scholar] [CrossRef] [PubMed]
  11. Zhang, D.; Hou, Z.; Mi, W.J. Progress in magnetic alloys with kagome structure: Materials, fabrications and physical properties. Mater. Chem. C 2022, 10, 7748–7770. [Google Scholar] [CrossRef]
  12. Zhang, Y.; Sun, Y.; Yang, H.; Železný, J.; Parkin, S.P.P.; Felser, C.; Yan, B. Strong anisotropic anomalous Hall effect and spin Hall effect in the chiral antiferromagnetic compounds Mn3X (X = Ge, Sn, Ga, Ir, Rh, and Pt). Phys. Rev. B 2017, 95, 75128. [Google Scholar] [CrossRef]
  13. Ikhlas, M.; Tomita, T.; Koretsune, T.; Suzuki, M.-T.; Nishio-Hamane, D.; Arita, R.; Otani, Y.; Nakatsuji, S. Large anomalous Nernst effect at room temperature in a chiral antiferromagnet. Nat. Phys. 2017, 13, 1085–1090. [Google Scholar] [CrossRef]
  14. Chen, T.; Tomita, T.; Minami, S.; Fu, M.; Koretsune, T.; Kitatani, M.; Muhammad, I.; Nishio-Hamane, D.; Ishii, R.; Ishii, F.; et al. Anomalous transport due to Weyl fermions in the chiral antiferromagnets Mn3X, X = Sn, Ge. Nat. Commun. 2021, 12, 572. [Google Scholar] [CrossRef] [PubMed]
  15. Theuss, F.; Ghosh, S.; Chen, T.; Tchernyshyov, O.; Nakatsuji, S.; Ramshaw, B.J. Strong magnetoelastic coupling in Mn3X (X = Ge, Sn). Phys. Rev. B 2022, 105, 174430. [Google Scholar] [CrossRef]
  16. Guo, G.-Y.; Wang, T.-C. Large anomalous Nernst and spin Nernst effects in the noncollinear antiferromagnets Mn3X (X = Sn, Ge, Ga). Phys. Rev. B 2017, 96, 224415, Erratum in Phys. Rev. B 2019, 100, 169907. [Google Scholar] [CrossRef]
  17. Narita, H.; Ikhlas, M.; Kimata, M.; Nugroho, A.A.; Nakatsuji, S.; Otani, Y. Anomalous Nernst effect in a microfabricated thermoelectric element made of chiral antiferromagnet Mn3Sn. Appl. Phys. Lett. 2017, 111, 202404. [Google Scholar] [CrossRef]
  18. Lee, J.Y.; Pope, D.P.; Vitek, V. Deformation of Single Crystalline Mn3Sn. MRS Proc. 1986, 81, 229. [Google Scholar] [CrossRef]
  19. Sung, N.H.; Ronning, F.; Thompson, J.D.; Bauer, E.D. Magnetic phase dependence of the anomalous Hall effect in Mn3Sn single crystals. Appl. Phys. Lett. 2018, 112, 132406. [Google Scholar] [CrossRef]
  20. Sukhanov, A.S.; Pavlovskii, M.S.; Bourges, P.; Walker, H.C.; Manna, K.; Felser, C.; Inosov, D.S. Magnon-polaron excitations in the noncollinear antiferromagnet Mn3Ge. Phys. Rev. B 2019, 99, 214445. [Google Scholar] [CrossRef]
  21. Sharma, V.; Nepal, R.; Budhani, R.C. Planar Hall effect and anisotropic magnetoresistance in thin films of the chiral antiferromagnet Mn3Sn. Phys. Rev. B 2023, 108, 144435. [Google Scholar] [CrossRef]
  22. Xu, L.; Li, X.; Ding, L.; Behnia, K.; Zhu, Z. Planar Hall effect caused by the memory of antiferromagnetic domain walls in Mn3Ge. Appl. Phys. Lett. 2020, 117, 222403. [Google Scholar] [CrossRef]
  23. Balke, B.; Fecher, G.H.; Winterlik, J.; Felser, C. Mn3Ga, a compensated ferrimagnet with high Curie temperature and low magnetic moment for spin torque transfer applications. Appl. Phys. Lett. 2007, 90, 152504. [Google Scholar] [CrossRef]
  24. Winterlik, J.; Balke, B.; Fecher, G.H.; Felser, C.; Alves, M.C.M.; Bernardi, F.; Morais, J. Structural, electronic, and magnetic properties of tetragonal Mn3−x Ga: Experiments and first-principles calculations. Phys. Rev. B 2008, 77, 54406. [Google Scholar] [CrossRef]
  25. Khmelevskyi, S.; Ruban, A.V.; Mohn, P. Magnetic ordering and exchange interactions in structural modifications of Mn3Ga alloys: Interplay of frustration, atomic order, and off-stoichiometry. Phys. Rev. B 2016, 93, 184404. [Google Scholar] [CrossRef]
  26. Liu, Z.H.; Zhang, Y.J.; Liu, G.D.; Ding, B.; Liu, E.K.; Jafri, H.M.; Hou, Z.P.; Wang, W.H.; Ma, X.Q.; Wu, G.H. Transition from anomalous Hall effect to topological Hall effect in hexagonal non-collinear magnet Mn3Ga. Sci. Rep. 2017, 7, 515. [Google Scholar] [CrossRef]
  27. Fan, L.; Chen, F.; Li, C.; Hou, X.; Zhu, X.; Luo, J.; Chen, Z.-Q. Promising spintronics: Mn-based Heusler alloys Mn3Ga, Mn2YGa (Y = V, Nb, Ta), ScMnVGa. J. Magn. Magn. Mater. 2020, 497, 166060. [Google Scholar] [CrossRef]
  28. Okada, H.; Shoji, Y. Al substitution effects on phase stabilities and magnetic properties of tetragonal Mn3Ge. AIP Adv. 2019, 9, 35132. [Google Scholar] [CrossRef]
  29. Soh, J.-R.; De Juan, F.; Qureshi, N.; Jacobsen, H.; Wang, H.-Y.; Guo, Y.-F.; Boothroyd, A.T. Ground-state magnetic structure of Mn3Ge. Phys. Rev. B 2020, 101, 140411. [Google Scholar] [CrossRef]
  30. Song, L.; Zhou, F.; Li, H.; Ding, B.; Li, X.; Xi, X.; Yao, Y.; Lau, Y.; Wang, W. Large anomalous hall effect at room temperature in a fermi-level-tuned kagome antiferromagnet. Adv. Funct. Mater. 2024, 34, 2316588. [Google Scholar] [CrossRef]
  31. Song, L.; Ding, B.; Li, H.; Lv, S.; Yao, Y.; Zhao, D.; He, J.; Wang, W. Observation of structural distortion and topological Hall effect in noncollinear antiferromagnetic hexagonal Mn3Ga magnets. Appl. Phys. Lett. 2021, 119, 152405. [Google Scholar] [CrossRef]
  32. Song, L.; Zhou, F.; Chen, J.; Li, H.; Xi, X.; Lau, Y.-C.; Wang, W. In-plane anisotropic magnetoresistance and planar Hall effect in off-stoichiometric single crystal Mn3Ga. Appl. Phys. Lett. 2024, 125, 102403. [Google Scholar]
  33. Niida, H.; Hori, T.; Nakagawa, Y. Magnetic properties and crystal distortion of hexagonal Mn3Ga. J. Phys. Soc. Jpn. 1983, 52, 1512–1514. [Google Scholar]
  34. Chizhik, A.; Stupakiewicz, A.; Maziewski, A.; Zhukov, A.; Gonzalez, J.; Blanco, J.M. Direct observation of giant Barkhausen jumps in magnetic microwires. Appl. Phys. Lett. 2010, 97, 012502. [Google Scholar] [CrossRef]
  35. Togawa, Y.; Kousaka, Y.; Nishihara, S.; Inoue, K.; Akimitsu, J.; Ovchinnikov, A.S.; Kishine, J. Interlayer Magnetoresistance due to Chiral Soliton Lattice Formation in Hexagonal Chiral Magnet CrNb3S6. Phys. Rev. Lett. 2013, 111, 197204. [Google Scholar] [PubMed]
Figure 1. Crystallographic structure. (a) Schematic diagram of the unit cell of Mn3Ga. The gold and gray spheres represent Ga and Mn atoms, respectively. (b) Kagome lattice structure in the ab-plane, illustrating the non-collinear antiferromagnetic arrangement of Mn moments. (c) XRD pattern of the Mn2.16Ga sample (inset: optical micrograph of the crystal). (d) EDX mapping showing uniform distribution of Mn and Ga elements in a powder sample.
Figure 1. Crystallographic structure. (a) Schematic diagram of the unit cell of Mn3Ga. The gold and gray spheres represent Ga and Mn atoms, respectively. (b) Kagome lattice structure in the ab-plane, illustrating the non-collinear antiferromagnetic arrangement of Mn moments. (c) XRD pattern of the Mn2.16Ga sample (inset: optical micrograph of the crystal). (d) EDX mapping showing uniform distribution of Mn and Ga elements in a powder sample.
Nanomanufacturing 06 00005 g001
Figure 2. Anisotropy of the AHE in Mn2.16Ga. (ac) The field dependence of the Hall resistivity ρ at various temperatures, measured for three configurations:(a) Magnetic field H//y-axis and current I//x-axis; (b) H//x-axis and I//y-axis; (c) H//z-axis and I//y-axis. The dotted arrows represent the direction of the crystal axes, namely the a-axis, b-axis and c-axis.
Figure 2. Anisotropy of the AHE in Mn2.16Ga. (ac) The field dependence of the Hall resistivity ρ at various temperatures, measured for three configurations:(a) Magnetic field H//y-axis and current I//x-axis; (b) H//x-axis and I//y-axis; (c) H//z-axis and I//y-axis. The dotted arrows represent the direction of the crystal axes, namely the a-axis, b-axis and c-axis.
Nanomanufacturing 06 00005 g002
Figure 3. Temperature-dependent magnetization (M–T) of Mn2.16Ga. (ac) M–T curves under various background fields applied along [01 1 ¯ 0], [2 1 ¯ 1 ¯ 0], and [0001] crystallographic directions, respectively. (d) Field dependence of the inflection temperatures extracted from M–T curves for different field orientations. The grey dotted line indicates the location where the inflection point of the magnetization curve occurs.
Figure 3. Temperature-dependent magnetization (M–T) of Mn2.16Ga. (ac) M–T curves under various background fields applied along [01 1 ¯ 0], [2 1 ¯ 1 ¯ 0], and [0001] crystallographic directions, respectively. (d) Field dependence of the inflection temperatures extracted from M–T curves for different field orientations. The grey dotted line indicates the location where the inflection point of the magnetization curve occurs.
Nanomanufacturing 06 00005 g003
Figure 4. Field-dependent magnetization (M–H) of Mn2.16Ga. (a,c,d) M–H curves measured at temperatures between 260 and 340 K with the magnetic field applied along [01 1 ¯ 0], [2 1 ¯ 1 ¯ 0], and [0001] crystallographic directions, respectively. (b) Magnified view of the M–H curve for H//[01 1 ¯ 0], highlighting the characteristic metamagnetic transitions. The arrow on the blue ball indicates the direction of the atomic magnetic moment.
Figure 4. Field-dependent magnetization (M–H) of Mn2.16Ga. (a,c,d) M–H curves measured at temperatures between 260 and 340 K with the magnetic field applied along [01 1 ¯ 0], [2 1 ¯ 1 ¯ 0], and [0001] crystallographic directions, respectively. (b) Magnified view of the M–H curve for H//[01 1 ¯ 0], highlighting the characteristic metamagnetic transitions. The arrow on the blue ball indicates the direction of the atomic magnetic moment.
Nanomanufacturing 06 00005 g004
Figure 5. Magnetoresistance measurements of Mn2.16Ga. (a) Longitudinal magnetoresistance as a function of magnetic field at various temperatures for H//[2 1 ¯ 1 ¯ 0] and I//[2 1 ¯ 1 ¯ 0](Configuration I); (b) MR for H//[2 1 ¯ 1 ¯ 0] and I//[01 1 ¯ 0](Configuration II); (c) MR for H//[2 1 ¯ 1 ¯ 0] and I//[0001] (Configuration III).
Figure 5. Magnetoresistance measurements of Mn2.16Ga. (a) Longitudinal magnetoresistance as a function of magnetic field at various temperatures for H//[2 1 ¯ 1 ¯ 0] and I//[2 1 ¯ 1 ¯ 0](Configuration I); (b) MR for H//[2 1 ¯ 1 ¯ 0] and I//[01 1 ¯ 0](Configuration II); (c) MR for H//[2 1 ¯ 1 ¯ 0] and I//[0001] (Configuration III).
Nanomanufacturing 06 00005 g005
Disclaimer/Publisher’s Note: The statements, opinions and data contained in all publications are solely those of the individual author(s) and contributor(s) and not of MDPI and/or the editor(s). MDPI and/or the editor(s) disclaim responsibility for any injury to people or property resulting from any ideas, methods, instructions or products referred to in the content.

Share and Cite

MDPI and ACS Style

Liu, C.; He, X.; Xu, Y.; Wu, W.; Zou, Y.; Lu, G.; Yi, L. Preparation and Transport Properties of Mn2.16Ga Single Crystal. Nanomanufacturing 2026, 6, 5. https://doi.org/10.3390/nanomanufacturing6010005

AMA Style

Liu C, He X, Xu Y, Wu W, Zou Y, Lu G, Yi L. Preparation and Transport Properties of Mn2.16Ga Single Crystal. Nanomanufacturing. 2026; 6(1):5. https://doi.org/10.3390/nanomanufacturing6010005

Chicago/Turabian Style

Liu, Chenyang, Xiong He, Yunli Xu, Wenchang Wu, Yang Zou, Guangduo Lu, and Lizhi Yi. 2026. "Preparation and Transport Properties of Mn2.16Ga Single Crystal" Nanomanufacturing 6, no. 1: 5. https://doi.org/10.3390/nanomanufacturing6010005

APA Style

Liu, C., He, X., Xu, Y., Wu, W., Zou, Y., Lu, G., & Yi, L. (2026). Preparation and Transport Properties of Mn2.16Ga Single Crystal. Nanomanufacturing, 6(1), 5. https://doi.org/10.3390/nanomanufacturing6010005

Article Metrics

Back to TopTop