Isolation and Antiprotozoal Effects of Two Sesquiterpene Lactones from Ptilostemon chamaepeuce subsp. cyprius (Asteraceae)
Abstract
1. Introduction
2. Materials and Methods
2.1. Plant Material
2.2. Extraction of the Plant Material
Isolation of Pure STLs
2.3. Fractionation and Isolation of the Plant Material
2.4. Spectrometric and Spectroscopic Analysis
2.4.1. LC/MS Analysis
2.4.2. NMR Spectroscopy
2.5. Biological Assays
2.5.1. L. infantum Parasite and Murine Macrophage Cell Culture
2.5.2. In Vitro Assays with Murine Macrophages and L. infantum
2.5.3. Culture and In Vitro Assays with L. donovani, T. brucei rhodesiense, P. falciparum and L6 Rat Skeletal Myoblasts
2.6. Enzyme Inhibition Assay with Trypanosoma brucei Pteridine Reductase 1 (TbPTR1)
3. Results and Discussion
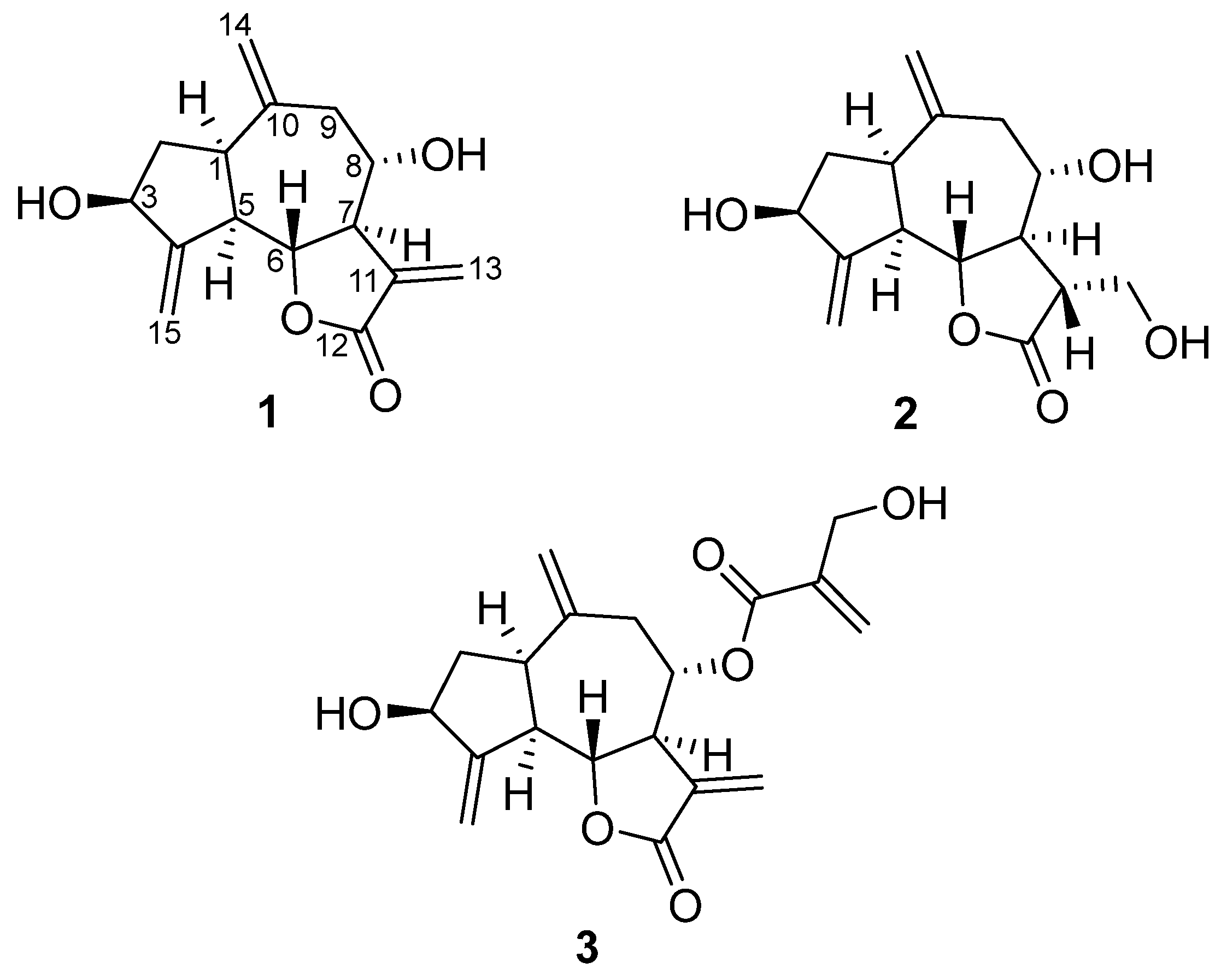
3.1. Isolation and Identification of Sesquiterpene Lactones from Pcc
3.2. Antileishmanial Activity of the Isolated STLs
4. Conclusions
Supplementary Materials
Author Contributions
Funding
Institutional Review Board Statement
Informed Consent Statement
Data Availability Statement
Acknowledgments
Conflicts of Interest
Abbreviations
| Pcc | Ptilostemon chamaepeuce subsp. cyprius |
| Lin | Leishmania infantum |
| VL | Visceral Leishmaniasis |
| Ldo | Leishmania donovani |
| Tbr | Trypanosoma brucei rhodesiense |
| Pfc | Plasmodium falciparum |
| Ccs | Cynara cardunculus var. scolymus |
| STL | Sesquiterpene lactone |
| LC/MS | Liquid chromatography/mass spectrometry |
| MeOH | Methanol |
| ACN | Acetonitrile |
| TFA | Trifluoroacetic acid |
| SPE | Solid phase extraction |
| NMR | Nuclear magnetic resonance |
| Prep. HPLC | Preparative high performance liquid chromatography |
| TbPTR1 | Trypanosoma brucei pteridine reductase 1 |
| TbDHFR | Trypanosoma brucei dihydrofolate reductase |
| LmPTR1 | Leishmania major pteridine reductase 1 |
| LmDHFR | Leishmania major dihydrofolate reductase |
References
- World Health Organization. Neglected Tropical Diseases. Available online: https://www.who.int/news-room/questions-and-answers/item/neglected-tropical-diseases (accessed on 15 October 2025).
- Schmidt, T.J.; Nour, A.M.M.; Khalid, S.A.; Kaiser, M.; Brun, R. Quantitative Structure-Antiprotozoal Activity Relationships of Sesquiterpene Lactones. Molecules 2009, 14, 2062–2076. [Google Scholar] [CrossRef] [PubMed]
- Schmidt, T.J.; Da Costa, F.B.; Lopes, N.P.; Kaiser, M.; Brun, R. In silico prediction and experimental evaluation of furanoheliangolide sesquiterpene lactones as potent agents against Trypanosoma brucei rhodesiense. Antimicrob. Agents Chemother. 2014, 58, 325–332. [Google Scholar] [CrossRef] [PubMed]
- Wulsten, I.F.; Costa-Silva, T.A.; Mesquita, J.T.; Lima, M.L.; Galuppo, M.K.; Taniwaki, N.N.; Borborema, S.E.T.; Da Costa, F.B.; Schmidt, T.J.; Tempone, A.G. Investigation of the Anti-Leishmania (Leishmania) infantum Activity of Some Natural Sesquiterpene Lactones. Molecules 2017, 22, 685. [Google Scholar] [CrossRef] [PubMed]
- Robledo, S.M.; López, L.; Quintero, J.; Tabares, Y.; Garcés, A.C.; Rios, S.; Soto, E.; Vélez, I.D.; Schmidt, T.J. A phase Ib/II clinical study to evaluate the safety and efficacy of topical Arnica tincture to treat non-complicated cutaneous leishmaniasis in Colombia. PLoS Negl. Trop. Dis. 2025, 19, e0013123. [Google Scholar] [CrossRef] [PubMed]
- Schou, C.; Mukavi, J.; Sendker, J.; Miliotou, A.; Christodoulou, V.; Sarigiannis, Y.; Jovanovic, A.; Schmidt, T.J.; Karanis, P. Antileishmanial activity of Ptilostemon chamaepeuce subsp. cyprius. Microb. Pathogen 2025, 202, 107441. [Google Scholar] [CrossRef] [PubMed]
- Mokoka, T.A.; Xolani, P.K.; Zimmermann, S.; Hata, Y.; Adams, M.; Kaiser, M.; Moodley, N.; Maharaj, V.; Koorbanally, N.A.; Hamburger, M.; et al. Antiprotozoal Screening of 60 South African Plants, and the Identification of the Antitrypanosomal Germacranolides Schkuhrin I and II. Planta Med. 2013, 79, 1380–1384. [Google Scholar] [CrossRef] [PubMed]
- Zimmermann, S.; Kaiser, M.; Brun, R.; Hamburger, M.; Adams, M. Cynaropicrin: The first plant natural product with in vivo activity against Trypanosoma brucei. Planta Med. 2012, 78, 553–556. [Google Scholar] [CrossRef] [PubMed]
- Schomburg, C. Naturstoffe als Inhibitoren c-Myb-Abhängiger Transkriptionsprozesse. Ph.D. Thesis, University of Münster, Münster, Germany, 2013. [Google Scholar]
- Possart, K.; Herrmann, F.C.; Jose, J.; Schmidt, T.J. In Silico and In Vitro Search for Dual Inhibitors of the Trypanosoma brucei and Leishmania major Pteridine Reductase 1 and Dihydrofolate Reductase. Molecules 2023, 28, 7526. [Google Scholar] [CrossRef] [PubMed]
- Koutsoni, O.S.; Karampetsou, K.; Dotsika, E. In vitro screening of anti-leishmanial activity of natural product compounds: Determination of IC50, CC50 and SI values. Bio-Protocol 2019, 9, e3410. [Google Scholar] [CrossRef] [PubMed]
- Bernal, F.A.; Kaiser, M.; Wünsch, B.; Schmidt, T.J. Structure—Activity Relationships of Cinnamate Ester Analogs as Potent Antiprotozoal Agents. Chem. Med. Chem. 2020, 15, 68–78. [Google Scholar] [CrossRef] [PubMed]
- Ha, T.J.; Jang, D.S.; Lee, J.R.; Lee, K.D.; Lee, J.; Hwang, S.W.; Jung, H.J.; Nam, S.H.; Park, K.H.; Yang, M.S. Cytotoxic effects of sesquiterpene lactones from the flowers of Hemisteptia lyrata B. Arch. Pharm. Res. 2003, 26, 925–928. [Google Scholar] [CrossRef] [PubMed]
- Collado, I.; Macias, F.; Massanet, G.; Luis, F. Structure, chemistry and stereochemistry of clementeins, sesquiterpene lactones from Centaurea clementei. Tetrahedron 1996, 42, 3611–3622. [Google Scholar] [CrossRef]
- Macías, F.; Viñolo, V.; Fronczek, F.; Massanet, G.; Molinillo, J. 11, 16 Oxetane lactones. Spectroscopic evidences and conformational analysis. Tetrahedron 2006, 62, 7747–7755. [Google Scholar] [CrossRef]
- Yayli, N.; Baltaci, C.; Gok, Y.; Aydin, E.; Ucuncu, O. Sesquiterpene lactones from Centaurea helenioides Boiss. Turkish J. Chem. 2006, 30, 229–233. [Google Scholar]
- Zimmermann, S.; Fouché, G.; De Mieri, M.; Yoshimoto, Y.; Usuki, T.; Nthambeleni, R.; Parkinson, C.J.; Van der Westhuyzen, C.; Kaiser, M.; Hamburger, M.; et al. Structure-Activity Relationship Study of Sesquiterpene Lactones and Their Semi-Synthetic Amino Derivatives as Potential Antitrypanosomal Products. Molecules 2014, 19, 3523–3538. [Google Scholar] [CrossRef] [PubMed]
- Kimani, N.M.; Matasyoh, J.C.; Kaiser, M.; Nogueira, M.S.; Trossini, G.H.G.; Schmidt, T.J. Complementary Quantitative Structure-Activity Relationship Models for the Antitrypanosomal Activity of Sesquiterpene Lactones. Int. J. Mol. Sci. 2018, 19, 3721. [Google Scholar] [CrossRef] [PubMed]




| Cpd. | Lin prom | Lin ama | Ldo ama | Tbr bsf | Pfc ery | Cyt. L6 | Cyt. J774A.1 |
|---|---|---|---|---|---|---|---|
| 1 | 637 ± 48 | 107 ± 14 | 47 ± 3 | 238 ± 41 4.92 ± 0.71 c | 92 ± 15 | 54 ± 13 19.2 ± 3.2 c | 84 ± 2 |
| 2 | n.t. | n.t. | 198 ± 37 | 189 ± 1 | 29 ± 2 | 29 ± 9 | n.t. |
| 3 | 23 ± 1 31 ± 14 a | 10 ± 0 7 ± 4 a | 1.56 b | 0.28 ± 0.001 c | 2.99 ± 1.2 c | 1.29 b 2.19 ± 0.27 c | 2.0 ± 0.6 |
| PC | 9.6 ± 1.0 d | 43 ± 5 d | 0.22 ± 0.03 d | 0.016 ± 0.000 e | 0.013 ± 0.000 f | 0.022 ± 0.000 g | 86 ± 5 d |
Disclaimer/Publisher’s Note: The statements, opinions and data contained in all publications are solely those of the individual author(s) and contributor(s) and not of MDPI and/or the editor(s). MDPI and/or the editor(s) disclaim responsibility for any injury to people or property resulting from any ideas, methods, instructions or products referred to in the content. |
© 2025 by the authors. Licensee MDPI, Basel, Switzerland. This article is an open access article distributed under the terms and conditions of the Creative Commons Attribution (CC BY) license (https://creativecommons.org/licenses/by/4.0/).
Share and Cite
Schou, C.; Mukavi, J.W.; Sendker, J.; Christodoulou, V.; Cal, M.; Mäser, P.; Karanis, P.; Schmidt, T.J. Isolation and Antiprotozoal Effects of Two Sesquiterpene Lactones from Ptilostemon chamaepeuce subsp. cyprius (Asteraceae). Parasitologia 2025, 5, 66. https://doi.org/10.3390/parasitologia5040066
Schou C, Mukavi JW, Sendker J, Christodoulou V, Cal M, Mäser P, Karanis P, Schmidt TJ. Isolation and Antiprotozoal Effects of Two Sesquiterpene Lactones from Ptilostemon chamaepeuce subsp. cyprius (Asteraceae). Parasitologia. 2025; 5(4):66. https://doi.org/10.3390/parasitologia5040066
Chicago/Turabian StyleSchou, Chad, Justus Wambua Mukavi, Jandirk Sendker, Vasiliki Christodoulou, Monica Cal, Pascal Mäser, Panagiotis Karanis, and Thomas J. Schmidt. 2025. "Isolation and Antiprotozoal Effects of Two Sesquiterpene Lactones from Ptilostemon chamaepeuce subsp. cyprius (Asteraceae)" Parasitologia 5, no. 4: 66. https://doi.org/10.3390/parasitologia5040066
APA StyleSchou, C., Mukavi, J. W., Sendker, J., Christodoulou, V., Cal, M., Mäser, P., Karanis, P., & Schmidt, T. J. (2025). Isolation and Antiprotozoal Effects of Two Sesquiterpene Lactones from Ptilostemon chamaepeuce subsp. cyprius (Asteraceae). Parasitologia, 5(4), 66. https://doi.org/10.3390/parasitologia5040066

