Survival of Endodontically Treated Teeth with Direct and Indirect Posts: A 5-Year Retrospective Evaluation at an Australian University Dental Clinic
Abstract
1. Introduction
2. Materials and Methods
- Age;
- Gender;
- Date of cementation of post;
- Expertise of operator placing the post (4th year undergraduate student, 5th year undergraduate student, postgraduate student or professional dentist);
- Tooth number;
- Location of tooth (upper or lower);
- Tooth type (anterior, premolar or molar);
- Opposing dentition (natural, fixed, removable or no opposing);
- Post material (direct material, direct fiber or indirect);
- Restoration material (composite resin, ceramic, porcelain-fused metal or metal);
- Cement material (glass ionomer or resin);
- Date of latest examination;
- Date of extraction and reason;
- Date of complication and reason.
- Gender;
- Expertise of operator placing post;
- Location of tooth;
- Tooth type;
- Opposing dentition;
- Post material;
- Restoration material;
- Cement material.
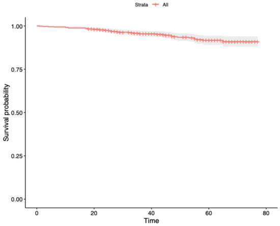
3. Results
4. Discussion
Limitations
5. Conclusions
Author Contributions
Funding
Institutional Review Board Statement
Informed Consent Statement
Data Availability Statement
Conflicts of Interest
References
- Cheung, W. A review of the management of endodontically treated teeth. J. Am. Dent. Assoc. 2005, 136, 611–619. [Google Scholar] [CrossRef] [PubMed]
- Shillingburg, H.T.; Sather, D.A. Fundamentals of Fixed Prosthodontics; Quintessence Publishing Company: Hanover Park, IL, USA, 2012. [Google Scholar]
- Assif, D.; Gorfil, C. Biomechanical considerations in restoring endodontically treated teeth. J. Prosthet. Dent. 1994, 71, 565–567. [Google Scholar] [CrossRef] [PubMed]
- Sarkis-Onofre, R.; Fergusson, D.; Cenci, M.S.; Moher, D.; Pereira-Cenci, T. Performance of Post-retained Single Crowns: A Systematic Review of Related Risk Factors. J. Endod. 2017, 43, 175–183. [Google Scholar] [CrossRef] [PubMed]
- Weinstein, G.M.; Zientz, M.T. The Dental Reference Manual: A Daily Guide for Students and Practitioners; Springer: Cham, Switzerland, 2017. [Google Scholar]
- Aquilino, S.A.; Caplan, D.J. Relationship between crown placement and the survival of endodontically treated teeth. J. Prosthet. Dent. 2002, 87, 256–263. [Google Scholar] [CrossRef] [PubMed]
- Nagasiri, R.; Chitmongkolsuk, S. Long-term survival of endodontically treated molars without crown coverage: A retrospective cohort study. J. Prosthet. Dent. 2005, 93, 164–170. [Google Scholar] [CrossRef] [PubMed]
- Kimble, P.; Stuhr, S.; McDonald, N.; Venugopalan, A.; Campos, M.S.; Cavalcanti, B. Decision Making in the Restoration of Endodontically Treated Teeth: Effect of Biomimetic Dentistry Training. Dent. J. 2023, 11, 159. [Google Scholar] [CrossRef] [PubMed]
- Dioguardi, M.; Alovisi, M.; Comba, A.; Baldi, A.; Troiano, G.; Cadenaro, M.; Mazzoni, A.; Breschi, L.; Muzio, L.L.; Scotti, N. The influence of indirect bonded restorations on clinical prognosis of endodontically treated teeth: A systematic review and meta-analysis. Dent. Mater. 2022, 38, e203–e219. [Google Scholar] [CrossRef]
- Gavriil, D.; Kakka, A.; Myers, P.; O’connor, C.J. Pre-endodontic restoration of structurally compromised teeth: Current concepts. Br. Dent. J. 2021, 231, 343–349. [Google Scholar] [CrossRef]
- Naumann, M.; Blankenstein, F.; Barthel, C. A new approach to define defect extensions of endodontically treated teeth: Inter- and intra-examiner reliability. J. Oral Rehabil. 2006, 33, 52–58. [Google Scholar] [CrossRef] [PubMed]
- Martino, N.; Truong, C.; Clark, A.E.; O’Neill, E.; Hsu, S.-M.; Neal, D.; Esquivel-Upshaw, J.F. Retrospective analysis of survival rates of post-and-cores in a dental school setting. J. Prosthet. Dent. 2020, 123, 434–441. [Google Scholar] [CrossRef] [PubMed]
- Reich, S.M.; Walther, K.-A.; Wöstmann, B.; Rehmann, P.; Vogler, J.A.H. How long must a post be? A retrospective survival analysis on a large cohort with long follow-ups. J. Dent. 2024, 142, 104879. [Google Scholar] [CrossRef]
- Ikram, O.H.; Patel, S.; Sauro, S.; Mannocci, F. Micro-computed tomography of tooth tissue volume changes following endodontic procedures and post space preparation. Int. Endod. J. 2009, 42, 1071–1076. [Google Scholar] [CrossRef]
- Wassell, R.W.; Nohl, F.; Steele, J.G.; Walls, A. Extra-Coronal Restorations: Concepts and Clinical Application; Springer: Berlin/Heidelberg, Germany, 2019. [Google Scholar] [CrossRef]
- Girotto, L.P.S.; Dotto, L.; Pereira, G.K.R.; Bacchi, A.; Sarkis-Onofre, R. Restorative preferences and choices of dentists and students for restoring endodontically treated teeth: A systematic review of survey studies. J. Prosthet. Dent. 2021, 126, 489–489.e5. [Google Scholar] [CrossRef]
- Ahmed, S.N.; Donovan, T.E.; Ghuman, T. Survey of dentists to determine contemporary use of endodontic posts. J. Prosthet. Dent. 2017, 117, 642–645. [Google Scholar] [CrossRef] [PubMed]
- Shankla, K.; Sambrook, R.; Fine, P.; Blizard, R.; Leung, A. Assessing dentists’ knowledge and experience in restoring endodontically treated teeth using post & cores. J. Dent. 2021, 114, 103815. [Google Scholar] [CrossRef] [PubMed]
- Ferrari, M.; Cagidiaco, E.F.; Pontoriero, D.I.K.; Ercoli, C.; Chochlidakis, K. Survival Rates of Endodontically Treated Posterior Teeth Restored with All-Ceramic Partial-Coverage Crowns: When Systematic Review Fails. Int. J. Environ. Res. Public Health 2022, 19, 1971. [Google Scholar] [CrossRef] [PubMed]
- Borén, D.L.; Jonasson, P.; Kvist, T. Long-term Survival of Endodontically Treated Teeth at a Public Dental Specialist Clinic. J. Endod. 2015, 41, 176–181. [Google Scholar] [CrossRef] [PubMed]
- Chang, Y.; Choi, M.; Wang, Y.-B.; Lee, S.-M.; Yang, M.; Wu, B.H.; Fiorellini, J. Risk factors associated with the survival of endodontically treated teeth: A retrospective chart review. J. Am. Dent. Assoc. 2024, 155, 39–47. [Google Scholar] [CrossRef]
- Bindl, A.; Mörmann, W.H. Clinical evaluation of adhesively placed Cerec endo-crowns after 2 years—Preliminary results. J. Adhes Dent. 1999, 1, 255–265. [Google Scholar]
- Belleflamme, M.M.; Geerts, S.O.; Louwette, M.M.; Grenade, C.F.; Vanheusden, A.J.; Mainjot, A.K. No post-no core approach to restore severely damaged posterior teeth: An up to 10-year retrospective study of documented endocrown cases. J. Dent. 2017, 63, 1–7. [Google Scholar] [CrossRef]
- Al-Dabbagh, R.A. Survival and success of endocrowns: A systematic review and meta-analysis. J. Prosthet. Dent. 2021, 125, 415.e411–415.e419. [Google Scholar] [CrossRef]
- Kim, D.H.; Tawil, P.Z.; Albouy, J.-P.; Duqum, I. Retrospective Assessment of Endodontically Treated Teeth Replaced by Dental Implants. J. Endod. 2024, 50, 310–315. [Google Scholar] [CrossRef] [PubMed]
- Setzer, F.; Kim, S. Comparison of Long-term Survival of Implants and Endodontically Treated Teeth. J. Dent. Res. 2013, 93, 19–26. [Google Scholar] [CrossRef] [PubMed]
- Moraschini, V.; Poubel, L.d.C.; Ferreira, V.; Barboza, E.d.S. Evaluation of survival and success rates of dental implants reported in longitudinal studies with a follow-up period of at least 10 years: A systematic review. Int. J. Oral Maxillofac. Surg. 2015, 44, 377–388. [Google Scholar] [CrossRef] [PubMed]
- Adler, L.; Buhlin, K.; Jansson, L. Survival and complications: A 9- to 15-year retrospective follow-up of dental implant therapy. J. Oral Rehabil. 2020, 47, 67–77. [Google Scholar] [CrossRef] [PubMed]
- Garcia, P.P.; Wambier, L.M.; de Geus, J.L.; da Cunha, L.F.; Correr, G.M.; Gonzaga, C.C. Do anterior and posterior teeth treated with post-and-core restorations have similar failure rates? A systematic review and meta-analysis. J. Prosthet. Dent. 2019, 121, 887–894.e884. [Google Scholar] [CrossRef] [PubMed]
- Martins, M.D.; Junqueira, R.B.; de Carvalho, R.F.; Lacerda, M.F.L.S.; Faé, D.S.; Lemos, C.A.A. Is a fiber post better than a metal post for the restoration of endodontically treated teeth? A systematic review and meta-analysis. J. Dent. 2021, 112, 103750. [Google Scholar] [CrossRef] [PubMed]
- Heydecke, G.; Peters, M.C. The restoration of endodontically treated, single-rooted teeth with cast or direct posts and cores: A systematic review. J. Prosthet. Dent. 2002, 87, 380–386. [Google Scholar] [CrossRef]
- Raedel, M.; Fiedler, C.; Jacoby, S.; Boening, K.W. Survival of teeth treated with cast post and cores: A retrospective analysis over an observation period of up to 19.5 years. J. Prosthet. Dent. 2015, 114, 40–45. [Google Scholar] [CrossRef] [PubMed]
- Gómez-Polo, M.; Llidó, B.; Rivero, A.; del Río, J.; Celemín, A. A 10-year retrospective study of the survival rate of teeth restored with metal prefabricated posts versus cast metal posts and cores. J. Dent. 2010, 38, 916–920. [Google Scholar] [CrossRef] [PubMed]
- Vogler, J.A.H.; Stummer, A.-L.; Walther, K.-A.; Wöstmann, B.; Rehmann, P. Survival of teeth treated with post and core—A retrospective study of more than 1000 cases with observation periods up to 18 years. J. Dent. 2023, 138, 104723. [Google Scholar] [CrossRef] [PubMed]
- De Backer, H.; Van Maele, G.; Decock, V.; Van den Berghe, L. Long-term survival of complete crowns, fixed dental prostheses, and cantilever fixed dental prostheses with posts and cores on root canal-treated teeth. Int. J. Prosthodont. 2007, 20, 229–234. [Google Scholar] [PubMed]
- Dietschi, D.; Duc, O.; Krejci, I.; Sadan, A. Biomechanical considerations for the restoration of endodontically treated teeth: A systematic review of the literature, Part II (Evaluation of fatigue behavior, interfaces, and in vivo studies). Quintessence Int. 2008, 39, 117–129. [Google Scholar] [PubMed]
- Samran, A.; Mourshed, B.; Ahmed, M.; Al-Akhali, M.; Kern, M. Influence of Post Length, Post Material, and Substance Loss on the Fracture Resistance of Endodontically Treated Teeth: A Laboratory Study. Int. J. Prosthodont. 2023, 36, 712–721. [Google Scholar] [CrossRef]
- Tsintsadze, N.; Margvelashvili-Malament, M.; Natto, Z.S.; Ferrari, M. Comparing survival rates of endodontically treated teeth restored either with glass-fiber-reinforced or metal posts: A systematic review and meta-analyses. J. Prosthet. Dent. 2022, 131, 567–578. [Google Scholar] [CrossRef]
- Dotto, L.; Girotto, L.P.S.; Sousa, Y.T.C.S.; Pereira, G.K.R.; Bacchi, A.; Sarkis-Onofre, R. Factors influencing the clinical performance of the restoration of endodontically treated teeth: An assessment of systematic reviews of clinical studies. J. Prosthet Dent. 2022, 131, 1043–1050. [Google Scholar] [CrossRef]
- Naumann, M.; Schmitter, M.; Frankenberger, R.; Krastl, G. “Ferrule Comes First. Post Is Second!” Fake News and Alternative Facts? A Systematic Review. J. Endod. 2018, 44, 212–219. [Google Scholar] [CrossRef] [PubMed]
- Cloet, E.; Debels, E.; Naert, I. Controlled Clinical Trial on the Outcome of Glass Fiber Composite Cores Versus Wrought Posts and Cast Cores for the Restoration of Endodontically Treated Teeth: A 5-Year Follow-up Study. Int. J. Prosthodont. 2017, 30, 71–79. [Google Scholar] [CrossRef] [PubMed]
- Skupien, J.A.; Opdam, N.; Winnen, R.; Bronkhorst, E.; Kreulen, C.; Pereira-Cenci, T.; Huysmans, M.-C. A Practice-based Study on the Survival of Restored Endodontically Treated Teeth. J. Endod. 2013, 39, 1335–1340. [Google Scholar] [CrossRef]
- Goga, R.; Purton, D.G. The use of endodontically treated teeth as abutments for crowns, fixed partial dentures, or removable partial dentures: A literature review. Quintessence Int. 2007, 38, e106. [Google Scholar]
- Balkenhol, M.; Wöstmann, B.; Rein, C.; Ferger, P. Survival time of cast post and cores: A 10-year retrospective study. J. Dent. 2007, 35, 50–58. [Google Scholar] [CrossRef]
- Sarkis-Onofre, R.; Pinheiro, H.A.; Poletto-Neto, V.; Bergoli, C.D.; Cenci, M.S.; Pereira-Cenci, T. Randomized controlled trial comparing glass fiber posts and cast metal posts. J. Dent. 2020, 96, 103334. [Google Scholar] [CrossRef] [PubMed]
- Figueiredo, F.E.D.; Martins-Filho, P.R.S.; Faria-E-Silva, A.L. Do Metal Post–retained Restorations Result in More Root Fractures than Fiber Post–retained Restorations? A Systematic Review and Meta-analysis. J. Endod. 2015, 41, 309–316. [Google Scholar] [CrossRef] [PubMed]
- Marchionatti, A.M.E.; Wandscher, V.F.; Rippe, M.P.; Kaizer, O.B.; Valandro, L.F. Clinical performance and failure modes of pulpless teeth restored with posts: A systematic review. Braz. Oral Res. 2017, 31, e64. [Google Scholar] [CrossRef]
- Kramer, E.J.; Meyer-Lueckel, H.; Wolf, T.G.; Schwendicke, F.; Naumann, M.; Wierichs, R.J. Success and survival of post-restorations: Six-year results of a prospective observational practice-based clinical study. Int. Endod. J. 2019, 52, 569–578. [Google Scholar] [CrossRef] [PubMed]








| Number of Posts | Number of Patients (Percentage) |
|---|---|
| 1 | 626 (91.52%) |
| 2 | 47 (6.87%) |
| 3 | 10 (1.46%) |
| 4 | 0 (0.00%) |
| 5 | 0 (0.00%) |
| 6 | 0 (0.00%) |
| 7 | 1 (0.15%) |
| Number of Posts | Number of Patients (Percentage) |
|---|---|
| Location of tooth | |
| Upper | 460 (67.25%) |
| Lower | 224 (32.75%) |
| Type of tooth | |
| Anterior | 294 (42.98%) |
| Premolar | 295 (43.13%) |
| Molar | 95 (13.89%) |
| Operator | |
| 4th year undergraduate | 138 (20.18%) |
| 5th year undergraduate | 320 (46.78%) |
| Postgraduate | 35 (5.11%) |
| Professional dentist | 191 (27.92%) |
| Post material | |
| Direct metal | 449 (65.64%) |
| Direct fiber | 141 (20.61%) |
| Indirect | 94 (13.74%) |
| Cement material | |
| Glass ionomer | 493 (72.08%) |
| Resin | 191 (27.92%) |
| Restoration material | |
| Composite | 357 (52.19%) |
| Porcelain-fused metal | 144 (21.05%) |
| Ceramic | 136 (19.88%) |
| Metal | 26 (3.80%) |
| Other | 21 (3.07%) |
| Opposing dentition | |
| Natural | 568 (83.04%) |
| Fixed | 59 (8.63%) |
| Removable | 44 (6.43%) |
| No opposing | 13 (1.90%) |
| Reason for Extraction | Cases | Percentage (of All Teeth) |
|---|---|---|
| Fracture of tooth | 18 | 43.90% (2.63%) |
| Debonding of post | 6 | 14.63% (0.88%) |
| Secondary caries | 3 | 7.32% (0.44%) |
| Periapical inflammation | 5 | 12.20% (0.73%) |
| Periodontal bone loss | 2 | 4.88% (0.29%) |
| Changing treatment plan | 1 | 2.44% (0.15%) |
| Other | 6 | 14.63% (0.88%) |
| Total | 41 | 100% (5.99%) |
| Variable | Statistics | Multivariable |
|---|---|---|
| Age | 63.3 ± 14.7 | 1.03 (1.01–1.06, p = 0.015) |
| Gender | ||
| Female | 339 (49.8%) | |
| Male | 342 (50.2%) | 1.68 (0.87–3.26, p = 0.124) |
| Operator | ||
| 4th year undergraduate | 137 (20.1%) | |
| 5th year undergraduate | 320 (47.0%) | 0.90 (0.39–2.08, p = 0.815) |
| Postgraduate | 35 (5.1%) | 0.95 (0.20–4.51, p = 0.950) |
| Professional dentist | 189 (27.8%) | 0.93 (0.28–3.13, p = 0.906) |
| Tooth location | ||
| Upper | 458 (67.3%) | |
| Lower | 223 (32.7%) | 0.65 (0.15–2.89, p = 0.577) |
| Tooth type | ||
| Anterior | 293 (43.0%) | |
| Premolar | 293 (43.0%) | 0.66 (0.31–1.40, p = 0.280) |
| Molar | 95 (14.0%) | 1.02 (0.37–2.81, p = 0.977) |
| Cement material | ||
| Glass ionomer | 492 (72.2%) | |
| Resin | 189 (27.8%) | 2.24 (0.79–6.33, p = 0.129) |
| Post material | ||
| Direct metal | 448 (65.8%) | |
| Direct fiber | 139 (20.4%) | 0.55 (0.20–1.50, p = 0.241) |
| Indirect | 94 (13.8%) | 0.87 (0.32–2.37, p = 0.778) |
Disclaimer/Publisher’s Note: The statements, opinions and data contained in all publications are solely those of the individual author(s) and contributor(s) and not of MDPI and/or the editor(s). MDPI and/or the editor(s) disclaim responsibility for any injury to people or property resulting from any ideas, methods, instructions or products referred to in the content. |
© 2025 by the authors. Licensee MDPI, Basel, Switzerland. This article is an open access article distributed under the terms and conditions of the Creative Commons Attribution (CC BY) license (https://creativecommons.org/licenses/by/4.0/).
Share and Cite
Chau, T.M.; Sharma, L.A.; Xiao, L.; Li, Z.; Abuzar, M. Survival of Endodontically Treated Teeth with Direct and Indirect Posts: A 5-Year Retrospective Evaluation at an Australian University Dental Clinic. Oral 2025, 5, 7. https://doi.org/10.3390/oral5010007
Chau TM, Sharma LA, Xiao L, Li Z, Abuzar M. Survival of Endodontically Treated Teeth with Direct and Indirect Posts: A 5-Year Retrospective Evaluation at an Australian University Dental Clinic. Oral. 2025; 5(1):7. https://doi.org/10.3390/oral5010007
Chicago/Turabian StyleChau, Tu Man, Lavanya Ajay Sharma, Lan Xiao, Zhiyuan Li, and Menaka Abuzar. 2025. "Survival of Endodontically Treated Teeth with Direct and Indirect Posts: A 5-Year Retrospective Evaluation at an Australian University Dental Clinic" Oral 5, no. 1: 7. https://doi.org/10.3390/oral5010007
APA StyleChau, T. M., Sharma, L. A., Xiao, L., Li, Z., & Abuzar, M. (2025). Survival of Endodontically Treated Teeth with Direct and Indirect Posts: A 5-Year Retrospective Evaluation at an Australian University Dental Clinic. Oral, 5(1), 7. https://doi.org/10.3390/oral5010007

