Revisiting Value and Satisfaction in Sustainable Homestay Tourism: Evidence from Southwest Nigeria
Abstract
1. Introduction
2. Literature Review and Hypotheses Development
2.1. Theoretical Review
2.2. Overview of Community-Based Homestay Tourism Development in Nigeria
2.3. Local Community Attitude and Perceived Value Creation in Nigerian Homestay Tourism
2.4. Environmental Sustainability Practices and Tourist Satisfaction in Nigerian Homestays
2.5. Perceived Value and Tourist Satisfaction
3. Materials and Methods
3.1. Design, Population, and Sampling Procedure
- n = sample size;
- N = population under study;
- e = margin error (0.5).
3.2. Measures and Analytical Techniques
4. Results
4.1. Descriptive Analysis
4.2. Assessing the Model Using PLS
4.3. Structural Model Evaluation
5. Discussion and Conclusions
5.1. Discussion
5.2. Theoretical Contributions
5.3. Implications and Future Research
5.4. Conclusions
Author Contributions
Funding
Institutional Review Board Statement
Informed Consent Statement
Data Availability Statement
Conflicts of Interest
References
- Acharya, B. P., & Halpenny, E. A. (2013). Homestays as an alternative tourism product for sustainable community development: A case study of women-managed tourism product in rural Nepal. Tourism Planning & Development, 10(4), 367–387. [Google Scholar] [CrossRef]
- Ajzen, I. (1991). The theory of planned behavior. Organizational Behavior and Human Decision Processes, 50(2), 179–211. [Google Scholar] [CrossRef]
- Ajzen, I. (2002). Perceived behavioral control, self-efficacy, locus of control, and the theory of planned behavior. Journal of Applied Social Psychology, 32(4), 665–683. [Google Scholar] [CrossRef]
- Ap, J. (1992). Residents’ perceptions on tourism impacts. Annals of Tourism Research, 19(4), 665–690. [Google Scholar] [CrossRef]
- Aprilia, A., Aini, E. K., Kumalasari, K. P., & Fajar, Y. (2023). A preliminary study on determining factors of sustainable tourism based on residents’ attitudes towards biosphere reserve areas. In IOP conference series: Earth and environmental science (Vol. 1153, p. 012009). IOP Publishing. [Google Scholar]
- Arilesere, M. S., Olaleye, B. R., Asaolu, A. A., & Akienabor, E. (2021). Digital electronic payment and bank performance in Nigeria. Annals of Spiru Haret University. Economic Series, 21(4), 327–340. [Google Scholar]
- Ayachi, H., & Jaouadi, S. (2017). Problems and perspective of ecotourism in the Island of Farasan: An empirical study based on survey data. Society and Business Review, 12(2), 235–251. [Google Scholar] [CrossRef]
- Bassey, B. E. (2015). Transforming the Nigeria tourism industry through tourism entrepreneurial development. African Journal of Business Management, 9, 569–580. [Google Scholar] [CrossRef]
- Birendra, K. C. (2021). Ecotourism for wildlife conservation and sustainable livelihood via community-based homestay: A formula to success or a quagmire? Current Issues in Tourism, 24, 1227–1243. [Google Scholar]
- Birendra, K. C., & Thapa, S. (2025). The power of homestay tourism in fighting social stigmas and inequities. Journal of Sustainable Tourism, 33, 1430–1448. [Google Scholar]
- Bitner, M. J., & Hubbert, A. R. (1994). Encounter satisfaction versus overall satisfaction versus quality: The customer’s voice. Service quality: New directions in theory and practice. In R. T. Rust, & R. L. Oliver (Eds.), Encounter satisfaction versus overall satisfaction versus quality: The customer’s voice (pp. 72–94). SAGE Publications. [Google Scholar]
- Chen, C. F., & Chen, F. S. (2010). Experience quality, perceived value, satisfaction and behavioral intentions for heritage tourists. Tourism Management, 31(1), 29–35. [Google Scholar] [CrossRef]
- Chen, P. T., & Hu, H. H. (2010). The effect of relational benefits on perceived value in relation to customer loyalty: An empirical study in the Australian coffee outlets industry. International Journal of Hospitality Management, 29(3), 405–412. [Google Scholar] [CrossRef]
- Chin, C. H., Wong, W. P. M., & Wahap, D. Z. B. A. A. (2022). Effects of destination appeal and tourism infrastructure on rural tourism destination competitiveness and revisit intention: A study in Bario Kelabit Highland. Pakistan Journal of Commerce and Social Sciences (PJCSS), 16(3), 366–386. [Google Scholar] [CrossRef]
- Chin, W. W. (2009). Bootstrap cross-validation indices for PLS path model assessment. In V. Esposito Vinzi, W. Chin, J. Henseler, & H. Wang (Eds.), Handbook of partial least squares: Concepts, methods and applications (pp. 83–97). Springer. [Google Scholar]
- Cottrell, S. P., & Vaske, J. J. (2006). A framework for monitoring and modeling sustainable tourism. E-Review of Tourism Research, 4(4), 74–84. [Google Scholar]
- Cronin, J. J., Jr., Brady, M. K., & Hult, G. T. M. (2000). Assessing the effects of quality, value, and customer satisfaction on consumer behavioral intentions in service environments. Journal of Retailing, 76(2), 193–218. [Google Scholar] [CrossRef]
- Çetinkaya, M. Y., & Öter, Z. (2016). Role of tour guides on tourist satisfaction level in guided tours and impact on re-visiting Intention: A research in Istanbul. European Journal of Tourism, Hospitality and Recreation, 7(1), 40–54. [Google Scholar] [CrossRef]
- Eggert, A., & Ulaga, W. (2002). Customer perceived value: A substitute for satisfaction in business markets? Journal of Business & Industrial Marketing, 17(2–3), 107–118. [Google Scholar] [CrossRef]
- Fornell, C., & Larcker, D. F. (1981). Evaluating structural equation models with unobservable variables and measurement error. Journal of Marketing Research, 18(1), 39–50. [Google Scholar] [CrossRef]
- Gössling, S., Scott, D., & Hall, C. M. (2018). Global trends in length of stay: Implications for destination management and climate change. Journal of Sustainable Tourism, 26(12), 2087–2101. [Google Scholar] [CrossRef]
- Hai, M. A., & Alamgir, M. B. (2017). Local Community Attitude and Support Towards Tourism Development at Saint Martin Island, Bangladesh. International Journal of Tourism and Hospitality Management in the Digital Age, 1(2), 32–41. [Google Scholar] [CrossRef]
- Hair, J. F., Ringle, C. M., & Sarstedt, M. (2011). The use of partial least squares (PLS) to address marketing management topics. Journal of Marketing Theory and Practice, 19(2), 135–138. [Google Scholar] [CrossRef]
- Hair, J. F., Risher, J. J., Sarstedt, M., & Ringle, C. M. (2019). When to use and how to report the results of PLS-SEM. European Business Review, 31(1), 2–24. [Google Scholar] [CrossRef]
- Han, H., Hsu, L. T. J., & Sheu, C. (2010). Application of the theory of planned behavior to green hotel choice: Testing the effect of environmental friendly activities. Tourism Management, 31(3), 325–334. [Google Scholar] [CrossRef]
- Hanafiah, M. H., Jamaluddin, M. R., & Zulkifly, M. I. (2013). Local community attitude and support towards tourism development in Tioman Island, Malaysia. Procedia-Social and Behavioral Sciences, 105, 792–800. [Google Scholar] [CrossRef]
- Harun, R., Chiciudean, G. O., Sirwan, K., Arion, F. H., & Muresan, I. C. (2018). Attitudes and perceptions of the local community towards sustainable tourism development in Kurdistan regional government, Iraq. Sustainability, 10(9), 2991. [Google Scholar] [CrossRef]
- Hoque, M. A. (2020). Community-based indigenous tourism, NGOs and indigenous poverty in Bangladesh [Doctoral dissertation, University of Otago]. [Google Scholar]
- Huang, W. T., Ting, C. T., Huang, Y. S., & Chuang, C. H. (2017). The visitors’ attitudes and perceived value toward rural regeneration community development of Taiwan. In V. Kreinovich, S. Sriboonchitta, & V. N. Huynh (Eds.), Robustness in econometrics. Studies in computational intelligence (Vol. 692). Springer. [Google Scholar]
- Ijose, O. A., & KC, B. (2025). Community-Based Homestay as a Form of Sustainable Tourism in Nigeria. Sustainability, 17, 5217. [Google Scholar] [CrossRef]
- Iniesta-Bonillo, M. A., Sánchez-Fernández, R., & Jiménez-Castillo, D. (2016). Sustainability, value, and satisfaction: Model testing and cross-validation in tourist destinations. Journal of Business Research, 69(11), 5002–5007. [Google Scholar] [CrossRef]
- Jamal, S. A., Othman, N. A., & Muhammad, N. M. N. (2011). Tourist perceived value in a community-based homestay visit: An investigation into the functional and experiential aspect of value. Journal of Vacation Marketing, 17, 5–15. [Google Scholar] [CrossRef]
- Jasrotia, S. S., Kamila, M. K., & Patel, V. K. (2023). Impact of sustainable tourism on tourist’s satisfaction: Evidence from India. Business Perspectives and Research, 11(2), 173–189. [Google Scholar] [CrossRef]
- Lee, T. H., & Jan, F. H. (2019). Market segmentation based on the environmentally responsible behaviors of community-based tourists: Evidence from Taiwan’s community-based destinations. International Journal of Tourism Research, 21, 400–411. [Google Scholar] [CrossRef]
- Lenao, M. (2015). Challenges facing community-based cultural tourism development at Lekhubu Island, Botswana: A comparative analysis. Current Issues in Tourism, 18, 579–594. [Google Scholar] [CrossRef]
- Madanaguli, A., Dhir, A., Joseph, R. P., Albishri, N. A., & Srivastava, S. (2023). Environmental sustainability practices and strategies in the rural tourism and hospitality sector: A systematic literature review and suggestions for future research. Scandinavian Journal of Hospitality and Tourism, 23(1), 1–28. [Google Scholar] [CrossRef]
- McDougall, G. H., & Levesque, T. (2000). Customer satisfaction with services: Putting perceived value into the equation. Journal of Services Marketing, 14(5), 392–410. [Google Scholar] [CrossRef]
- Moliner, M. A., Sánchez, J., Rodríguez, R. M., & Callarisa, L. (2007). Relationship quality with a travel agency: The influence of the postpurchase perceived value of a tourism package. Tourism and Hospitality Research, 7(3–4), 194–211. [Google Scholar] [CrossRef]
- Nwosu, I. K., & Adeyemi, S. A. (2024). Assessing the perceived value of eco-tourism in Nigeria’s hospitality sector. African Journal of Tourism Studies, 14(2), 95–110. [Google Scholar]
- Obradović, S., Stojanović, V., Kovačić, S., Jovanovic, T., Pantelić, M., & Vujičić, M. (2021). Assessment of residents’ attitudes toward sustainable tourism development-A case study of Bačko Podunavlje Biosphere Reserve, Serbia. Journal of Outdoor Recreation and Tourism, 35, 100384. [Google Scholar] [CrossRef]
- Olaleye, B. R., Khumalo, N., & Ayodele, A. E. (2024). Integrating sustainable behavior into construction risk management: Modeling human related factors and attitude. In 2024 international conference on decision aid sciences and applications (DASA) (pp. 1–5). IEEE. [Google Scholar]
- Olaleye, B. R., & Mosleh, S. F. (2025). Greening sustainable supply chain performance: The moderating and mediating influence of green value co-creation and green innovation. Administrative Sciences, 15(5), 183. [Google Scholar] [CrossRef]
- Oliver, R. L. (1980). A cognitive model of the antecedents and consequences of satisfaction decisions. Journal of Marketing Research, 17(4), 460–469. [Google Scholar] [CrossRef]
- Pandža Bajs, I. (2015). Tourist perceived value, relationship to satisfaction, and behavioral intentions: The example of the Croatian tourist destination Dubrovnik. Journal of Travel Research, 54(1), 122–134. [Google Scholar] [CrossRef]
- Pehin Dato Musa, S. F., & Chin, W. L. (2022). The contributions of agritourism to the local food system. Consumer Behavior in Tourism and Hospitality, 17(2), 197–210. [Google Scholar] [CrossRef]
- Pekerşen, Y., & Kaplan, M. (2023). The perceptions of a local community on tourism development: The case of Akyaka as a Cittaslow. Community Development, 54(2), 292–311. [Google Scholar] [CrossRef]
- Petrick, J. F. (2004). The roles of quality, value, and satisfaction in predicting cruise passengers’ behavioral intentions. Journal of Travel Research, 42(4), 397–407. [Google Scholar] [CrossRef]
- Prayag, G., Suntikul, W., & Agyeiwaah, E. (2018). Domestic tourists to Elmina Castle, Ghana: Motivation, tourism impacts, place attachment, and satisfaction. Journal of Sustainable Tourism, 26(12), 2053–2070. [Google Scholar] [CrossRef]
- Rai, S. S., Ansari, I. A., Ganguly, K., Giri, S., & Rai, S. (2021). Lean practices in homestay operations: A case study. Journal of Quality Assurance in Hospitality & Tourism, 22(4), 395–424. [Google Scholar]
- Raj, V. A., Jasrotia, S. S., Rai, S. S., & Ansari, I. A. (2024). A bibliometric review of organic menus at restaurants: Research streams and future research path. Journal of Quality Assurance in Hospitality & Tourism, 25(4), 1043–1069. [Google Scholar] [CrossRef]
- Rakpathum, W., Siripipatthanakul, S., Phuangsuwan, P., & Charoenporn, C. (2025). Enhancing sustainable development goals (SDGs) for rural tourism communities: The case of Mae Kampong Village, Chiang Mai, Thailand. SDGs Review, 5(1), e04755. [Google Scholar] [CrossRef]
- Rasoolimanesh, S. M., Dahalan, N., & Jaafar, M. (2016). Tourists’ perceived value and satisfaction in a community-based homestay in the Lenggong valley world heritage site. Journal of Hospitality and Tourism Management, 26, 72–81. [Google Scholar] [CrossRef]
- Rastegar, R. (2019). Tourism development and conservation, do local resident attitudes matter? International Journal of Tourism Sciences, 19(3), 181–191. [Google Scholar] [CrossRef]
- Regmi, K. D., & Walter, P. G. (2016). Conceptualising host learning in community-based ecotourism homestays. J. Ecotourism, 15, 51–63. [Google Scholar] [CrossRef]
- Richards, G. (2020). Designing creative places: The role of creative tourism. Annals of Tourism Research, 85, 102922. [Google Scholar] [CrossRef]
- Ryu, K., Lee, H. R., & Gon Kim, W. (2012). The influence of the quality of the physical environment, food, and service on restaurant image, customer perceived value, customer satisfaction, and behavioral intentions. International Journal of Contemporary Hospitality Management, 24(2), 200–223. [Google Scholar] [CrossRef]
- Satrovic, E., Somoye, O. A., Olaleye, B. R., & Lekunze, J. N. (2025). Reconciling the nexus between fiscal decentralization and environmental sustainability in European Union: Moderating role of environmental policy stringency. Frontiers in Environmental Science, 13, 1600303. [Google Scholar] [CrossRef]
- Silva, S. S., Martins, A., & Lima, R. (2025). Green and digital skills for sustainable tourism: A systematic review. Sustainability, 17(1), 110. [Google Scholar] [CrossRef]
- Su, L., Swanson, S. R., & Chen, X. (2020). Reputation, subjective well-being, and environmental responsibility in rural tourism. Journal of Sustainable Tourism, 28(2), 244–263. [Google Scholar]
- Teruel-Sanchez, R., Briones-Peñalver, A. J., Bernal-Conesa, J. A., & de Nieves-Nieto, C. (2025). Values of the entrepreneur as a driver of sustainable tourism entrepreneurship: Teruel-Sanchez et al. Journal of International Entrepreneurship, 23(3), 648–676. [Google Scholar] [CrossRef]
- Tosun, C. (2006). Expected nature of community participation in tourism development. Tourism Management, 27(3), 493–504. [Google Scholar] [CrossRef]
- Turčinović, M., Vujko, A., & Stanišić, N. (2025). Community-led sustainable tourism in rural areas: Enhancing wine tourism destination competitiveness and local empowerment. Sustainability, 17(7), 2878. [Google Scholar] [CrossRef]
- Uduji, J. I., & Okolo-Obasi, E. N. (2023). Ecotourism for transformative and youth development in sub-Saharan Africa: The role of corporate social responsibility in Nigeria’s oil host communities. Journal of Tourism and Cultural Change, 21(6), 629–656. [Google Scholar] [CrossRef]
- Vujović, S., Vujić, N., Premović, J., & Kalinić, M. (2021). Local community attitude toward tourism development in capital cities: Example of Belgrade. Ekonomika Preduzeća, 69(1–2), 41–54. [Google Scholar] [CrossRef]
- Williams, P., & Soutar, G. N. (2009). Value, satisfaction and behavioral intentions in an adventure tourism context. Annals of Tourism Research, 36(3), 413–438. [Google Scholar] [CrossRef]
- Woodruff, R. B., & Gardial, S. F. (1996). Know your customer: New approaches to understanding customer value and satisfaction. Blackwell Publications. [Google Scholar]
- Zeithaml, V. A. (1988). Consumer perceptions of price, quality, and value: A means-end model and synthesis of evidence. Journal of Marketing, 52(3), 2–22. [Google Scholar] [CrossRef]



| Measures | Items | Frequency (n = 386) | Percentage (%) |
|---|---|---|---|
| Gender | Male | 215 | 55.7 |
| Female | 171 | 44.3 | |
| Marital Status | Single | 227 | 58.8 |
| Married | 159 | 41.2 | |
| Age | 18–30 | 64 | 16.6 |
| 31–40 | 121 | 31.3 | |
| 41–50 | 166 | 43.0 | |
| 50 and above | 35 | 9.1 | |
| Education | Diploma | 76 | 19.7 |
| University degree | 269 | 69.7 | |
| Postgraduate degree | 41 | 10.6 | |
| Reason for the homestay | Novel experience | 202 | 52.3 |
| Work-related | 94 | 24.4 | |
| Holiday experience | 90 | 23.3 |
| Latent Variables | Loadings (λ) | CA | rho_A | CR | AVE |
|---|---|---|---|---|---|
| Environmental Sustainability | EVS | 0.817 | 0.823 | 0.891 | 0.731 |
| EVS1 | 0.838 *** | ||||
| EVS2 | 0.884 *** | ||||
| EVS3 | 0.842 *** | ||||
| Homestay Perceived Value | HPV | 0.928 | 0.942 | 0.945 | 0.775 |
| HPV1 | 0.844 *** | ||||
| HPV2 | 0.839 *** | ||||
| HPV3 | 0.941 *** | ||||
| HPV4 | 0.918 *** | ||||
| HPV5 | 0.857 *** | ||||
| Homestay Tourist Satisfaction | HTS | 0.758 | 0.768 | 0.862 | 0.676 |
| HTS1 | 0.836 *** | ||||
| HTS2 | 0.741 *** | ||||
| HTS3 | 0.883 *** | ||||
| Local Community Attitude | LCA | 0.899 | 0.902 | 0.937 | 0.833 |
| LCA1 | 0.937 *** | ||||
| LCA2 | 0.904 *** | ||||
| LCA3 | 0.897 *** |
| Constructs | 1 | 2 | 3 | 4 |
|---|---|---|---|---|
| 1. Environmental Sustainability (EVS) | 0.855 | |||
| 2. Homestay Perceived Value (HPV) | 0.255 | 0.880 | ||
| 3. Homestay Tourist Satisfaction (HTS) | 0.421 | 0.251 | 0.822 | |
| 4. Local Community Attitude (LCA) | 0.213 | 0.745 | 0.276 | 0.913 |
| Constructs | 1 | 2 | 3 | 4 |
|---|---|---|---|---|
| 1. Environmental Sustainability (EVS) | ||||
| 2. Homestay Perceived Value (HPV) | 0.284 | |||
| 3. Homestay Tourist Satisfaction (HTS) | 0.529 | 0.308 | ||
| 4. Local Community Attitude (LCA) | 0.237 | 0.796 | 0.334 |
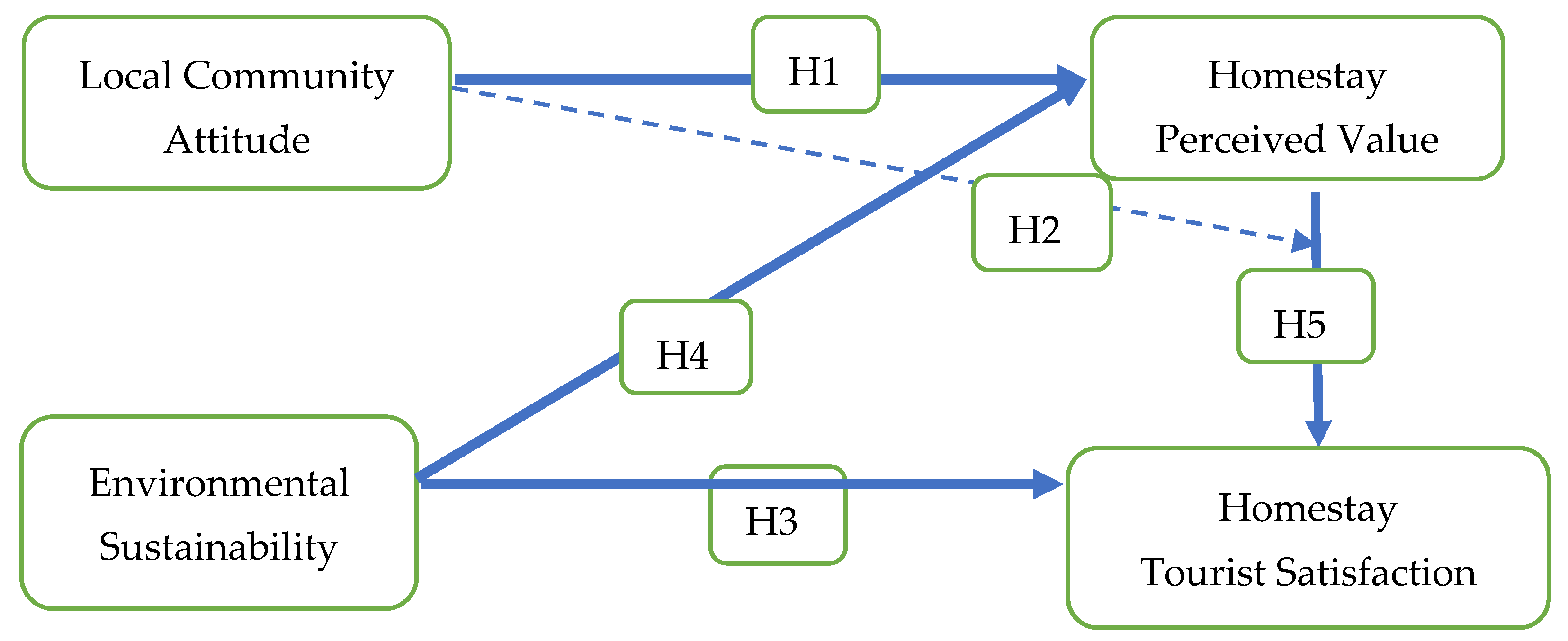
| Parameters | β | SE | t-Value | p-Value | R2 | F2 | Decision | |
|---|---|---|---|---|---|---|---|---|
| Direct effects | ||||||||
| H1 | LCA → HPV | 0.723 | 0.045 | 16.012 | 0.000 | 0.565 | 1.148 | S |
| H3 | EVS → HTS | 0.371 | 0.093 | 4.001 | 0.000 | 0.237 | 0.169 | S |
| H4 | EVS → HPV | 0.101 | 0.050 | 2.039 | 0.041 | 0.565 | 0.023 | S |
| H5 | HPV → HTS | 0.114 | 0.119 | 0.953 | 0.341 | 0.237 | 0.006 | NS |
| Indirect effect | ||||||||
| H2 | LCA_MOD_HPV → HTS | 0.101 | 0.053 | 1.923 | 0.055 | 0.031 | NS | |
Disclaimer/Publisher’s Note: The statements, opinions and data contained in all publications are solely those of the individual author(s) and contributor(s) and not of MDPI and/or the editor(s). MDPI and/or the editor(s) disclaim responsibility for any injury to people or property resulting from any ideas, methods, instructions or products referred to in the content. |
© 2026 by the authors. Licensee MDPI, Basel, Switzerland. This article is an open access article distributed under the terms and conditions of the Creative Commons Attribution (CC BY) license.
Share and Cite
Olaleye, B.R.; Ayodele, A.E.; Lekunze, J.N. Revisiting Value and Satisfaction in Sustainable Homestay Tourism: Evidence from Southwest Nigeria. Tour. Hosp. 2026, 7, 79. https://doi.org/10.3390/tourhosp7030079
Olaleye BR, Ayodele AE, Lekunze JN. Revisiting Value and Satisfaction in Sustainable Homestay Tourism: Evidence from Southwest Nigeria. Tourism and Hospitality. 2026; 7(3):79. https://doi.org/10.3390/tourhosp7030079
Chicago/Turabian StyleOlaleye, Banji Rildwan, Ademola Emmanuel Ayodele, and Joseph Nembo Lekunze. 2026. "Revisiting Value and Satisfaction in Sustainable Homestay Tourism: Evidence from Southwest Nigeria" Tourism and Hospitality 7, no. 3: 79. https://doi.org/10.3390/tourhosp7030079
APA StyleOlaleye, B. R., Ayodele, A. E., & Lekunze, J. N. (2026). Revisiting Value and Satisfaction in Sustainable Homestay Tourism: Evidence from Southwest Nigeria. Tourism and Hospitality, 7(3), 79. https://doi.org/10.3390/tourhosp7030079

