Quality vs. Populism in Short-Video Political Communication: A Multimodal Study of TikTok
Abstract
1. Introduction
Theoretical Framework
2. Materials and Methods
2.1. Corpus Construction and Time Window
2.2. Multimodal Text Extraction (ASR and OCR)
2.3. Affect and Auxiliary Features
2.4. Framing Indices: Quality and Populism
2.5. Engagement Measures and Exposure
2.6. Baseline Regression for Fractional Outcomes
2.7. Temporal Aggregation and Event Alignment
2.8. Hashtag Ecosystems and Modularity
2.9. Coordination/Replication Screen
2.10. Quality Control and Missing Data
2.11. Ethical Considerations
2.12. Software and Reproducibility
3. Results
3.1. Framing Measurement: Quality and Populism (Validity and Distribution)
3.1.1. Distributions by Label
3.1.2. Validity Checks
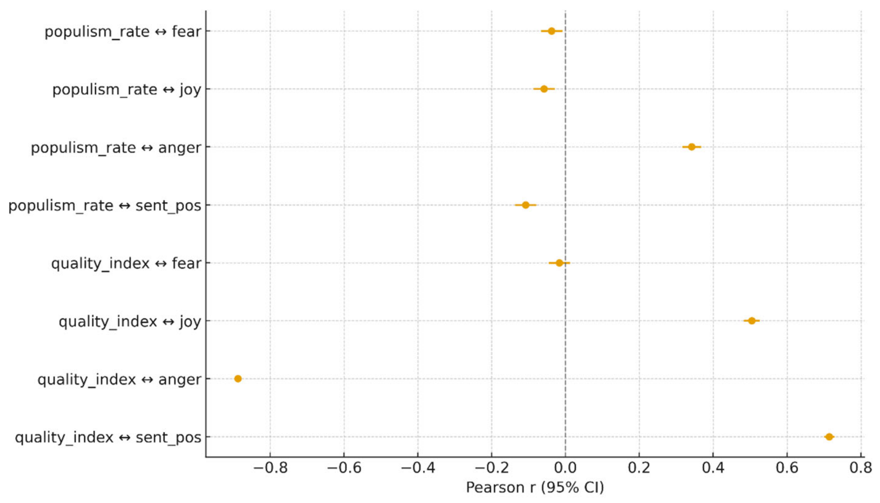
- Quality ↔ positive tone: The quality index correlates positively with overall positive sentiment (r = 0.71, N = 4588) and with joy (r = 0.50, N = 4588). It correlates negatively with anger (r = −0.89). These are large associations in social media text/audio settings and indicate that high-quality videos systematically present more constructive affect and far less anger.
- Populism ↔ anger: The populism rate correlates positively with anger (r = 0.34) and slightly negatively with positive sentiment (r = −0.11), consistent with a mobilizing, adversarial style. Associations with fear are near zero.
- Because N ≈ 4.6k videos for all pairs, even moderate effect sizes are estimated precisely (95% CIs in the dot plot).
3.2. Engagement Effects
3.2.1. Baseline Fractional Logit
3.2.2. Heterogeneity by Actor
3.2.3. Engagement Rate Robustness
3.3. Temporal Dynamics of Frames
- Security shock and constitutional referendum (Jan–May 2024): Ecuador entered 2024 under a state of emergency and an unprecedented declaration of “internal armed conflict” after gangs stormed a TV station on 9 Jan 2024. The government framed policy as wartime and then advanced a popular consultation on security/justice/investment approved in April 2024. A calm in our series after May is consistent with a “consolidation” phase rather than escalation of antagonistic framing (Collins, 2024).
- Electoral cycle (Feb–Apr 2025): The 2025 general election cycle—first round in February and second round in April—re-activates competitive incentives. Campaign coverage documented strategic emphasis on digital media (TikTok/Instagram) by the incumbent and allies. Our line for populism nudges upward from early 2025, consistent with electoral mobilization and “performative authenticity” practices on short-video platforms (Robertson, 2025).
- Referendum push and protests over fuel subsidies (Aug–Oct 2025): In August 2025, the executive floated seven referendum questions to advance far-reaching reforms; by late September, large demonstrations erupted after the removal of the diesel subsidy, including a viral video of military abuse of a dying protester that triggered national outrage. In our data, populism rises and video volume spikes in September 2025, followed by a sharp October drop, which aligns with a short, intense contentious cycle.
Trends by Label/Actor
3.4. Hashtag Ecosystems (Communities and Topics)
- Pro-government leadership cluster (C0): Tags such as #ecuador, #DanielNoboa, #ElNuevoEcuador, #DanielNoboaPresidente, and #EcuadorParaAdelante dominate the largest community. The degree rankings confirm that these act as hubs—e.g., #ecuador (degree 370) and #danielnoboa (231)—which increases their bridging capacity into adjacent topics and For You exposure. This is consistent with the leader-centered engagement advantage documented.
- Generic trend/For You basin (C14, C11): Tags like #fyp, #viral, and #parati (and variants such as paratiiiii…) form a creator economy cluster that co-occurs with security-coded terms (#seguridad and #seguridadprivada) and with political tags near mobilizing events. These high-degree generic tags (e.g., #fyp degree 232) function as bridges that can amplify visibility across communities when paired with political content, aligning with the ER gains creators obtain under populist framing.
- Correísmo/opposition basin (C18): Tags such as #RafaelCorrea, #LuisaGonzalez, #LuisaPresidenta, and #RC5 structure a compact cluster that becomes more active during electoral windows. Its topical cohesion suggests an audience niche with strong identity signaling.
- Indigenous movement and territorial cluster (C3): #Pachakutik, #LeonidasIza, and #CONAIE, alongside #Quito/#Guayaquil, reveal a mobilization-centric community consistent with protest cycles and territory-rooted frames. Its location next to city tags hints at issue–territory coupling during contentious episodes.
- Institutional election administration (C16): Tags like #CNE, #CNECumplió, #LaDemocraciaNosUne, and #EleccionesEcuador2025 map an institutional basin. Institutional actors face engagement penalties; here, their hashtag repertoire is coherent but relatively peripheral (small community and modest degree), which may limit organic spread in short-video feeds.
3.5. Coordinated or Replicated Messaging
3.6. Qualitative Verification (Triangulation)
Interpretation (How the Clips Read On-Platform)
- Programmatic vs. antagonistic styles are visually and rhetorically distinct. High-quality posts consistently center information value: service delivery or concrete benefits (“MITI-MITI… casa propia”), interviews and policy talk (#LuisaEnMedios), or historical/educational frames (“¿cómo Manta logró su cantonización?”). They adopt instructional or explanatory captions, usually without broad rage-bait tags. By contrast, low-quality posts lean on identity and confrontation (“Se les acabó el festejo… #corruptos”), vague slogans, or viral-seeking generic tags (#parati and #fyp), with little actionable content.
- Engagement patterns mirror Section 3.3. Several “quality” clips achieve very high reach (e.g., @wilopradoec’s housing program explainer at ~1.3 M plays), but antagonistic or conflict-coded low-quality clips also attract substantial interaction (@danielnoboaok’s denunciatory post with ~2.3 M plays). This aligns with the model finding that leaders and creators monetize populist cues, while institutions do not. The curated set shows creators mixing topical hooks with emotive cues, whereas institutional accounts stick to formal updates that convert less efficiently.
- Text layers match the indices. Where OCR captured on-screen text, higher-quality posts carry titles or labels that scaffold comprehension (program names and interview identifiers), while lower-quality posts foreground accusatory or rally phrases. Even when the captions are brief, the visual text in high-quality videos tends to anchor the message (program logos and interview chyron), while the low-quality set relies more on affective cadence and creator performance.
- Topical contrasts are consistent with Ecuador’s context. In 2024–2025, the platform was saturated with content about security, elections, and economic relief. The high-quality examples frequently explain policies or ritualize institutional communication (media interviews and service programs), whereas the low-quality set clusters on accusation and polarizing cues (e.g., corruption labeling and calls against protest). This qualitative texture is exactly what the quality and populism scores are designed to separate, giving confidence in their construct validity within the Ecuadorian ecosystem.
- What this triangulation adds: The qualitative read of 10–20 concrete clips demonstrates that the same directional patterns observed in the models—quality benefits institutions less than leaders, while populism pays off for leaders/creators—are recognizable by human judgment. The clips also clarify mechanisms: quality communicates benefits and procedures; populism simplifies blame and rallies identity, enabling scalable replication in short-video feeds.
3.7. Robustness and Sensitivity
3.8. Evidence-Based Design for Non-Populist Engagement
3.8.1. What Works Without Populism (Interpretation Anchored in Ecuador’s Context)
- (i)
- Quality helps—but modestly—when the message is tight and concrete. The partial-dependence curve shows a small but positive slope for quality_index at low populism (Figure 13). In practice, this means clips that condense procedures, benefits, and “how it works” micro-explanations (e.g., trámites, programas, and plazos) can raise ER without antagonism, especially for institutional or media actors who already trade in information.
- (ii)
- “Joy” outperforms “anger” as a non-polarizing energizer. In the multivariate model, joy is positively associated with engagement (ΔER ≈ +0.47 pp, p ≈ 0.009) while anger is the largest pro-engagement driver overall (ΔER ≈ +0.96 pp, p ≈ 0.052) but is precisely the pathway that tends to co-travel with populist frames. For non-populist strategy, the data favor joy/efficacy cues—celebratory outcomes, beneficiaries on camera, and problem-solving progress—over anger. This squares with the platform’s reward to emotions that feel shareable without necessarily attacking out-groups.
- (iii)
- Be concise: shorter captions systematically win. Each +1 SD in caption length is associated with ≈ −0.93 pp lower ER (p < 0.001), controlling for everything else. High-performing non-populist clips keep captions short and functional (title + 1 key noun phrase), shifting explanation to the video layer (visual steps, lower thirds) rather than long prose in the caption.
- (iv)
- Use a few targeted hashtags (not a cloud). n_hashtags shows a small but significant positive association (ΔER ≈ +0.28 pp, p ≈ 0.028). The sweet spot is a handful of specific tags (program name, municipality, and policy area) rather than generic #fyp/#parati clouds. This helps contextual discovery without pushing conflict.
- (v)
- Who says it still matters? Actor fixed effects absorb systematic differences: leaders and creators begin higher, institutions lower. The design levers above are therefore net of actor type and remain useful to ministries, municipalities, and watchdogs seeking engagement with informational rather than antagonistic content.

3.8.2. Design Recipe
- Lead with benefits, not blame. Open in the first seconds with the specific benefit (e.g., “Ahora puedes inscribirte en … en 2 pasos.”) and then show a crisp two-step visual. This aligns with the small but positive quality slope when populism is low (Figure 13).
- Show progress with positive affect. Use joy/efficacy as the affective wrapper: cutaways to successful outcomes, smiling beneficiaries, “before/after” vignettes, or milestone counters. Joy’s positive, significant association (Figure 13) offers a clean, non-polarizing path to interaction.
- Write captions like headlines. Keep caption length down (Figure 13). Title + one concrete noun phrase (“Entrega de 120 kits en La Argelia”) beats paragraph-length descriptions. Move explanation to on-screen text and voiceover.
- Hashtag with intent. Use 1–3 precise tags: program acronym, locality, and policy area (Figure 13). Avoid generic reach tags; they add noise without informational value.
- Treat anger as a constraint. Anger measurably boosts ER (Figure 13), but it is the closest correlate of the populist pathway you are explicitly avoiding. When accountability is necessary, switch to fact-first exposure (documents on screen, timelines, and source labels) and efficacy framing (“qué hacer ahora”), not antagonistic labeling.
- Institutional accounts can still win. Because actor effects are controlled, these levers remain usable by institutions and media, which tend to underperform leaders/creators in raw interaction. The gains are smaller per post, but repeatable and reputationally safer.
4. Discussion
4.1. Interpretation and Links to Prior Work
4.2. Answering the Research Questions
4.3. Contributions and Implications
4.4. Strengths and Limitations
4.5. Future Research
5. Conclusions
Author Contributions
Funding
Institutional Review Board Statement
Informed Consent Statement
Data Availability Statement
Acknowledgments
Conflicts of Interest
Abbreviations
| ASR | Automatic Speech Recognition |
| OCR | Optical Character Recognition |
| ER | Engagement Rate |
| GLM | Generalized Linear Model |
| OLS | Ordinary Least Squares |
| HC3 | Heteroskedasticity-Consistent (HC3) Robust Standard Errors |
| SE | Standard Error |
| CI | Confidence Interval |
| SD | Standard Deviation |
| RR | Rate Ratio |
| OR | Odds Ratio |
| AME | Average Marginal Effect |
| Fps | Frames per Second |
| CPU | Central Processing Unit |
| JSONL | JSON Lines |
| URL | Uniform Resource Locator |
| Sim | Cosine Similarity |
| FYP | For You Page (hashtag use) |
| CNE | Consejo Nacional Electoral (Ecuador) |
| CONAIE | Confederación de Nacionalidades Indígenas del Ecuador |
| RC5 | Revolución Ciudadana (uso como cuenta/etiqueta “rc5”) |
References
- Angulo Moncayo, N., López-Paredes, M., Rodriguez-Malebran, C., & Sandoval Pizarro, T. (2025). The discursive strategies of Ecuadorian president Daniel Noboa on the platforms Instagram and TikTok. Social Sciences, 14(10), 572. [Google Scholar] [CrossRef]
- Bergengruer, V. (2024). Why Latin American leaders are obsessed with TikTok. TIME. Available online: https://time.com/6270952/latin-american-leaders-tiktok/ (accessed on 5 October 2025).
- Brady, W. J., McLoughlin, K., Doan, T. N., & Crockett, M. J. (2021). How social learning amplifies moral outrage expression in online social networks. Science Advances, 7(33), eabe5641. [Google Scholar] [CrossRef] [PubMed]
- Brady, W. J., Wills, J. A., Jost, J. T., Tucker, J. A., & Van Bavel, J. J. (2017). Emotion shapes the diffusion of moralized content in social networks. Proceedings of the National Academy of Sciences, 114(28), 7313–7318. [Google Scholar] [CrossRef] [PubMed]
- Cartes-Barroso, M. J., García-Estévez, N., & Méndez-Muros, S. (2025). Attracting the Vote on TikTok: Far-Right Parties’ emotional communication strategies in the 2024 European elections. Journalism and Media, 6(1), 33. [Google Scholar] [CrossRef]
- Castanho Silva, B., Neuner, F. G., & Wratil, C. (2023). Populism and candidate support in the US: The effects of “Thin” and “Host” ideology. Journal of Experimental Political Science, 10(3), 438–447. [Google Scholar] [CrossRef]
- Cervi, L. (2021). Tik Tok and generation Z. Theatre, Dance and Performance Training, 12(2), 198–204. [Google Scholar] [CrossRef]
- Cervi, L., Tejedor, S., & Blesa, F. G. (2023). TikTok and political communication: The latest frontier of politainment? A Case Study. Media and Communication, 11(2), 203–217. [Google Scholar] [CrossRef]
- Collins, D. (2024). Armed gang storms Ecuador TV station as state of ‘internal armed conflict’ declared. The Guardian. Available online: https://www.theguardian.com/world/2024/jan/09/ecuador-gangs-wave-terror-state-of-emergency? (accessed on 5 October 2025).
- Criado, J. I., & Villodre, J. (2022). Revisiting social media institutionalization in government. An empirical analysis of barriers. Government Information Quarterly, 39(2), 101643. [Google Scholar] [CrossRef]
- Dekavalla, M. (2018). Issue and game frames in the news: Frame-building factors in television coverage of the 2014 Scottish independence referendum. Journalism, 19(11), 1588–1607. [Google Scholar] [CrossRef]
- Dolci, G., & Melli, G. (2025). Measuring populism in Europe. Comparison and validation in the European Social Survey. Quality & Quantity, 1–19. [Google Scholar] [CrossRef]
- Entman, R. M. (1993). Framing: Toward clarification of a fractured paradigm. Journal of Communication, 43(4), 51–58. [Google Scholar] [CrossRef]
- Freire Alarcón, P. A., & Medina Chicaiza, P. (2025). TikTok y la comunicación en la universidad: Nuevas dinámicas de conexión y contenido. Dilemas Contemporáneos: Educación, Política y Valores. [Google Scholar] [CrossRef]
- Gerbaudo, P., De Falco, C. C., Giorgi, G., Keeling, S., Murolo, A., & Nunziata, F. (2023). Angry posts mobilize: Emotional communication and online mobilization in the Facebook pages of western European right-wing populist leaders. Social Media + Society, 9(1), 20563051231163327. [Google Scholar] [CrossRef]
- Grantham, S., Cervi, L., & Iachizzi, M. (2025). Double tap democracy: Political authenticity in the TikTok era. Media International Australia. [Google Scholar] [CrossRef]
- Han, J., Lee, S. E., & Cha, M. (2023). The secret to successful evocative messages: Anger takes the lead in information sharing over anxiety. Communication Monographs, 90(4), 545–565. [Google Scholar] [CrossRef]
- Jacobi, C., van Atteveldt, W., & Welbers, K. (2016). Quantitative analysis of large amounts of journalistic texts using topic modelling. Digital Journalism, 4(1), 89–106. [Google Scholar] [CrossRef]
- Kang, H., & Lou, C. (2022). AI agency vs. human agency: Understanding human–AI interactions on TikTok and their implications for user engagement. Journal of Computer-Mediated Communication, 27(5), zmac014. [Google Scholar] [CrossRef]
- Kidron, U., & Ish-Shalom, P. (2025). The populist name game: About populism and naming. Political Studies Review, 23(2), 482–503. [Google Scholar] [CrossRef]
- Lawrence, R. G. (2000). Game-framing the Issues: Tracking the strategy frame in public policy news. Political Communication, 17(2), 93–114. [Google Scholar] [CrossRef]
- Li, Y., Cheng, Z., & Gil de Zúñiga, H. (2025). TikTok’s political landscape: Examining echo chambers and political expression dynamics. New Media & Society. [Google Scholar] [CrossRef]
- McLoughlin, K. L., Brady, W. J., Goolsbee, A., Kaiser, B., Klonick, K., & Crockett, M. J. (2024). Misinformation exploits outrage to spread online. Science, 386(6725), 991–996. [Google Scholar] [CrossRef]
- Mede, N. G. (2024). Variations of science-related populism in comparative perspective: A multilevel segmentation analysis of supporters and opponents of populist demands toward science. International Journal of Comparative Sociology, 65(5), 636–663. [Google Scholar] [CrossRef]
- Medina Serrano, J. C., Papakyriakopoulos, O., & Hegelich, S. (2020, July 6–10). Dancing to the partisan beat: A first analysis of political communication on TikTok. 12th ACM Conference on Web Science (pp. 257–266), Southampton, UK. [Google Scholar] [CrossRef]
- Moir, A. (2023). The use of TikTok for political campaigning in Canada: The case of Jagmeet Singh. Social Media + Society, 9(1), 20563051231157604. [Google Scholar] [CrossRef]
- Morejón-Llamas, N., Ramos-Ruiz, Á., & Cristòfol, F.-J. (2024). Institutional and political communication on TikTok: Systematic review of scientific production in Web of Science and Scopus. Communication & Society, 37, 159–177. [Google Scholar] [CrossRef]
- Mostafa, M. M., Alhur, M., & Moustafa, A. M. (2025). A structural topic modeling of communication research: Insights from over a century of journals’ abstracts. International Journal of Information Management Data Insights, 5(2), 100364. [Google Scholar] [CrossRef]
- Mudde, C. (2004). The populist zeitgeist. Government and Opposition, 39(4), 541–563. [Google Scholar] [CrossRef]
- Noboa, A. (2025). TikTok y Facebook, los pilares digitales del éxito político de Daniel Noboa. Primicias. Available online: https://www.primicias.ec/noticias/politica/exito-digital-presidente-daniel-noboa-redes-sociales-tiktok-facebook/ (accessed on 5 October 2025).
- Olivas Osuna, J. J. (2021). From chasing populists to deconstructing populism: A new multidimensional approach to understanding and comparing populism. European Journal of Political Research, 60(4), 829–853. [Google Scholar] [CrossRef]
- Orbegozo-Terradillos, J., Larrondo Ureta, A., & Morales i Gras, J. (2024). TikTok y comunicación política: Pautas de interacción e índice de engagement de candidatos y partidos en una campaña electoral. Revista Latina de Comunicación Social, 83, 1–22. [Google Scholar] [CrossRef]
- Papke, L. E., & Wooldridge, J. M. (1996). Econometric methods for fractional response variables with an application to 401(k) plan participation rates. Journal of Applied Econometrics, 11(6), 619–632. [Google Scholar] [CrossRef]
- Papke, L. E., & Wooldridge, J. M. (2008). Panel data methods for fractional response variables with an application to test pass rates. Journal of Econometrics, 145(1–2), 121–133. [Google Scholar] [CrossRef]
- Páez, J. (2023). La estrategia política de pagar a ‘influencers’ en TikTok se mueve entre vacíos legislativos en Ecuador. El Universo. Available online: https://www.eluniverso.com/noticias/informes/la-estrategia-politica-de-pagar-a-influencers-en-tiktok-se-mueve-entre-vacios-legislativos-en-ecuador-nota/ (accessed on 5 October 2025).
- Pérez-Curiel, C., & Rivas-de-Roca, R. (2022). Exploring populism in times of crisis: An analysis of disinformation in the European context during the US elections. Journalism and Media, 3(1), 144–156. [Google Scholar] [CrossRef]
- Posligua Quinde, I., & Ramírez Rodríguez, M. (2024). Comunicación política y redes sociales. La influencia en la opinión pública de la comunidad TikTok. Ñawi, 8(1), 285–300. [Google Scholar] [CrossRef]
- Primicias. (2024). El Gobierno de Noboa domina las redes sociales, pero tropieza con las vocerías. Primicias. Available online: https://www.primicias.ec/noticias/politica/gobierno-daniel-noboa-tendencias-redes-sociales-vocerias/ (accessed on 5 October 2025).
- Primicias. (2025). Los presidenciales practican para la campaña en sus cuentas de TikTok. Primicias. Available online: https://www.primicias.ec/politica/presidenciales-practican-campana-cuentas-tiktok-78205/ (accessed on 5 October 2025).
- Quimis Arteaga, L. E. (2024). Análisis de contenidos en TikTok durante la campaña por la consulta popular de 2024 en Ecuador. #PerDebate, 8(1), 22. [Google Scholar] [CrossRef]
- Robertson, K. (2025). Explainer: Ecuador’s 2025 Elections. AS/COA. Available online: https://www.as-coa.org/articles/explainer-ecuadors-2025-elections (accessed on 5 October 2025).
- Russmann, U. (2021). Quality of understanding in communication among and between political parties, mass media, and citizens: An empirical study of the 2013 Austrian national election. Journal of Deliberative Democracy, 17(2), 102–116. [Google Scholar] [CrossRef]
- Sanches, E., & Ramos, C. M. Q. (2025). Evaluating the impact of Instagram engagement metrics on corporate revenue growth: Introducing the loyalty rate. Information, 16(4), 287. [Google Scholar] [CrossRef]
- Saqr, M., & López-Pernas, S. (2021). The longitudinal trajectories of online engagement over a full program. Computers & Education, 175, 104325. [Google Scholar] [CrossRef]
- Tuğal, C. (2021). Populism studies: The case for theoretical and comparative reconstruction. Annual Review of Sociology, 47(1), 327–347. [Google Scholar] [CrossRef]
- Van Remoortere, A., Vermeer, S., & Kruikemeier, S. (2024). Contact us! An audit study to examine the responsiveness of political elites on social media during a Dutch election. Electoral Studies, 90, 102815. [Google Scholar] [CrossRef]
- Wang, Y. T., & Suthers, D. D. (2022). Understanding affordances in short-form videos: A performative perspective (pp. 312–319). Springer International Publishing. [Google Scholar] [CrossRef]
- Wilches, J., Guerrero, H., & Niño, C. (2024). Emociones políticas y narrativas prototípicas: TikTok en las campañas políticas, estudio de caso. Revista Latina de Comunicación Social, 82, 1–28. [Google Scholar] [CrossRef]
- Yilmaz, I., & Morieson, N. (2021). A systematic literature review of populism, religion and emotions. Religions, 12(4), 272. [Google Scholar] [CrossRef]












| Label | n | quality_mean | quality_sd | populism_mean | populism_sd |
|---|---|---|---|---|---|
| other | 1544 | −0.166 | 1.315 | −0.028 | 1.330 |
| leader | 1146 | 0.165 | 0.494 | 0.144 | 0.600 |
| creator | 993 | −0.260 | 0.960 | 0.059 | 1.025 |
| institution | 499 | 0.562 | 0.451 | −0.333 | 0.297 |
| party | 406 | 0.111 | 0.891 | −0.036 | 0.825 |
| Overall | 4588 | −0.000 | 1.000 | −0.000 | 1.000 |
| quality_index | populism_rate | sent_pos | anger | joy | fear | |
|---|---|---|---|---|---|---|
| quality_index | 1.00 | −0.21 | 0.71 | −0.89 | 0.50 | −0.02 |
| populism_rate | −0.21 | 1.00 | −0.11 | 0.34 | −0.06 | −0.04 |
| sent_pos | 0.71 | −0.11 | 1.00 | −0.43 | 0.73 | 0.01 |
| anger | −0.89 | 0.34 | −0.43 | 1.00 | −0.30 | 0.01 |
| joy | 0.50 | −0.06 | 0.73 | −0.30 | 1.00 | −0.05 |
| fear | −0.02 | −0.04 | 0.01 | 0.01 | −0.05 | 1.00 |
| Term | coef | se_robust | z | p_Value | OR | OR_lo | OR_hi |
|---|---|---|---|---|---|---|---|
| Intercept | −2.659 | 0.042 | −64.13 | 0 | 0.07 | 0.065 | 0.076 |
| quality_index | −0.075 | 0.044 | −1.71 | 0.088 | 0.927 | 0.85 | 1.011 |
| populism_rate | 0.111 | 0.013 | 8.42 | 0 | 1.117 | 1.089 | 1.146 |
| sent_pos | 0.058 | 0.021 | 2.79 | 0.005 | 1.060 | 1.017 | 1.103 |
| anger | 0.018 | 0.038 | 0.49 | 0.625 | 1.019 | 0.946 | 1.097 |
| Label | N | β_Quality | SE_q | RR_q | RR_q_lo | RR_q_hi | β_Populism | SE_p | RR_p | RR_p_lo | RR_p_hi |
|---|---|---|---|---|---|---|---|---|---|---|---|
| creator | 2453 | −0.044 | 0.045 | 0.957 | 0.876 | 1.046 | 0.090 | 0.015 | 1.094 | 1.062 | 1.127 |
| institution | 499 | −0.607 | 0.079 | 0.545 | 0.467 | 0.636 | −0.559 | 0.224 | 0.572 | 0.368 | 0.888 |
| leader | 928 | 0.551 | 0.089 | 1.734 | 1.458 | 2.063 | 0.489 | 0.038 | 1.630 | 1.513 | 1.757 |
| media | 304 | −0.075 | 0.058 | 0.928 | 0.829 | 1.039 | 0.059 | 0.025 | 1.060 | 1.010 | 1.113 |
| party | 404 | −0.253 | 0.073 | 0.776 | 0.673 | 0.895 | 0.004 | 0.056 | 1.004 | 0.900 | 1.121 |
| Term | GLM-Binomial | OLS logit(ER + eps) |
|---|---|---|
| quality_index | −0.075 | −0.044 |
| populism_rate | 0.111 | 0.130 |
| sent_pos | 0.058 | 0.036 |
| anger | 0.018 | 0.063 |
| Metric | Mean | p99 | n |
|---|---|---|---|
| ER_all | 0.0681 | 0.2212 | 4612 |
| ER_all_w99 | 0.0676 | 0.2212 | 4612 |
| ER_lc | 0.0627 | 0.2059 | 4612 |
| ER_like | 0.0589 | 0.1944 | 4612 |
| ER_cs | 0.0092 | 0.0464 | 4612 |
| Specification | β_Quality | 95% CI (Quality) | β_Populism | 95% CI (Populism) | N |
|---|---|---|---|---|---|
| FracLogit ER (all) | −0.072 | [−0.158, 0.014] | 0.110 | [0.084, 0.136] | 4612 |
| FracLogit ER (winsor.99) | −0.051 | [−0.130, 0.028] | 0.103 | [0.080, 0.125] | 4612 |
| OLS logit(ER) | −0.049 | [−0.229, 0.132] | 0.136 | [0.095, 0.177] | 4612 |
| Poisson counts, offset log(plays + 1) | −0.155 | [−0.313, 0.004] | 0.108 | [0.048, 0.169] | 4612 |
| Poisson counts (winsor.99) | 0.119 | [−0.022, 0.260] | 0.066 | [0.009, 0.123] | 4612 |
| FracLogit ER (likes + comments) | −0.076 | [−0.162, 0.010] | 0.113 | [0.087, 0.140] | 4612 |
| Lever | Beta (log-odds) | p(HC3) | ΔER (+1 vs. −1 SD) |
|---|---|---|---|
| quality_index | 0.005 | 0.935 | 0.05 pp |
| sent_pos | −0.016 | 0.622 | −0.14 pp |
| joy | 0.052 | 0.009 | +0.47 pp |
| anger | 0.107 | 0.052 | +0.96 pp |
| caption_len | −0.104 | <0.001 | −0.93 pp |
| n_hashtags | 0.032 | 0.028 | +0.28 pp |
Disclaimer/Publisher’s Note: The statements, opinions and data contained in all publications are solely those of the individual author(s) and contributor(s) and not of MDPI and/or the editor(s). MDPI and/or the editor(s) disclaim responsibility for any injury to people or property resulting from any ideas, methods, instructions or products referred to in the content. |
© 2026 by the authors. Licensee MDPI, Basel, Switzerland. This article is an open access article distributed under the terms and conditions of the Creative Commons Attribution (CC BY) license.
Share and Cite
Rodas-Coloma, A.; Cabezas-González, M.; Casillas-Martín, S.; Moreno, P.N.-B. Quality vs. Populism in Short-Video Political Communication: A Multimodal Study of TikTok. Journal. Media 2026, 7, 46. https://doi.org/10.3390/journalmedia7010046
Rodas-Coloma A, Cabezas-González M, Casillas-Martín S, Moreno PN-B. Quality vs. Populism in Short-Video Political Communication: A Multimodal Study of TikTok. Journalism and Media. 2026; 7(1):46. https://doi.org/10.3390/journalmedia7010046
Chicago/Turabian StyleRodas-Coloma, Alicia, Marcos Cabezas-González, Sonia Casillas-Martín, and Pedro Nevado-Batalla Moreno. 2026. "Quality vs. Populism in Short-Video Political Communication: A Multimodal Study of TikTok" Journalism and Media 7, no. 1: 46. https://doi.org/10.3390/journalmedia7010046
APA StyleRodas-Coloma, A., Cabezas-González, M., Casillas-Martín, S., & Moreno, P. N.-B. (2026). Quality vs. Populism in Short-Video Political Communication: A Multimodal Study of TikTok. Journalism and Media, 7(1), 46. https://doi.org/10.3390/journalmedia7010046

