Next Article in Journal
Political Listening and Podcasting: The Case of Tunisia
Previous Article in Journal
Research on Health Topics Communicated through TikTok: A Systematic Review of the Literature
 
 
Font Type:
Arial Georgia Verdana
Font Size:
Aa Aa Aa
Line Spacing:
Column Width:
Background:
Article

The Impact of Perceived Timeliness of Information Release on Subjective Well-Being: A Heterogeneity Perspective

1
Beijing Tourism Group, Beijing 100020, China
2
School of Economics, Ocean University of China, Qingdao 266100, China
*
Author to whom correspondence should be addressed.
Journal. Media 2024, 5(4), 1413-1432; https://doi.org/10.3390/journalmedia5040089
Submission received: 1 July 2024 / Revised: 22 August 2024 / Accepted: 5 September 2024 / Published: 25 September 2024

Abstract

The perceived timeliness of information release (PTIR) refers to the public’s overall assessment of the interval between the generation of information and its dissemination. Scholars are increasingly concerned with understanding how PTIR influences subjective well-being (SWB), which encompasses individuals’ self-evaluation of their life satisfaction, emotional experiences, and overall quality of life. This study proposes a research framework to investigate the relationship between PTIR and SWB among social media users, focusing on the mediating roles of social comparison, social security, and information stock. Utilizing data collected from 708 respondents via the Questionnaire Star app, we employed structural equation modeling to analyze the data. The results indicate that PTIR has a significant positive impact on SWB, primarily through the mediating effects of social security and information stock, while social comparison does not show a significant mediating effect. Additionally, it highlights the varying impact of these mediators based on individuals’ social media usage patterns, with frequent users experiencing a diminished influence of social security and information stock on their SWB. These findings provide valuable insights into the pathways through which PTIR and social media dynamics influence SWB, offering important implications for the theory and practice in enhancing individual well-being in the digital age.

1. Introduction

The timeliness of information release is a crucial factor influencing individuals’ subjective well-being (SWB). Social media platforms, with their ability to rapidly disseminate high-quality information, provide users with opportunities for engagement, knowledge acquisition, and collaboration. These opportunities, in turn, enhance individuals’ sense of participation, knowledge, community connection, and motivation for action (Gong 2017; Carlson et al. 2018). As social media continue to solidify their role as a primary medium for communication and information acquisition, people increasingly rely on these platforms, integrating them into the fabric of their daily lives (Sabatini and Sarracino 2017; Ognibene et al. 2023). Data from the Trustdata mobile big data monitoring platform indicate that online social services now account for approximately 80% of China’s total internet applications. This highlights the growing prominence of social media as the primary source for obtaining information and expressing emotions. Consequently, this shift toward online platforms for self-expression and communication has garnered significant attention (Orben et al. 2019; Odgers and Jensen 2020; Park et al. 2021). Social media platforms play a critical role in expanding individuals’ social connections, enhancing their sense of dignity, increasing life satisfaction, and providing avenues for self-expression (Talwar et al. 2019; Malik et al. 2020; Reid-Partin and Chattaraman 2023). Furthermore, as people relied on these platforms for communication and information during lockdowns and social distancing, the COVID-19 pandemic significantly accelerated the use of social media and intensified a pre-existing trend (Cinelli et al. 2020; Brailovskaia and Margraf 2024). As a result, people are becoming increasingly dependent on social media for communication and information acquisition, making it an integral part of their daily routines.
In the current social media era, the public has access to an overwhelming volume of information through various channels, raising increasing concerns about the timeliness and efficiency of information dissemination. Perceived timeliness of information release (PTIR) refers to the public’s overall assessment of the interval between the generation of information and its dissemination. A higher PTIR suggests shorter intervals for information release and quicker update speeds. PTIR incorporates several factors, including the frequency of information updates, shifts in information trends, and the evolving needs of the audience. It is intrinsically linked to the timing of information delivery within the context of social media information sharing (Harviainen et al. 2022). Furthermore, the timeliness of perceived information can significantly influence public emotions and behaviors when engaging with content (Martínez Rodríguez 2024).
Since the 1960s, psychologists have been studying subjective well-being using scientific methods to understand an individual’s overall life quality and evaluation based on subjective standards and personal experiences. SWB is characterized by subjectivity, stability, and wholeness. With the advancement of technology and the influence of media, research on SWB has gradually expanded into the social media era. Online subjective well-being (OSWB) encompasses a wide range of emotions and experiences, including contentment, blessedness, and various effects individuals undergo while engaging with social media platforms (Fan et al. 2019). However, there is still uncertainty regarding the relationship between social media use and SWB. Meta-analyses indicate limited negative associations between the two (Appel et al. 2020; Lin et al. 2021). Previous investigations examining their potential connections have yielded diverse results, including reciprocal relationships (Orben et al. 2019), associations limited to specific directions or gender (Heffer et al. 2019), or even the absence of any significant relationship (Jensen et al. 2019).
In previous studies, factors influencing SWB have primarily been explored in the fields of psychology, economics, and sociology. For example, in economics, discrimination resulting from wealth gaps affects SWB through two pathways: reducing social trust and impacting psychological health (Wang et al. 2021). In sociology and psychology, health, material conditions, social comparison, and family relationships significantly influence individuals’ happiness, with spousal support particularly increasing happiness (Sun et al. 2016; Kaur et al. 2021). We propose that PTIR primarily affects SWB. When individuals can quickly and accurately access the information, they need to make informed decisions; they may feel satisfied and happy. Conversely, when PTIR is low, individuals may feel insecure and struggle to adapt to environmental changes, leading to missed opportunities, delayed actions, increased burdens, and stress. However, there is a lack of direct research on the relationship between PTIR dissemination and SWB. Therefore, we aim to address the following research questions: (a) What are the links between social comparison, social security, information stock, PTIR, and SWB? (b) Do social comparison, social security, and information stock mediate the relationship with SWB? To answer these questions, this study focuses on examining the correlation between PTIR and SWB and utilizes structural equations to analyze the relationship and underlying mechanisms.
This study addresses a critical gap in understanding how the perceived timeliness of information release enhances individuals’ subjective well-being within the disciplines of psychology, sociology, and economics. Grounded in the limited-capacity model (LCM), the study examines how PTIR influences subjective well-being by impacting users’ cognitive resources during information processing on social media platforms. It also explores how social media platforms can strategically manage information release to enhance user well-being. Additionally, it investigates the mediating roles of social comparison, social security, and information stock in the relationship between PTIR and subjective well-being. The findings reveal a robust positive relationship between PTIR and SWB, contributing to a deeper understanding of the social mechanisms underlying information dissemination. These insights provide empirical support for strategies aimed at enhancing SWB, thereby contributing to the broader discourse on the impact of social media dynamics on individual well-being.

2. Theory and Hypothesis Development

We employ the limited-capacity model as the theoretical framework, which serves as a critical theoretical tool for understanding the cognitive load and stress experienced by social media users when processing information. As a widely accepted theory, the LCM posits two fundamental assumptions relevant to this study (Lang 2000): (a) Social media users function as information processors with the ability to handle information; (b) Social media users possess limited cognitive capacity and mental resources necessary for processing new information.
The impact of PTIR on SWB can be understood through its mediating roles in social security, information stock, and social comparison. According to the LCM, when individuals perceive timely information release, they can quickly and accurately access and process this information. Timely information release enhances the individuals’ sense of security (social security), increases their mastery of relevant information (information stock), and reduces anxiety related to social comparison. Collectively, these factors serve as mediators that enhance an individual’s subjective well-being. However, the LCM also emphasizes that individuals have limited cognitive resources for processing information. As the volume of information on social media continues to grow, particularly with frequent and prompt releases, individuals may experience information overload. This overload may weaken their processing ability, thereby diminishing the positive effects of the mediating variables.
Additionally, this study considers individual heterogeneity in social media usage. According to the LCM, differences in information processing abilities and social media usage patterns among individuals will result in varying effects of PTIR on SWB. For instance, frequent social media users may be more prone to information overload, which can mitigate the positive effects of social security, information stock, and social comparison on SWB. These findings suggest that strategies to enhance individual well-being must consider the appropriateness of information release timeliness and the cognitive load capacities of individuals.
Overall, it provides a comprehensive understanding of how PTIR, social security, information stock, and social comparison collectively influence SWB through complex cognitive mechanisms (Figure 1). This integrated model offers new perspectives for theoretical research and provides empirical support for social media platforms’ information release strategies.

2.1. Social Comparison and Individual Subjective Well-Being

Social comparison (SC) is a prominent factor that affects individual SWB in the context of sustainability. Numerous studies have demonstrated that SC can lead to feelings of jealousy and ultimately reduce SWB (Latif et al. 2021). For instance, Gerson et al. found a passive association between SWB and social comparison (Gerson et al. 2016). Verduyn et al. (2020) concluded that active engagement in social comparison can passively impact individuals and result in negative moods. Lin and Utz (2015) determined that comparison psychology stemming from the use of social networking sites has a significant influence. Moreover, Kobylińska et al. (2020) discovered that excessive social comparison can diminish SWB by destabilizing individuals’ emotions and self-worth. Based on these findings, we hypothesize that social comparison significantly affects SWB, leading to our proposed Hypothesis 1:
H1. 
Social comparison has a negative influence on individual subjective well-being.

2.2. Perceived Timeliness of Information Release and Social Comparison

Currently, there is a scarcity of research that specifically examines the relationship between PTIR and social comparison. Most existing studies focus on the broader relationship between social media usage and social comparison processes. Zhang et al. (2023) argued that the rapid development of the internet and the easy accessibility of information channels have led to an information explosion. However, individuals may lack the capacity to effectively receive and process this information, rendering them more susceptible to social comparison and its psychological consequences. Han et al. (2020) explored the effect of social comparison on the relationship between social media usage and job burnout. Ali Taha et al. (2021) investigated the association between passive social media usage, social comparison, and stress during the COVID-19 pandemic. They concluded that browsing social media during isolation could trigger unhealthy social comparisons. Fukubayashi and Fuji (2021) examined how daily social media usage influences individuals’ emotions regarding their careers. They found that engaging in social comparison by viewing positive evaluations of others’ careers could lead to career frustration. It is important to note that while the frequency of information posting and the accessibility of information are distinct from PTIR, they are interconnected within the broader context of the social media environment (Sansome et al. 2024). When individuals perceive that information is released in a timely manner, they may be more inclined to compare themselves with those who seem to benefit from or respond more quickly to that information. Moreover, the frequency of information posting and the accessibility of information increase individuals’ exposure to content, which may also lead to more frequent social comparisons. Based on this reasoning, we propose the following hypothesis:
H2. 
Perceived information release timeliness is positively related to social comparison.

2.3. Social Security and Individual Subjective Well-Being

Scholars define social security as a long-term and stable psychological appeal and experience that individuals in society have. It encompasses not only a worry-free and controllable existence in the present but also confidence and visible expectations for oneself, as well as for the country and society as a whole, in the future. There are two main findings regarding the relationship between social security and SWB. Firstly, a few studies suggest that an increase in social security does not have a significant effect on SWB (Feng and Zhong 2021). However, the majority of studies conclude that social security is significantly and positively related to SWB. This may be because a high sense of social security leads individuals to experience more positive emotions, which in turn increases life satisfaction and reduces negative emotions, thus safeguarding SWB. For instance, Horowitz (2016) pointed out that job security significantly enhances SWB through the quality of work. Additionally, Zorondo-Rodríguez et al. (2016) directly measured social security as one of the indicators of SWB, highlighting a close connection between social security and SWB. Based on these findings, this paper proposes the following research hypothesis:
H3. 
The sense of social security is positively related to individual subjective well-being.

2.4. Perceived Timeliness of Information Release and Social Security

Few studies have directly examined the relationship between PTIR and social security perceptions, with most existing research focusing on the broader effects of perceived media and online information on social security. For example, Tang et al. (2021) used structural equation modeling to investigate whether government social media information security management significantly enhances people’s perceptions of social security. Bertot et al. (2012) discussed how challenges such as privacy breaches and security issues posed by social media use can influence perceptions of social security. Hajli and Lin (2016) emphasized the role of users’ information sharing behaviors on social networks in shaping perceptions of social security. They argued that while information sharing can enhance transparency and trust, it may also negatively impact social security perceptions by increasing perceived privacy risks. Focally, the relationship between PTIR and social security is primarily reflected in the public’s ability to access timely and accurate information, which is crucial for informed decision making. When individuals perceive that information regarding social security is being released in a timely and effective manner, their confidence in the social security system is strengthened. The timely dissemination of information can reduce uncertainties and anxieties related to social security, as the public feels more informed and better equipped to navigate the complexities. Therefore, we propose the following hypothesis:
H4. 
Perceived timeliness of information release is positively related to social security.

2.5. Information Stock and Individual Subjective Well-Being

In the context of an information society, the quantity of information that individuals possess has become a crucial factor in evaluating a person. This concept, referred to as information stock, encompasses the amount of information an individual possesses and acquires from external sources. The information stock not only influences individuals’ perception of their life circumstances but also has broader implications. Information and data are no longer merely considered as resources; they have transformed into valuable assets. The accumulation of information can be viewed as a form of cultural capital that impacts individuals’ economic wealth, social status, and even their physical and psychological well-being through various mechanisms (Bukenya et al. 2003). Consequently, it can be argued that individuals with a larger information stock are more likely to experience happiness. Moreover, a greater amount of information allows individuals to develop a deeper understanding of themselves and establish stronger connections with the external world (Chen 2012). This, in turn, reinforces their capacity to experience happiness. At the individual level, information enhances well-being in two ways: firstly, by opening up new sources of enjoyment, and secondly, by providing insights into other sources of fulfillment (Yu et al. 2023). In essence, the information individuals acquire satisfies their spiritual needs as higher order beings, directly contributing to their overall happiness. Furthermore, a higher information stock serves as a significant indicator of educational attainment for individuals. Numerous scholars support the positive impact of education on well-being. The positive correlation between education and well-being is fundamental, as being well educated is crucial for individuals to attain higher levels of well-being. An empirical study conducted by Yıldırım and Arslan (2022) demonstrates that education strongly influences individuals’ well-being throughout their lives, even after controlling for income. Based on these premises, the following hypothesis is proposed:
H5. 
Information stock is positively related to individual subjective well-being.

2.6. Perceived Timeliness of Information Release and Information Stock

PTIR is typically assessed by the speed of dissemination, with higher PTIR indicating faster information distribution. Increasing PTIR can lead to a higher frequency and quantity of information available to individuals, thereby increasing their information stock. However, there are also potential downsides to excessively fast information dissemination. The current information is often presented without proper interpretation or context, leaving little room for critical reflection. In such cases, the information remains at the level of presentation and cannot be transformed into knowledge through sufficient time for contemplation (Serban-Oprescu et al. 2019). Moreover, excessive access to information and comparisons between sources can result in information overload for individuals (Malik et al. 2020). Thus, too rapid a dissemination rate may not effectively enhance individuals’ information stock. Despite differing conclusions obtained from different perspectives, we posit that there is a positive correlation between PTIR and information stock. Even if some information may not be fully absorbed, there still exists a considerable amount of valid information that individuals can access, leading to an increase in their information stock. Hence, we propose the following hypothesis:
H6. 
Perceived timeliness of information release is positively associated with information stock.

2.7. Perceived Timeliness of Information Release and Individual Subjective Well-Being

PTIR is a measure of how quickly a message captures the attention of others, particularly for time-sensitive information, such as public health events or tumor suppression. Dissemination speed is a crucial indicator for assessing the effectiveness of information dissemination. Different types of information exhibit varying dissemination speeds, including situations where dissemination occurs at a relatively equal pace, sudden and rapid dissemination following a period of inactivity, or rapid initial dissemination followed by a steady pace. Enhancing PTIR contributes to improving users’ perception of information convenience, which is a key factor in predicting their acceptance of information (Dhir et al. 2019). Increased PTIR results in more frequent exposure to information, and repeated exposure can influence people’s attitudes and behaviors, ultimately impacting individuals’ subjective well-being (SWB). The timely dissemination of perceptual information enables individuals to access information quickly, allowing them to respond accordingly. To some extent, this can contribute to an increase in their SWB (Bansah and Darko Agyei 2022). Therefore, we propose the following hypothesis:
H7. 
Perceived timeliness of information release shows a positive relationship with individual subjective well-being.

2.8. The Mediating Role of Social Comparison, Social Security, and Information Stock

It is crucial to further investigate the mediating roles of social comparison, social security, and information stock in the relationship between PTIR and SWB to clarify the mechanisms underlying this relationship.

2.8.1. Social Comparison

Social comparison is widely recognized as a key factor influencing SWB. The frequent and timely release of information on social media platforms can exacerbate social comparison processes, as individuals are constantly exposed to updates about others’ achievements, lifestyles, and opinions. Previous studies have shown that such comparisons often lead to negative emotions, such as dissatisfaction, and decreased self-esteem, ultimately reducing SWB (Verduyn et al. 2020; Latif et al. 2021). Appel et al. (2016) found that individuals who frequently engage in social comparisons are more likely to experience lower levels of SWB. As PTIR increases, individuals may feel compelled to keep up with the fast-paced flow of information, thereby intensifying their tendency to compare themselves with those who seem to benefit from timely information. Therefore, we advance the following hypothesis:
H8a. 
Social comparison mediates the relationship between PTIR and SWB.

2.8.2. Social Security

Social security, defined as the perception of safety, stability, and trust in one’s social and economic environment, is another critical mediator in the relationship between PTIR and SWB. Timely information release can enhance social security by providing up-to-date and reliable information, which reduces uncertainty and builds trust in societal institutions (Han et al. 2013; Tang et al. 2021). For example, when individuals receive timely updates on government policies, economic conditions, or health advisories, they are more likely to feel secure and supported by the system, which in turn enhances their overall well-being. Conversely, delayed or inaccurate information can lead to feelings of insecurity and anxiety, undermining SWB. Therefore, we advance the following hypothesis:
H8b. 
Social security mediates the relationship between PTIR and SWB.

2.8.3. Information Stock

Information stock, which encompasses the quantity and quality of information individuals accumulate, plays a significant role in their cognitive and emotional well-being. It goes beyond mere information access, including the breadth and depth of knowledge acquired over time (Bukenya et al. 2003). Higher PTIR can increase the information stock by ensuring that individuals are consistently informed, thereby aiding them in making better decisions in both personal and professional contexts. Research suggests that individuals with greater information stock are more likely to feel confident, competent, and satisfied, thereby enhancing their SWB (Yu et al. 2023). However, the potential downsides of information overload must also be considered, as the rapid and continuous influx of information can overwhelm individuals, leading to stress and reduced cognitive capacity (Arnold et al. 2023). To explore this process, we advance the following hypothesis:
H8c. 
Information stock mediates the relationship between PTIR and SWB.

3. Materials and Methods

3.1. Structural Equation Modeling (SEM)

SEM is a method that combines factor and path analysis to construct, estimate, and detect causality models. It utilizes covariance matrices to examine the relationships between variables in multivariate data and handles complex latent variable relationships (Fassinger 1987). SEM involves both structural and measurement equations. The structural equations express relationships between latent variables, while the measurement equations express relationships between latent variables and indicators (Zyphur et al. 2023). SEM is a powerful tool for constructing, evaluating, correcting, and analyzing path models. It can effectively analyze the impact of individual indicators on the overall model and the relationships between different indicators. SEM can replace various traditional statistical analysis methods, such as multiple regression, path analysis, factor analysis, and covariance analysis. It offers more evaluation dimensions and has diverse applications. SEM captures the interactions between factors within a model and can account for measurement errors. Unlike traditional methods, SEM does not have rigid assumptions or constraints. It allows for the inclusion of independent and dependent variables, as well as their errors in the model, enhancing the interpretation of real-world issues.
The structural equation model is divided into latent variables of abstract concepts and explicit variables of measurement indicators. Arrows do not point to concepts; instead, arrows point to dimensions and measurement indicators. Thus, the concepts are the endogenous latent variables; the dimensions are the exogenous latent variables; and the indicators are the explicit variables. There are subjective and objective methods for constructing indicator systems, and the structural equation modeling technique perfectly reflects the idea of combining subjectivity and objectivity; therefore, this technique is widely used in constructing indicators.
At the same time, as a method of empirical research, the process of constructing the indicator system using the structural equation modeling technique is very rigorous, and the whole process is decomposed into the following steps:
(1)
Conducting the definition of concepts.
(2)
Listing the possible dimensions and then establishing the measurement indicators to form a unique indicator system. The system of indicators constructed for the same concept differs because of the different industries or companies analyzed by the researcher; therefore, this is also called a competitive model.
(3)
Forming preliminary scales and questionnaires.
(4)
Adding or deleting specific questions to modify the scale and designing the questionnaire based on the answers to questions from the expert consultation and interview communication.
(5)
Data collection.
(6)
Adaptation, evaluation, and modification of different competing models using structural equation modeling techniques to ultimately find the most appropriate model.
(7)
Dimensional measures and index weights are derived based on a combination of the best model and goodness-of-fit indicators.

3.2. Control Variables

Individual differences have an impact on social-media-related behaviors and outcomes. This is more pronounced for sociodemographic variables including age (Reer et al. 2019). Therefore, age, gender, occupation, hours of social media use per day in the past week, marriage, and health status are regarded as control variables based on previous research (Dhir et al. 2021). In addition, we included education level as a control variable. Indeed, research suggests that social media use and its outcomes may vary depending on an individual’s academic performance and achievement (Talwar et al. 2019).

3.3. Sample and Data Collection

The Likert scale is the most used scale in survey research (Heo et al. 2022). This paper uses a five-level Likert scale (where 1 = strongly disagree and 5 = strongly agree) as a research tool to build a questionnaire system, which consists of two parts, respondents’ social life profile items and scale items, where the scale items consist of five parts: social comparison, social security, information stock, perceived timeliness of information release, and personal subjective well-being. Specifically, the measurement loading factors of the scale include social comparison (SC), social security (SS), information stock (IS), perceived timeliness of information release (PTIR), individual subjective well-being (SWB), and specific measurement items are shown in Table 1.
To ensure the usefulness of the research instrument and survey content, a preliminary study of 32 social media users, based on respondents’ feedback and suggestions from three experts, and the scale items and wording were slightly modified in the fields of psychology, socioeconomics, and social journalism, resulting in the finalization of the scale items and the respondents’ social life profile items (Table 2).

4. Results

4.1. Descriptive Analysis

The data for the survey study were obtained from a questionnaire survey of college students and their relatives. A pre-survey was first conducted in specific universities, and the original questionnaire and model were modified according to the survey results. We distributed 750 questionnaires; 750 questionnaires were recovered; and after excluding invalid questionnaires with incomplete answers, extreme values, and identical answers, 708 valid questionnaires remained, with an effective recovery rate of 94.4%. The essential characteristics of samples are shown in Table 3. The ratio of men to women in the interviewed group is basically 1:1; the age is mainly concentrated between 18 and 40 years old, but there is no lack of middle-aged and older groups; and 83% of the total sample has university education or above. Respondents had higher levels of education and were more evenly distributed by gender, age, and time spent on social media.

4.2. Reliability and Validity Analyses

4.2.1. Reliability Analysis

In this paper, based on SPSS26.0 software, the Bartlett sphere test was first conducted on the 19 indicators involved in the five variables selected in this paper, with the result showing that the KMO value was greater than 0.7, which indicated that the scales had a good correlation at the significance level of p = 0.00. Further, we conducted reliability tests for the 19 indicators, and the results are shown in Table 4. The tests showed that the reliability values were greater than 0.7 under five latent variable dimensions, such as social comparison (SC), and the overall reliability value of the scale was 0.834 (>0.8), indicating that the sample scale used passed the reliability test and had credibility and reliability.

4.2.2. Validity Analysis

In the validity analysis of the scale, we used the validated factor analysis (CFA) model to assess and measure the validity. It can be seen that the values of each index of the model fit coefficient are χ 2 / d f = 2.677 , R E S E A = 0.045 , T L I = 0.923 , and C F I = 0.901 . Against the evaluation criteria, the above four indicators all reached the excellent standard, indicating that the CFA model of personal subjective well-being has a good fit, indicating that the latent variables, such as perceived timeliness of information release, social security, and personal subjective well-being, can be better interpreted by their corresponding observed variables.
On the premise that the CFA model of the scale has a good fit, we further examined the convergent validity (AVE) and combinatorial reliability (CR) of the dimensions of the scale. The CFA model calculated the standardized factor loadings of each measurement question item (observed variable) on the corresponding dimension (latent variable). Afterward, the AVE and CR formulae were used to calculate the convergent validity and combined reliability values of each dimension, and the calculation is shown in Table 5. The AVE is greater than 0.4, while the CR value is above 0.7, which indicates that the scales in this paper had better convergent and combined reliabilities.
Further, we conducted a discriminant validity test on the scale. As can be seen in the test results in Table 6, the standardized coefficients between any two dimensions in this discriminant validity test were less than the square root of the corresponding AVE values. The dimensional variables were thus judged to have good discrimination validity among themselves.

4.3. Structural Equation Model Analysis

4.3.1. Baseline Model Results

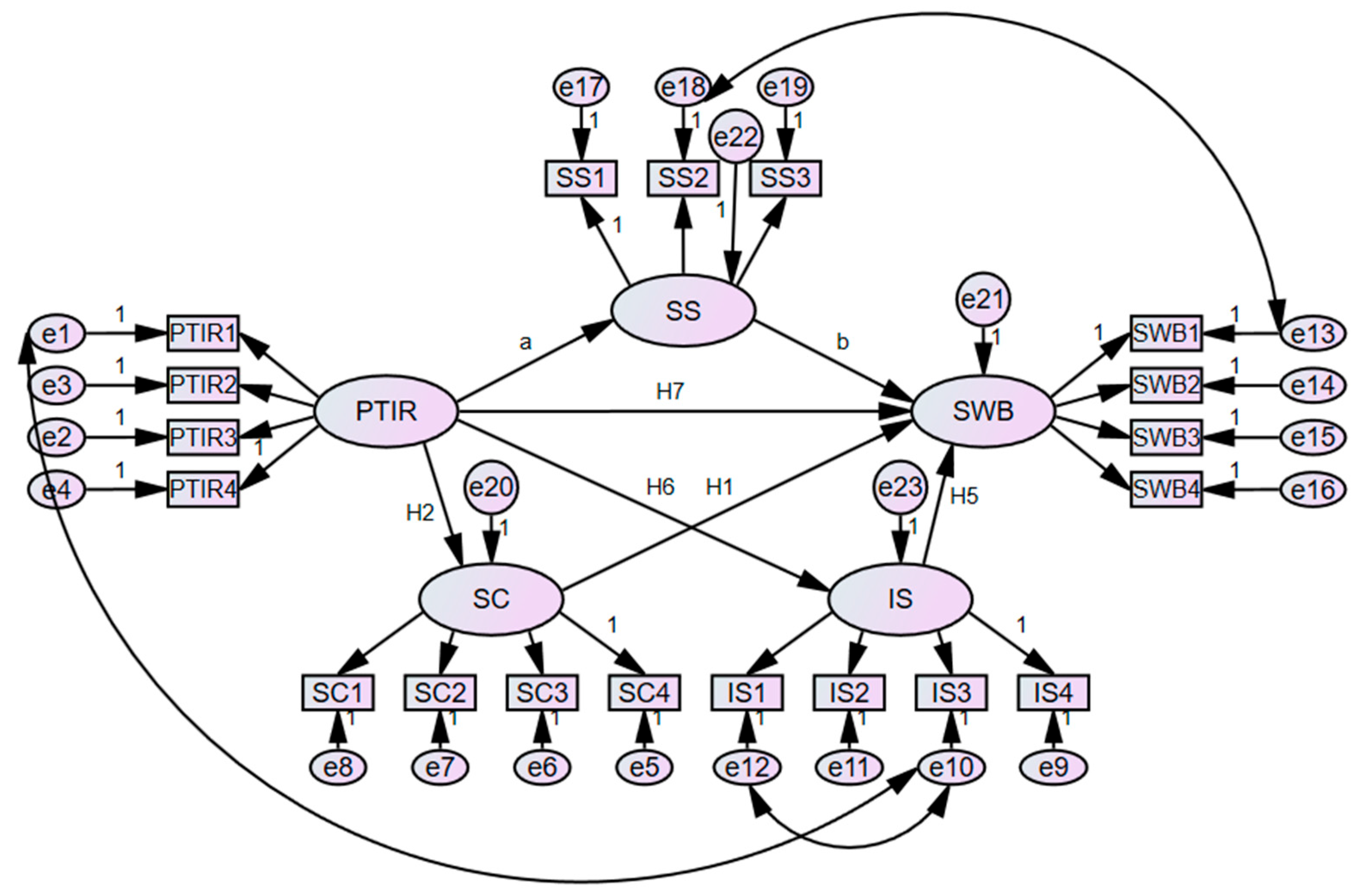
Because of the poor fit of the initial model, the initial structural equation model is modified sequentially in this paper according to the principle of releasing one parameter at a time, and a total of three residual correlation paths are added to finally obtain the optimal structural equation model (as shown in Figure 2). According to the results of the modified SEM fitness, it can be observed that, in the range of 1–3, RMSEA = 0.046, which meets the excellent criteria in the range of less than 0.05. Moreover, both TLI and CFI were tested to reach an excellent level of 0.9 or more. As a result, the modified structural equation model still has a good fit.
We tested the path hypotheses for this structural equation (Table 7 and Figure 3). Not all of the path hypotheses passed the significance test. Among them, social comparison (SC) is negatively related to SWB, and although the coefficient aligns with Hypothesis H1, it does not pass the significance test. One potential reason is that individuals may engage in social comparisons based on relative equality and consensus rather than competition and exclusion, which could moderate the negative impact on SWB. Additionally, social comparisons can sometimes provide positive stimuli to individuals, such as motivation or a sense of belonging, which may offset the negative effects. As a result, the overall effect of SC on SWB may not reach statistical significance. PTIR positively correlates with social comparison, which tentatively verifies H2. This indicates that an increase in PTIR significantly promotes social comparison behavior. The heightened timeliness of information dissemination accelerates the speed and frequency of information updates and changes. When people are exposed to high-frequency, real-time information, they are more likely to encounter diverse social reference groups and establish both positive and negative comparative evaluations across multiple dimensions, thus increasing social comparison behaviors.
Social security is positively correlated with individual subjective well-being, which initially verifies Hypothesis H3. In the era of social media, social security can make individuals feel more entertained and comfortable, and interpersonal relationships can, to a certain extent, satisfy the individuals’ need for social participation and improve their sense of identity and belonging to society, which provides support for social security to promote individual subjective well-being. PTIR is positively related to social security, which tentatively verifies Hypothesis H4. Timely and accurate information can help social media users better understand current situations and forms and thus better make decisions, develop action plans, and master self-protection, thus increasing the sense of social security of individuals and groups. At the same time, timely and accurate information can also bring psychological security, enhance the resilience and adaptability of communities and groups, and reduce the probability of individual physical and psychological trauma.
Information stock positively correlates with SWB, tentatively testing Hypothesis H5. Although personal anxiety and stress may also increase as the information stock increases, in some cases, it may enhance SWB; for example, when people have access to more information and knowledge, they may feel more confident and capable of coping with problems. In addition, if online information is timely and accurate and helps people make the right decisions, it may contribute to SWB. The PTIR is positively correlated with information stock, which initially verifies Hypothesis H6. In the social media environment, people can learn about other users’ information needs in real time through social networks and other means and take advantage of the opportunity to obtain adequate information promptly. At the same time, targeted communication on social networks can also fully use time-sensitive information to enhance information quality. This provides a credible fact that PTIR promotes the enhancement of information stock.
Although the relationship between PTIR and SWB exhibited a positive correlation, it did not pass the significance test, leading to the rejection of the direct effect posited in Hypothesis H7. However, this does not necessarily imply that an increase in PTIR does not influence SWB. The lack of significance could be attributed to sample heterogeneity. Given that the individuals in the sample possessed varying backgrounds and socioeconomic statuses, these differences may have diluted the observed correlations between the variables. Furthermore, PTIR exerted a significant indirect influence on SWB through its effects on social security and information stock, which could have overshadowed the direct effect, rendering it non-significant.

4.3.2. Mediation Effect Test

In the further testing of the mediating paths proposed in this study, the results are shown in Table 8. The coefficients for the indirect effects H3*H4 and H5*H6 were both positive and passed the significance tests. This indicates that, in the era of social media, an increase in PTIR enhances SWB by improving the information stock and social security, thus further validating Hypotheses H8b and H8c proposed in this study. The total effect coefficient was 0.565, and it also passed the significance test, indicating that the enhancement of PTIR significantly improves SWB, primarily by strengthening the individuals’ sense of social security and increasing their information stock.
However, consistent with previous results, the coefficient for the indirect effect H1*H2 did not pass the significance test, meaning that Hypothesis H8a could not be sufficiently supported, and the effect of social comparison on SWB was not significant. This result may stem from the dual nature of social comparison’s impact on SWB. When individuals engage in social comparison on social media, if they perceive themselves to be in a favorable position relative to others or receive positive feedback, this comparison may motivate them to pursue higher goals, thereby enhancing their SWB. Conversely, if individuals feel disadvantaged or receive negative feedback, social comparison may lead to feelings of envy, anxiety, and a decline in self-esteem, which in turn diminishes SWB. The offsetting effects of these positive and negative influences may result in the overall impact of social comparison on SWB not reaching statistical significance.

4.3.3. Heterogeneity Test

In accordance with the questionnaire results, this paper divided the interviewees into two groups, where Group A used social media for less than 3 h per day on average in the past week. Meanwhile, Group B used social media for more than 3 h a day on average in the past week, and the results of the path test are shown in Table 9. Based on the model results, it can be seen that PTIR in the social media era has a homogeneous effect on groups with different times of using social media, i.e., the path of PTIR’s effect on subjective well-being is the same.
Furthermore, the estimated coefficients of the path relationships show that the degree of influence of PTIR posting on social comparison, social security, and information stock is significantly higher in Group B than in Group A. This result indicates that users who use social media for a long time are increasingly sensitive to releasing time-sensitive information, which generates more social comparison behaviors. Suppose that information needs to be timely, accurate, and updated. In that case, it may lead to a decrease in the credibility of social media platforms and have a terrible social impact, which in turn affects the sense of social security; the constant emergence of new information on social media platforms and the need for users to spend more time collecting, filtering, organizing, and applying information may make people feel that they cannot keep up with the growth of information stock. Another result was that the degree of influence of social security and information stock on SWB was significantly lower in Group B than in Group A. This result suggests that increased time spent on social media use leads to weaker relationships with real life, reducing social security’s impact on SWB. In addition, as users spend more and more time using social media, they see more and more content and information on social media, which is challenging to understand and digest one by one and generates “information overload”, thus reducing the impact of information stock on users’ SWB.

5. Discussion

Based on the empirical results, several strategies can be implemented in the social media era to improve the perceived timeliness of information and enhance subjective well-being (SWB).
Firstly, the regulation of social media is crucial. Government authorities should strengthen the supervision of social media platforms and establish norms to protect the rights of citizens and the public interest. Social media platforms should implement classification and management systems for different types of information, ensuring that sensitive and undesirable content undergoes proper review before release. Enhancing information monitoring and processing capabilities is essential to filter out malicious and false information. Additionally, improving privacy protection mechanisms will safeguard users’ rights, contributing to a safer online environment.
Secondly, improving the timeliness of information release is important. Government and enterprises should enhance the collection and integration of information using advanced technologies like artificial intelligence and big data. Establishing information release platforms can facilitate the prompt dissemination of information to the public. Promoting real-time communication tools and providing targeted subscription services can ensure timely access to relevant information. Encouraging participation in information release can also help gather broader social consensus, promoting the faster dissemination of practical information.
By implementing these strategies, we can improve the timeliness of perceived information while enhancing SWB in a sustainable manner within the context of social media. These measures address the effects of PTIR on SWB and provide a holistic approach to fostering a supportive and well-regulated social media environment.

6. Conclusions and Future Work

In the age of social media, the importance of delivering timely information has grown significantly. Staying updated with the latest news and developments is crucial for making informed decisions. However, it is essential to balance this with considerations of sustainability, avoiding an overemphasis on timeliness that could lead to resource waste and negative societal implications.

6.1. Conclusions

This study investigated the impact of PTIR on subjective well-being in the social media era. By exploring the direct and indirect relationships between PTIR and SWB, we tested seven hypotheses. Our findings support five hypotheses related to indirect effects (H2, H3, H4, H5, H6), while the direct effect hypothesis (H7) and one indirect effect hypothesis (H1) require further investigation. This research provides new insights into the mechanisms linking PTIR and SWB, highlighting the social dynamics of information transmission in the digital age. The following conclusions can be drawn:
(1)
PTIR is significantly related to social comparison, social security, and information stock. However, its direct effect on SWB is insignificant. Increased PTIR accelerates users’ access to information, influencing social comparison behaviors and enhancing social security and information stock.
(2)
PTIR indirectly affects SWB through social security and information stock. The indirect effect through social comparison is not significant. Increased PTIR enhances users’ confidence and social security, thereby improving their SWB.
(3)
PTIR has a more pronounced effect on groups with high social media usage. For these groups, PTIR significantly impacts social comparison, social security, and information stock, but the impact of these factors on SWB is lower. Higher social media usage time can lead to information overload, reducing the positive effects of social security and information stock on SWB.
These conclusions offer valuable insights into the mechanisms by which PTIR and network heterogeneity influence individual SWB, providing theoretical and practical implications for enhancing well-being in the social media era.

6.2. Limitations and Future Research Directions

This study obtained 708 valid questionnaires, which may limit the generalizability of the results. The survey population was selected without considering the influence of different countries and cultural backgrounds. Future research could include a more diverse range of respondents to improve the robustness of the findings. Hypothesis H7 did not show a significant relationship between PTIR and SWB. Future studies should explore non-linear relationships by incorporating a quadratic term into the structural equation model and optimizing the mediary path. While this study focused on social comparison, information stock, and social security as mediators, other factors may also play a role and should be examined. Regarding the measurement tools, the current scales might have captured the perceived importance of timely information rather than its actual perception, possibly weakening the link with SWB. Additionally, more standardized SWB scales, particularly those adapted for internet use, could be employed in future research. Finally, while this study centered on individual perceptions of information timeliness, exploring PTIR from a political communication perspective could offer broader insights into how the objective timeliness of information affects well-being. These aspects will be considered in future research to refine our understanding of PTIR’s impact on SWB.

Author Contributions

Conceptualization, S.Z.; writing—original draft preparation, Y.M.; writing—review and editing, S.Z.; supervision, S.Z. All authors have read and agreed to the published version of the manuscript.

Funding

This research received no external funding.

Institutional Review Board Statement

Not applicable.

Informed Consent Statement

Not applicable.

Data Availability Statement

The original contributions presented in the study are included in the article, further inquiries can be directed to the corresponding author.

Conflicts of Interest

Author Yiyun Ma was employed by the company Beijing Tourism Group. The remaining authors declare that the research was conducted in the absence of any commercial or financial relationships that could be construed as a potential conflict of interest.

References

  1. Ahn, Dohyun, and Dong-Hee Shin. 2013. Is the social use of media for seeking connectedness or for avoiding social isolation? Mechanisms underlying media use and subjective well-being. Computers in Human Behavior 29: 2453–62. [Google Scholar] [CrossRef]
  2. Ali Taha, Viktória, Tonino Pencarelli, Veronika Škerháková, Richard Fedorko, and Martina Košíková. 2021. The use of social media and its impact on shopping behavior of Slovak and Italian consumers during COVID-19 pandemic. Sustainability 13: 1710. [Google Scholar] [CrossRef]
  3. Appel, Helmut, Alexander L. Gerlach, and Jan Crusius. 2016. The interplay between Facebook use, social comparison, envy, and depression. Current Opinion in Psychology 9: 44–49. [Google Scholar] [CrossRef]
  4. Appel, Markus, Caroline Marker, and Timo Gnambs. 2020. Are social media ruining our lives? A review of meta-analytic evidence. Review of General Psychology 24: 60–74. [Google Scholar] [CrossRef]
  5. Arnold, Miriam, Mascha Goldschmitt, and Thomas Rigotti. 2023. Dealing with information overload: A comprehensive review. Frontiers in Psychology 14: 1122200. [Google Scholar] [CrossRef]
  6. Bansah, Abednego Kofi, and Douglas Darko Agyei. 2022. Perceived convenience, usefulness, effectiveness and user acceptance of information technology: Evaluating students’ experiences of a Learning Management System. Technology Pedagogy and Education 31: 431–49. [Google Scholar] [CrossRef]
  7. Bertot, John Carlo, Paul T. Jaeger, and Derek Hansen. 2012. The impact of polices on government social media usage: Issues, challenges, and recommendations. Government Information Quarterly 29: 30–40. [Google Scholar] [CrossRef]
  8. Brailovskaia, Julia, and Jürgen Margraf. 2024. Addictive social media use during COVID-19 outbreak: Validation of the Bergen Social Media Addiction Scale (BSMAS) and investigation of protective factors in nine countries. Current Psychology 43: 13022–40. [Google Scholar] [CrossRef]
  9. Bukenya, James O., Tesfa G. Gebremedhin, and Peter V. Schaeffer. 2003. Analysis of quality of life and rural development: Evidence from West Virginia data. Growth Change 34: 202–18. [Google Scholar] [CrossRef]
  10. Carlson, Jamie, Rahman Mohammad, Voola Ranjit, and De Vries Natalie. 2018. Customer engagement behaviours in social media: Capturing innovation opportunities. Journal of Services Marketing 32: 83–94. [Google Scholar] [CrossRef]
  11. Chang, Chun-Ming, and Meng-Hsiang Hsu. 2016. Understanding the determinants of users’ subjective well-being in social networking sites: An integration of social capital theory and social presence theory. Behaviour & Information Technology 35: 720–29. [Google Scholar] [CrossRef]
  12. Chen, Wan-chi. 2012. How education enhances happiness: Comparison of mediating factors in four East Asian countries. Social Indicators Research 106: 117–31. [Google Scholar] [CrossRef]
  13. Chua, Alton Y. K., and Snehasish Banerjee. 2013. Customer knowledge management via social media: The case of Starbucks. Journal of Knowledge Management 17: 237–49. [Google Scholar] [CrossRef]
  14. Cinelli, Matteo, Walter Quattrociocchi, Alessandro Galeazzi, Carlo Michele Valensise, Emanuele Brugnoli, Ana Lucia Schmidt, Paola Zola, Fabiana Zollo, and Antonio Scala. 2020. The COVID-19 social media infodemic. Scientific Reports 10: 1–10. [Google Scholar] [CrossRef]
  15. Cuevas, Leslie, Jewon Lyu, and Heejin Lim. 2021. Flow matters: Antecedents and outcomes of flow experience in social search on Instagram. Journal of Research in Interactive Marketing 15: 49–67. [Google Scholar] [CrossRef]
  16. Dhir, Amandeep, Puneet Kaur, Sufen Chen, and Ståle Pallesen. 2019. Antecedents and consequences of social media fatigue. International Journal of Information Management 48: 193–202. [Google Scholar] [CrossRef]
  17. Dhir, Amandeep, Shalini Talwar, Puneet Kaur, Sunil Budhiraja, and Najmul Islam. 2021. The dark side of social media: Stalking, online self-disclosure and problematic sleep. International Journal of Consumer Studies 45: 1373–91. [Google Scholar] [CrossRef]
  18. Diener, Ed, Shigehiro Oishi, and Richard E. Lucas. 2015. National accounts of subjective well-being. American Psychologist 70: 234. [Google Scholar] [CrossRef]
  19. Fan, Xiaojun, Nianqi Deng, Xuebing Dong, Yangxi Lin, and Junbin Wang. 2019. Do others’ self-presentation on social media influence individual’s subjective well-being? A moderated mediation model. Telematics and Informatics 41: 86–102. [Google Scholar] [CrossRef]
  20. Fassinger, Ruth E. 1987. Use of structural equation modeling in counseling psychology research. Journal of Counseling Psychology 34: 425. [Google Scholar] [CrossRef]
  21. Feng, Linlin, and Hao Zhong. 2021. Interrelationships and methods for improving university students’ sense of gain, sense of security, and happiness. Frontiers in Psychology 12: 729400. [Google Scholar] [CrossRef] [PubMed]
  22. Fukubayashi, Nao, and Kei Fuji. 2021. Social Comparison on Social Media Increases Career Frustration: A Focus on the Mitigating Effect of Companionship. Frontiers in Psychology 12: 4742. [Google Scholar] [CrossRef] [PubMed]
  23. Gerson, Jennifer, Anke C. Plagnol, and Philip J. Corr. 2016. Subjective well-being and social media use: Do personality traits moderate the impact of social comparison on Facebook? Computers in Human Behavior 63: 813–22. [Google Scholar] [CrossRef]
  24. Gong, Taeshik. 2017. Customer brand engagement behavior in online brand communities. Journal of Services Marketing 32: 286–99. [Google Scholar] [CrossRef]
  25. Hajli, Nick, and Xiaolin Lin. 2016. Exploring the security of information sharing on social networking sites: The role of perceived control of information. Journal of Business Ethics 133: 111–23. [Google Scholar] [CrossRef]
  26. Han, Ruijia, Jian Xu, Yan Ge, and Yulin Qin. 2020. The impact of social media use on job burnout: The role of social comparison. Frontiers in Public Health 8: 588097. [Google Scholar] [CrossRef]
  27. Han, Sehee, Heaseung Kim, and Hee-Sun Lee. 2013. A multilevel analysis of the compositional and contextual association of social capital and subjective well-being in Seoul, South Korea. Social Indicators Research 111: 185–202. [Google Scholar] [CrossRef]
  28. Harviainen, J. Tuomas, Miikka J. Lehtonen, and Sören Kock. 2022. Timeliness in information sharing within creative industries. Case: Finnish game design. Journal of Documentation 78: 83–95. [Google Scholar] [CrossRef]
  29. Heffer, Taylor, Marie Good, Owen Daly, Elliott MacDonell, and Teena Willoughby. 2019. The longitudinal association between social-media use and depressive symptoms among adolescents and young adults: An empirical reply to Twenge et al. (2018). Clinical Psychological Science 7: 462–70. [Google Scholar] [CrossRef]
  30. Heo, Cindy Yoonjoung, Bona Kim, Kwangsoo Park, and Robin M. Back. 2022. A comparison of Best-Worst Scaling and Likert Scale methods on peer-to-peer accommodation attributes. Journal of Business Research 148: 368–77. [Google Scholar] [CrossRef]
  31. Horowitz, Jonathan. 2016. Dimensions of job quality, mechanisms, and subjective well-being in the United States. Sociological Forum 31: 419–40. [Google Scholar] [CrossRef]
  32. Jensen, Michaeline, Madeleine J. George, Michael R. Russell, and Candice L. Odgers. 2019. Young adolescents’ digital technology use and mental health symptoms: Little evidence of longitudinal or daily linkages. Clinical Psychological Science 7: 1416–33. [Google Scholar] [CrossRef] [PubMed]
  33. Kaur, Puneet, Nazrul Islam, Anushree Tandon, and Amandeep Dhir. 2021. Social media users’ online subjective well-being and fatigue: A network heterogeneity perspective. Technological Forecasting and Social Change 172: 121039. [Google Scholar] [CrossRef]
  34. Kobylińska, Dorota, Marcin Zajenkowski, Karol Lewczuk, Konrad S. Jankowski, and Marta Marchlewska. 2020. The mediational role of emotion regulation in the relationship between personality and subjective well-being. Current Psychology 41: 1–14. [Google Scholar] [CrossRef]
  35. Lang, Annie. 2000. The limited capacity model of mediated message processing. Journal of Communication 50: 46–70. [Google Scholar] [CrossRef]
  36. Latif, Kashmala, Qingxiong Weng, Abdul Hameed Pitafi, Ahmed Ali, Asif Waheed Siddiqui, Muhammad Yousaf Malik, and Zara Latif. 2021. Social comparison as a double-edged sword on social media: The role of envy type and online social identity. Telematics and Informatics 56: 101470. [Google Scholar] [CrossRef]
  37. Lee, Jin Kyun. 2020. The effects of social comparison orientation on psychological well-being in social networking sites: Serial mediation of perceived social support and self-esteem. Current Psychology 41: 6247–59. [Google Scholar] [CrossRef]
  38. Lin, Ruoyun, and Sonja Utz. 2015. The emotional responses of browsing Facebook: Happiness, envy, and the role of tie strength. Computers in Human Behavior 52: 29–38. [Google Scholar] [CrossRef]
  39. Lin, Shanyan, Danni Liu, Wei Liu, Qi Hui, Kai S. Cortina, and Xuqun You. 2021. Mediating effects of self-concept clarity on the relationship between passive social network sites use and subjective well-being. Current Psychology 40: 1348–55. [Google Scholar] [CrossRef]
  40. Malik, Aqdas, Amandeep Dhir, Puneet Kaur, and Aditya Johri. 2020. Correlates of social media fatigue and academic performance decrement: A large cross-sectional study. Information Technology & People 34: 557–80. [Google Scholar] [CrossRef]
  41. Martínez Rodríguez, Beatriz. 2024. Together against “the Truth Gap”: A Proposal to Fight Invisibility and Misinformation Affecting Women. Journalism and Media 5: 298–310. [Google Scholar] [CrossRef]
  42. Odgers, Candice L., and Michaeline R. Jensen. 2020. Annual research review: Adolescent mental health in the digital age: Facts, fears, and future directions. Journal of Child Psychology and Psychiatry 61: 336–48. [Google Scholar] [CrossRef] [PubMed]
  43. Ognibene, Dimitri, Rodrigo Wilkens, Davide Taibi, Davinia Hernández-Leo, Udo Kruschwitz, Gregor Donabauer, Emily Theophilou, Francesco Lomonaco, Sathya Bursic, Sabrina Eimler, and et al. 2023. Challenging social media threats using collective well-being-aware recommendation algorithms and an educational virtual companion. Frontiers in Artificial Intelligence 5: 654930. [Google Scholar] [CrossRef] [PubMed]
  44. Orben, Amy, Tobias Dienlin, and Andrew K. Przybylski. 2019. Social media’s enduring effect on adolescent life satisfaction. Proceedings of the National Academy of Sciences 116: 10226–28. [Google Scholar] [CrossRef] [PubMed]
  45. Pang, Hua, and Yang Ruan. 2023. Determining influences of information irrelevance, information overload and communication overload on WeChat discontinuance intention: The moderating role of exhaustion. Journal of Retailing and Consumer Services 72: 103289. [Google Scholar] [CrossRef]
  46. Park, Jaeyoung, Beomsoo Kim, and Sunhee Park. 2021. Understanding the behavioral consequences of upward social comparison on social networking sites: The mediating role of emotions. Sustainability 13: 5781. [Google Scholar] [CrossRef]
  47. Reer, Felix, Wai Yen Tang, and Thorsten Quandt. 2019. Psychosocial well-being and social media engagement: The mediating roles of social comparison orientation and fear of missing out. New Media & Society 21: 1486–505. [Google Scholar] [CrossRef]
  48. Reid-Partin, Kristi, and Veena Chattaraman. 2023. Social Comparisons and Compensatory Consumption: The Art of Buying a Superior Self. Sustainability 15: 15950. [Google Scholar] [CrossRef]
  49. Sabatini, Fabio, and Francesco Sarracino. 2017. Online networks and subjective well-being. Kyklos 70: 456–80. [Google Scholar] [CrossRef]
  50. Sansome, Kate, Dean Wilkie, and Jodie Conduit. 2024. Beyond information availability: Specifying the dimensions of consumer perceived brand transparency. Journal of Business Research 170: 114358. [Google Scholar] [CrossRef]
  51. Serban-Oprescu, George-Laurentiu, Silvia Dedu, and Anca-Teodora Serban-Oprescu. 2019. An integrative approach to assess subjective well-being. A case study on Romanian university students. Sustainability 11: 1639. [Google Scholar] [CrossRef]
  52. Sun, Sun, Jiaying Chen, Magnus Johannesson, Paul Kind, and Kristina Burström. 2016. Subjective well-being and its association with subjective health status, age, sex, region, and socio-economic characteristics in a Chinese population study. Journal of Happiness Studies 17: 833–73. [Google Scholar] [CrossRef]
  53. Talwar, Shalini, Amandeep Dhir, Puneet Kaur, Nida Zafar, and Melfi Alrasheedy. 2019. Why do people share fake news? Associations between the dark side of social media use and fake news sharing behavior. Journal of Retailing and Consumer Services 51: 72–82. [Google Scholar] [CrossRef]
  54. Tang, Zhenya, Andrew S. Miller, Zhongyun Zhou, and Merrill Warkentin. 2021. Does government social media promote users’ information security behavior towards COVID-19 scams? Cultivation effects and protective motivations. Government Information Quarterly 38: 101572. [Google Scholar] [CrossRef]
  55. Verduyn, Philippe, Nino Gugushvili, Karlijn Massar, Karin Täht, and Ethan Kross. 2020. Social comparison on social networking sites. Current Opinion in Psychology 36: 32–37. [Google Scholar] [CrossRef] [PubMed]
  56. Wang, Jinxian, Chen Wang, Sihao Li, and Zhi Luo. 2021. Measurement of relative welfare poverty and its impact on happiness in China: Evidence from CGSS. China Economic Review 69: 101687. [Google Scholar] [CrossRef]
  57. Wu, Manli. 2022. What Drives People to Share Misinformation on Social Media during the COVID-19 Pandemic: A Stimulus-Organism-Response Perspective. International Journal of Environmental Research and Public Health 19: 11752. [Google Scholar] [CrossRef]
  58. Yu, Hongmei, Xiaofei Ye, Xingchen Yan, Tao Wang, Jun Chen, and Bin Ran. 2023. Searching for the Inflection Point of Travel Well-Being from the Views of Travel Characteristics Based on the Ordered Logistic Regression Model. Sustainability 15: 15673. [Google Scholar] [CrossRef]
  59. Yıldırım, Murat, and Gökmen Arslan. 2022. Exploring the associations between resilience, dispositional hope, preventive behaviours, subjective well-being, and psychological health among adults during early stage of COVID-19. Current Psychology 41: 5712–22. [Google Scholar] [CrossRef]
  60. Zhang, Jianwei, Wenfeng Zheng, Weijun Hua, and Mengmeng Fu. 2023. Making sense of the impact of COVID-19 event on college students’ online deviant behavior: Does stress-is-enhancing mindset matter? Current Psychology 43: 1–13. [Google Scholar] [CrossRef]
  61. Zorondo-Rodríguez, Francisco, Mar Grau-Satorras, Jenu Kalla, Katie Demps, Erik Gómez-Baggethun, Claude García, and Victoria Reyes-García. 2016. Contribution of natural and economic capital to subjective well-being: Empirical evidence from a small-scale society in kodagu (karnataka), india. Social Indicators Research 127: 919–37. [Google Scholar] [CrossRef]
  62. Zyphur, Michael J., Cavan V. Bonner, and Louis Tay. 2023. Structural equation modeling in organizational research: The state of our science and some proposals for its future. Annual Review of Organizational Psychology and Organizational Behavior 10: 495–517. [Google Scholar] [CrossRef]
Figure 1. Hypothesis research framework based on the LCM.
Figure 1. Hypothesis research framework based on the LCM.
Journalmedia 05 00089 g001
Figure 2. Optimized structural equation model diagram.
Figure 2. Optimized structural equation model diagram.
Journalmedia 05 00089 g002
Figure 3. Structural equation model path test results. Note: *** represents a significance level of 1%.
Figure 3. Structural equation model path test results. Note: *** represents a significance level of 1%.
Journalmedia 05 00089 g003
Table 1. Items and factor loadings for the measurement and structural models.
Table 1. Items and factor loadings for the measurement and structural models.
Study MeasuresMeasurement Items
Social Comparison (SC)
(Latif et al. 2021; Reer et al. 2019; Lee 2020)
When viewing what others post on social media, you tend to compare yourself.
When you use social media, you are always concerned about how others are handling things.
When you use social media, you care a lot about how well you do socially compared to others.
When you use social media, you compare your life situation with others.
Social Security (SS)
(Tang et al. 2021)
You’re concerned about the security of information on social media.
Through social media, you can be more quickly informed about the occurrence of breaking news and its progress.
You think the anonymity of social media can bring hidden danger and insecurity to society.
Information Stock (IS)
(Pang and Ruan 2023)
You often use social media to get the information you need.
The information posted on social media affects your work/study productivity.
You think there is a lot of information on social media.
You think the amount of information on social media can overload you/influence and change your position in the first place.
Perceived Timeliness of Information Release (PTIR)
(Chua and Banerjee 2013; Cuevas et al. 2021; Wu 2022)
You consider the timeliness of posting information on social media to be very important.
The timeliness of information posted on social media can have an impact on your emotions and plans.
You pay attention to messages on social media even when the time for them to be posted has passed.
You think it will increase your social satisfaction if you post messages that are quickly retweeted or commented on.
Individual Subjective Well-Being (SWB)
(Ahn and Shin 2013; Diener et al. 2015; Chang and Hsu 2016; Kaur et al. 2021)
You are satisfied with your social life on social media platforms.
You often overcome negative emotions by participating in social media activities.
Your online social life is your ideal life.
You often use social media platforms to find like-minded people to share your feelings.
Table 2. Respondents’ profile.
Table 2. Respondents’ profile.
Sociodemographic Profile
AgeUnder 18 years old
18–25 years old
26–40 years old
41–60 years old
60 years old and above
GenderMale
Female
Education levelPrimary School and below
Junior High School
High School/Secondary
Completed/working on a Bachelor’s Degree
Completed/pursuing a Master’s Degree
Completed/working on a Doctoral Degree
MarriageMarried
Unmarried
Health statusHealth
Subhealth
Unhealthy
Time spent using social media per day in the past weekLess than 1 h
1–3 h
3–5 h
5–7 h
7 h or more
Table 3. Basic characteristics of the sample.
Table 3. Basic characteristics of the sample.
CharacteristicsCategoriesNumber of PeopleProportion
GenderMale36351%
Female34549%
AgeBelow 1881%
18–2533247%
26–409814%
41–6024635%
60 and over243%
Education levelPrimary School and below41%
Junior High School112%
High School/Junior High School10815%
University40257%
Master and above18326%
MarriageMarried32646%
Unmarried38254%
Health statusHealth45865%
Subhealth24234%
Unhealthy81%
Time spent using social media per day in the past weekLess than 1 h14921%
1–3 h15422%
3–5 h9814%
5–7 h17625%
7 h or more13119%
Table 4. Reliability test of latent variables.
Table 4. Reliability test of latent variables.
DimensionNumber of Measurable VariablesCronbach’s Alpha
Social Comparison (SC)40.752
Social Security (SS)30.715
Information Stock (IS)40.710
Perceived Timeliness of Information Release (PTIR)40.761
Individual Subjective Well-Being (SWB)40.729
Scale as a Whole190.834
Table 5. Convergent validity and combined reliability results.
Table 5. Convergent validity and combined reliability results.
Path RelationshipsEstimateAVECR
SC4SC0.6590.43840.7563
SC3SC0.747
SC2SC0.613
SC1SC0.621
SS3SS0.4380.41020.7123
SS2SS0.540
SS1SS0.650
IS4IS0.5580.41310.7164
IS3IS0.509
IS2IS0.513
IS1IS0.544
PTIR4PTIR0.4900.42350.7201
PTIR3PTIR0.444
PTIR2PTIR0.663
PTIR1PTIR0.563
SWB4SWB0.6820.43010.7312
SWB3SWB0.591
SWB2SWB0.651
SWB1SWB0.493
Table 6. Differential validity test results.
Table 6. Differential validity test results.
VariablesSCSSISPTIRSWB
SC0.4384
SS0.11700.4102
IS0.18000.16800.4131
PTIR0.14200.13500.22800.4235
SWB0.23200.08900.17500.18000.4301
AVE square root0.6621180.6404690.6427290.6507690.65582
Table 7. Structural equation model path testing.
Table 7. Structural equation model path testing.
Path RelationEstimateS.E.C.R.P
SCPTIR0.9910.11010.293***
SSPTIR0.7470.1059.705***
ISPTIR0.5130.0788.182***
SWBSC−5.23213.393−0.2930.77
SWBSS0.3740.0713.329***
SWBIS0.2020.0433.239***
SWBPTIR5.45615.3470.3050.76
Note: ***, **, * represent a significance level of 1%, 5%, and 10%, respectively.
Table 8. Results of the intermediation effect test.
Table 8. Results of the intermediation effect test.
Path RelationEffect TypeEstimateP
H1*H2Indirect −5.6240.521
H3*H4Indirect0.203***
H5*H6Indirect0.091***
H7Direct5.9050.505
Total Effect0.565***
Note: ***, **, * represent a significance level of 1%, 5%, and 10%, respectively.
Table 9. Results of the heterogeneity test.
Table 9. Results of the heterogeneity test.
Group A Structural Equation
Path RelationEstimateS.E.C.R.P
SCPTIR0.9860.1597.316***
SSPTIR0.7390.1446.437***
ISPTIR0.5010.1125.399***
SWBSCc4.0559.266−0.3160.752
SWBSS0.4370.1152.579***
SWBIS0.2040.0662.192**
SWBPTIR4.21810.9350.3290.742
Group B Structural Equation
Path RelationEstimateS.E.C.R.P
SCPTIR0.9950.1537.297***
SSPTIR0.750.1527.247***
ISPTIR0.5210.1086.131***
SWBSC−6.85440.255−0.1310.896
SWBSS0.3170.0882.127**
SWBIS0.2030.0572.412**
SWBPTIR7.13245.0720.1370.891
Note: ***, ** represent a significance level of 1% and 5%.
Disclaimer/Publisher’s Note: The statements, opinions and data contained in all publications are solely those of the individual author(s) and contributor(s) and not of MDPI and/or the editor(s). MDPI and/or the editor(s) disclaim responsibility for any injury to people or property resulting from any ideas, methods, instructions or products referred to in the content.

Share and Cite

MDPI and ACS Style

Ma, Y.; Zhou, S. The Impact of Perceived Timeliness of Information Release on Subjective Well-Being: A Heterogeneity Perspective. Journal. Media 2024, 5, 1413-1432. https://doi.org/10.3390/journalmedia5040089

AMA Style

Ma Y, Zhou S. The Impact of Perceived Timeliness of Information Release on Subjective Well-Being: A Heterogeneity Perspective. Journalism and Media. 2024; 5(4):1413-1432. https://doi.org/10.3390/journalmedia5040089

Chicago/Turabian Style

Ma, Yiyun, and Shiwei Zhou. 2024. "The Impact of Perceived Timeliness of Information Release on Subjective Well-Being: A Heterogeneity Perspective" Journalism and Media 5, no. 4: 1413-1432. https://doi.org/10.3390/journalmedia5040089

APA Style

Ma, Y., & Zhou, S. (2024). The Impact of Perceived Timeliness of Information Release on Subjective Well-Being: A Heterogeneity Perspective. Journalism and Media, 5(4), 1413-1432. https://doi.org/10.3390/journalmedia5040089

Article Metrics

Back to TopTop