Evaluation of Environmentally Important Elements from Glacial Ice-Water and Associated Glacial Sediments
Abstract
1. Introduction
2. Materials and Methods
2.1. Study Sites
2.2. Sample Collection
2.3. Sample Preparation and Atomic Absorption Spectrophotometry
2.4. Microbiological Analyses
2.5. Molecular Identification of Glacial Bacteria and Phylogenetic Analysis
2.6. Statistical Analyses
3. Results
3.1. Elemental Analyses of Glacial Samples
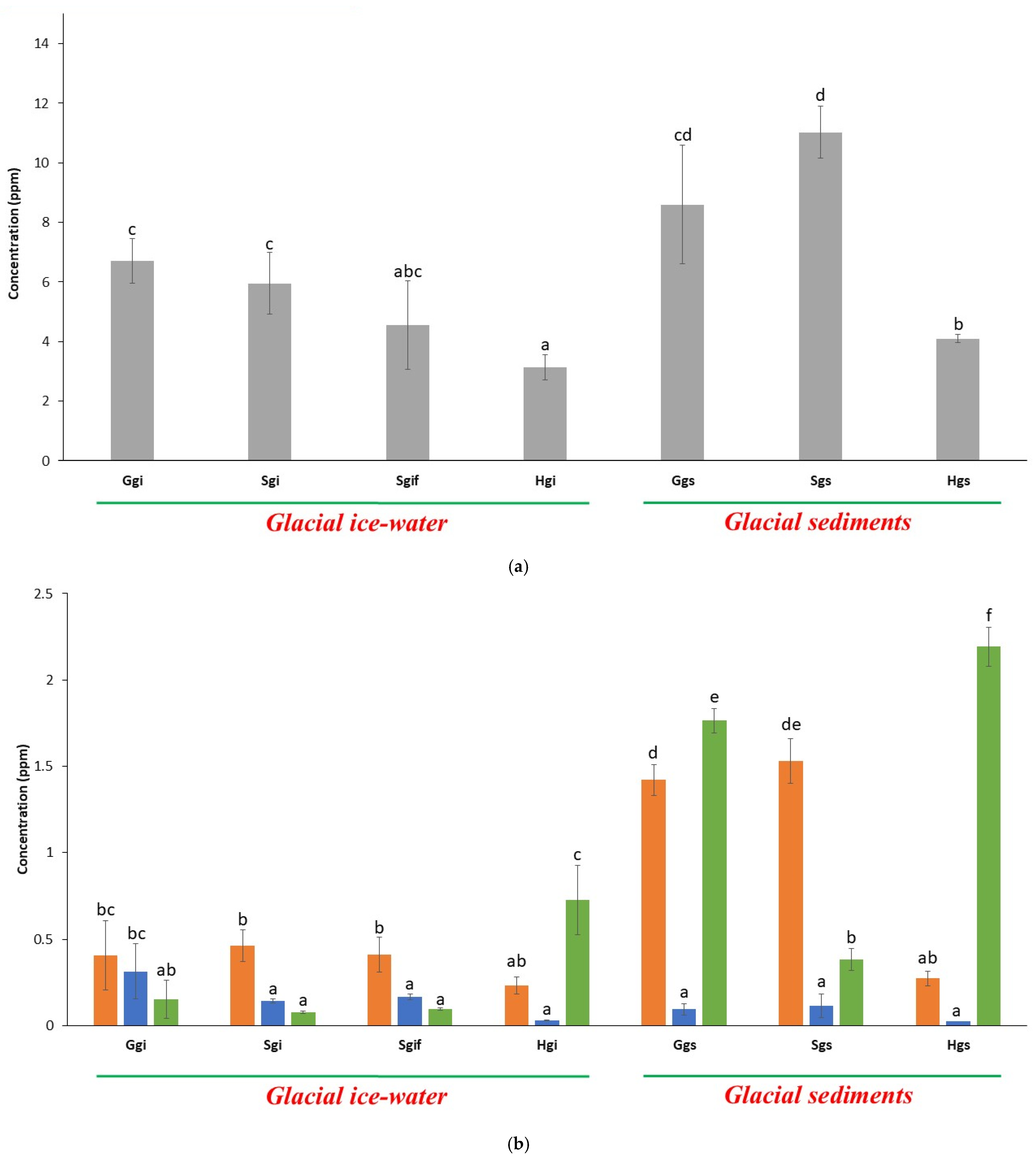
3.1.1. Analysis of Nutritional Elements Present in Glacial Samples
3.1.2. Analysis of Elements as Co-Factors, Present in Glacial Samples
3.1.3. Analysis of Potentially Toxic Heavy Metals Present in Glacial Samples
3.1.4. WHO and USEPA Comparison of Elemental Concentrations
3.2. Microbial Analyses of the Studied Glacial Samples
3.3. Identification and Phylogenetic Analysis of Bacteria Associated with Glacial Samples
4. Discussion
4.1. Elemental Composition and Its Environmental Significance
4.2. Microbial Diversity and Adaptation to Glacial Environments
4.3. Phylogenetic Insights and Functional Implications
4.4. Study Limitations and Future Directions
Supplementary Materials
Author Contributions
Funding
Data Availability Statement
Acknowledgments
Conflicts of Interest
References
- Lehmann-Konera, S.; Ruman, M.; Kozioł, K.; Gajek, G.; Polkowska, Ż. Glaciers as an Important Element of the World Glacier Monitoring Implemented in Svalbard. In Glacier Evolution in a Changing World; Godone, D., Ed.; Intech Open Limited: London, UK, 2017. [Google Scholar] [CrossRef]
- Jones, D.B.; Harrison, S.; Anderson, K.; Betts, R.A. Mountain rock glaciers contain globally significant water stores. Sci. Rep. 2018, 8, 2834. [Google Scholar] [CrossRef] [PubMed]
- Bolch, T.; Shea, J.M.; Liu, S.; Azam, F.M.; Gao, Y.; Gruber, S.; Zhang, Y. Status and change of the cryosphere in the extended Hindu Kush Himalaya region. In The Hindu Kush Himalaya Assessment: Mountains, Climate Change, Sustainability and People; Springer: Cham, Switzerland, 2019; pp. 209–255. [Google Scholar]
- Rasul, G.; Molden, D. The global social and economic consequences of mountain cryospheric change. Front. Environ. Sci. 2019, 7, 91. [Google Scholar] [CrossRef]
- Milner, A.M.; Khamis, K.; Battin, T.J.; Brittain, J.E.; Barrand, N.E.; Füreder, L.; Brown, L.E. Glacier shrinkage driving global changes in downstream systems. Proc. Natl. Acad. Sci. USA 2017, 114, 9770–9778. [Google Scholar] [CrossRef]
- Pandit, A.; Ramsankaran, R.A.A.J. Identification of potential sites for future lake formation and expansion of existing lakes in glaciers of Chandra Basin, Western Himalayas, India. Front. Earth Sci. 2020, 8, 500116. [Google Scholar] [CrossRef]
- Garcia-Lopez, E.; Moreno, A.M.; Cid, C. Microbial community structure and metabolic networks in Polar Glaciers. In Metagenomics: Basics, Methods and Applications; Intech Open Limited: London, UK, 2019; pp. 501–505. [Google Scholar]
- Hotaling, S.; Hood, E.; Hamilton, T.L. Microbial ecology of mountain glacier ecosystems: Biodiversity, ecological connections and implications of a warming climate. Environ. Microbiol. 2017, 19, 2935–2948. [Google Scholar] [CrossRef]
- Cameron, K.A.; Müller, O.; Stibal, M.; Edwards, A.; Jacobsen, C.S. Glacial microbiota are hydrologically connected and temporally variable. Environ. Microbiol. 2020, 22, 3172–3187. [Google Scholar] [CrossRef] [PubMed]
- Chen, Y.; Liu, K.; Liu, Y.; Vick-Majors, T.J.; Wang, F.; Ji, M. Temporal variation of bacterial community and nutrients in Tibetan glacier snowpack. Cryosphere 2022, 16, 1265–1280. [Google Scholar] [CrossRef]
- Ren, Z.; Gao, H.; Luo, W.; Elser, J.J. Bacterial communities in surface and basal ice of a glacier terminus in the headwaters of Yangtze River on the Qinghai–Tibet Plateau. Environ. Microbiome 2022, 17, 12. [Google Scholar] [CrossRef]
- Shen, L.; Liu, Y.; Wang, N.; Adhikari, N.P. Genomic insights of Dyadobacter tibetensis Y620-1 isolated from ice core reveal genomic features for succession in glacier environment. Microorganisms 2019, 7, 211. [Google Scholar] [CrossRef]
- Kobayashi, K.; Takeuchi, N.; Kagami, M. High prevalence of parasitic chytrids infection of glacier algae in cryoconite holes in Alaska. Sci. Rep. 2023, 13, 3973. [Google Scholar] [CrossRef]
- Fiołka, M.J.; Takeuchi, N.; Sofińska-Chmiel, W.; Mieszawska, S.; Treska, I. Morphological and physicochemical diversity of snow algae from Alaska. Sci. Rep. 2020, 10, 19167. [Google Scholar] [CrossRef]
- Escudero, C.; Amils, R. Dark biosphere: Just at the very tip of the iceberg. Environ. Microbiol. 2022, 25, 147–149. [Google Scholar] [CrossRef] [PubMed]
- Reeksting, B.J.; Hoffmann, T.D.; Tan, L.; Paine, K.; Gebhard, S. In-depth profiling of calcite precipitation by environmental bacteria reveals fundamental mechanistic differences with relevance to application. Appl. Environ. Microbiol. 2020, 86, e02739-19. [Google Scholar] [CrossRef] [PubMed]
- Varliero, G.; Lebre, P.H.; Frey, B.; Fountain, A.G.; Anesio, A.M.; Cowan, D.A. Glacial water: A dynamic microbial medium. Microorganisms 2023, 11, 1153. [Google Scholar] [CrossRef] [PubMed]
- Mania, I.; Gorra, R.; Colombo, N.; Freppaz, M.; Martin, M.; Anesio, A.M. Prokaryotic diversity and distribution in different habitats of an alpine rock glacier-pond system. Microb. Ecol. 2019, 78, 70–84. [Google Scholar] [CrossRef]
- Thaysen, E.M.; McMahon, S.; Strobel, G.J.; Butler, I.B.; Ngwenya, B.T.; Heinemann, N.; Edlmann, K. Estimating microbial growth and hydrogen consumption in hydrogen storage in porous media. Renew. Sustain. Energy Rev. 2021, 151, 111481. [Google Scholar] [CrossRef]
- Sanyal, A.; Antony, R.; Samui, G.; Thamban, M. Microbial communities and their potential for degradation of dissolved organic carbon in cryoconite hole environments of Himalaya and Antarctica. Microbiol. Res. 2018, 208, 32–42. [Google Scholar] [CrossRef]
- Gong, F.; Wang, Y.; Ueda, T.; Zhang, D. Modeling and mesoscale simulation of ice-strengthened mechanical properties of concrete at low temperatures. J. Eng. Mech. 2017, 143, 04017022. [Google Scholar] [CrossRef]
- Pugnaire, F.I.; Morillo, J.A.; Peñuelas, J.; Reich, P.B.; Bardgett, R.D.; Gaxiola, A.; Van Der Putten, W.H. Climate change effects on plant-soil feedbacks and consequences for biodiversity and functioning of terrestrial ecosystems. Sci. Adv. 2019, 5, eaaz1834. [Google Scholar] [CrossRef]
- IPCC. Sixth Assessment Report—Climate Change 2022: Impacts, Adaptation and Vulnerability; Intergovernmental Panel on Climate Change: Geneva, Switzerland, 2022. [Google Scholar]
- Kannojia, P.; Sharma, P.K.; Sharma, K. Climate change and soil dynamics: Effects on soil microbes and fertility of soil. In Climate Change and Agricultural Ecosystems; Woodhead Publishing: Cambridge, UK, 2019; pp. 43–64. [Google Scholar]
- Bradley, J.A.; Singarayer, J.S.; Anesio, A.M. Microbial community dynamics in the forefield of glaciers. Proc. R. Soc. B 2014, 281, 20140882. [Google Scholar] [CrossRef]
- Wietrzyk-Pełka, P.; Rola, K.; Szymański, W.; Węgrzyn, M.H. Organic carbon accumulation in the glacier forelands with regard to variability of environmental conditions in different ecogenesis stages of High Arctic ecosystems. Sci. Total Environ. 2020, 717, 135151. [Google Scholar] [CrossRef] [PubMed]
- Ramaswamy, V.; Muraleedharan, P.M.; Babu, C.P. Mid-troposphere transport of Middle-East dust over the Arabian Sea and its effect on rainwater composition and sensitive ecosystems over India. Sci. Rep. 2017, 7, 13676. [Google Scholar] [CrossRef]
- Neelavannan, K.; Sen, I.S.; Lone, A.M.; Gopinath, K. Microplastics in the high-altitude Himalayas: Assessment of microplastic contamination in freshwater lake sediments, Northwest Himalaya (India). Chemosphere 2022, 290, 133354. [Google Scholar] [CrossRef] [PubMed]
- Zeb, B.; Alam, K.; Sorooshian, A.; Chishtie, F.; Ahmad, I.; Bibi, H. Temporal characteristics of aerosol optical properties over the glacier region of northern Pakistan. J. Atmos. Sol.-Terr. Phys. 2019, 186, 35–46. [Google Scholar] [CrossRef]
- Brighenti, S.; Tolotti, M.; Bruno, M.C.; Wharton, G.; Pusch, M.T.; Bertoldi, W. Ecosystem shifts in Alpine streams under glacier retreat and rock glacier thaw: A review. Sci. Total Environ. 2019, 675, 542–559. [Google Scholar] [CrossRef] [PubMed]
- Singh, P.; Sharma, M. Cultural and morphological characterization of antagonistic Trichoderma isolates. Int. J. Curr. Microbiol. Appl. Sci. 2020, 9, 1041–1048. [Google Scholar] [CrossRef]
- Ali, P.; Chen, F.; Hassan, F.; Sosa, A.; Khan, S.; Badshah, M.; Shah, A.A. Bacterial community characterization of Batura Glacier in the Karakoram Range of Pakistan. Int. Microbiol. 2021, 24, 183–196. [Google Scholar] [CrossRef]
- Rehman, R.; Kazmi, S.F.; Irshad, M.; Bilal, M.; Hafeez, F.; Ahmed, J.; Nazir, R. Microalgae-Assisted Treatment of Wastewater Originating from Varied Sources, Particularly in the Context of Heavy Metals and Antibiotic-Resistant Bacteria. Water 2024, 16, 3305. [Google Scholar] [CrossRef]
- USEPA. National Primary Drinking Water Regulations—Arsenic and Clarifications to Compliance and New Source Monitoring Rule; EPA 816-F-01-004; United States Environmental Protection Agency: Washington, DC, USA, 2001. Available online: https://www.epa.gov/ground-water-and-drinking-water/national-primary-drinking-water-regulations (accessed on 13 June 2025).
- World Health Organization. Guidelines for Drinking-Water Quality: Fourth Edition Incorporating the First Addendum; WHO Library Cataloguing-in-Publication Data; World Health Organization: Geneva, Switzerland, 2017; ISBN 978-92-4-154995-0. [Google Scholar]
- Kazmi, A.H. Preliminary report on Geol. and Mineral occurrences in lower Hunza valley. Geol. Surv. Pak. 1951, 534, 13. [Google Scholar]
- Khan, M.H.; Xiao, Y.; Yang, H.; Wang, L.; Zhang, Y.; Hu, W.; Wang, J.; Liu, G.; Liu, W. Identification of hydrochemical fingerprints, quality and formation dynamics of groundwater in western high Himalayas. Environ. Monit. Assess. 2024, 196, 305. [Google Scholar] [CrossRef]
- Kam, E.; Yümün, Z. Geographical distribution of toxic elements in Northeast Marmara Sea sediments and analysis of toxic element pollution by various pollution index methods (Istanbul/Turkey). Appl. Ecol. Environ. Res. 2021, 19, 1869–1893. [Google Scholar] [CrossRef]
- Abakumov, E.; Tembotov, R.; Polyakov, V.; Ivanov, M.; Mavlyudov, B.; Kushnov, I.; Nizamutdinov, T.; Yaneva, R.; Zhiyanski, M. Concentration of Trace Elements in Cryoconites of Mountain and Polar Regions of the World. Geosciences 2023, 13, 188. [Google Scholar] [CrossRef]
- Hussain, Z.; Tao, C.; Li, C.F.; Liao, S.; Alam, M.; Farhan, M.; Zhang, H.; Hussain, A. Mineralogy, Fluid Inclusions, and Isotopic Study of the Kargah Cu-Pb Polymetallic Vein-Type Deposit, Kohistan Island Arc, Northern Pakistan: Implication for Ore Genesis. Minerals 2021, 11, 1266. [Google Scholar] [CrossRef]
- Ilahi, N.; Bahadur, A.; Wang, W.; Degen, A.A.; Kang, S.; Sajjad, W.; Shang, Z. Diversity, distribution, and function of bacteria in the supraglacial region hit by glacial lake outburst flood in northern Pakistan. Environ. Sci. Eur. 2022, 34, 73. [Google Scholar] [CrossRef]
- Suska-Malawska, M.; Vyrakhamanova, A.; Ibraeva, M.; Poshanov, M.; Sulwiński, M.; Toderich, K.; Mętrak, M. Spatial and In-Depth Distribution of Soil Salinity and Heavy Metals (Pb, Zn, Cd, Ni, Cu) in Arable Irrigated Soils in Southern Kazakhstan. Agronomy 2022, 12, 1207. [Google Scholar] [CrossRef]
- Kowalska, J.B.; Nicia, P.; Gąsiorek, M.; Zadrożny, P.; Węgrzyn, M.H.; Waroszewski, J. Are natural or anthropogenic factors influencing potentially toxic elements’ enrichment in soils in proglacial zones? An example from Kaffiøyra (Oscar II Land, Spitsbergen). Int. J. Environ. Res. Public Health 2022, 19, 13703. [Google Scholar] [CrossRef]
- Ahmad, S.; Ansari, Z.; Mulhim, M. Sedimentological and mineralogical characteristics of active glacial sediments in the Indian Himalaya regions. Geol. Ecol. Landsc. 2022, 6, 265–276. [Google Scholar] [CrossRef]
- Khan, M.; Ellahi, A.; Niaz, R.; Ghoneim, M.E.; Tag-eldin, E.; Rashid, A. Water quality assessment of alpine glacial blue water lakes and glacial-fed rivers. Geomat. Nat. Hazards Risk 2022, 13, 2597–2617. [Google Scholar] [CrossRef]
- Li, H.; Taj, M.K.; Ji, X.; Zhang, Q.; Lin, L.; Zhou, Z.; Wei, Y. Bacterial communities in soil samples from the Mingyong Glacier of southwestern China. Pak. J. Pharm. Sci. 2017, 30, 689–696. [Google Scholar]
- Muhammad, S.; Ahmad, K. Heavy metal contamination in water and fish of the Hunza River and its tributaries in Gilgit–Baltistan: Evaluation of potential risks and provenance. Environ. Technol. Innov. 2020, 20, 101159. [Google Scholar] [CrossRef]
- Malkani, M.S.; Mahmood, Z. Mineral Resources of Pakistan: A Review. Dir. Gen. Geol. Surv. Pak. 2016, 128, 2–25. [Google Scholar]
- Yu, Z.; Wu, G.; Li, F.; Chen, M.; Tran, T.V.; Liu, X.; Gao, S. Glaciation enhanced chemical weathering in a cold glacial catchment, western Nyaingêntanglha Mountains, central Tibetan Plateau. J. Hydrol. 2021, 597, 126197. [Google Scholar] [CrossRef]
- Hodson, A.; Porter, P.; Lowe, A.; Mumford, P. Chemical denudation and silicate weathering in Himalayan glacier basins: Batura Glacier, Pakistan. J. Hydrol. 2002, 262, 193–208. [Google Scholar] [CrossRef]
- Amin, A.; Khan, I.U.; Amin, M.; Fatima, M.; Sajjad, W.; Shah, T.A.; Dawoud, T.M.; Wondmie, G.F. Resurrected microorganisms: A plethora of resting bacteria underway for human interaction. AMB Express 2024, 14, 106. [Google Scholar] [CrossRef] [PubMed]
- Hassan, N.; Rafiq, M.; Haleem, A.; Iqbal, N.; Khan, M.; Shah, A.A.; Hasan, F. Glaciochemistry and Pigment Producing Ability of Bacteria from the Roof of the World, the Glaciers of Karakoram, Pakistan. Geomicrobiol. J. 2023, 40, 143–151. [Google Scholar] [CrossRef]
- Liu, W.; Xu, Z.; Jiang, H.; Zhou, X.; Zhao, T.; Li, Y. Lithological and glacial controls on sulfide weathering and the associated CO2 budgets in the Tibetan Plateau: New constraints from small catchments. Geochim. Cosmochim. Acta 2023, 343, 341–352. [Google Scholar] [CrossRef]
- Paudyal, R.; Kang, S.; Huang, J.; Tripathee, L.; Zhang, Q.; Li, X.; Sillanpää, M. Insights into mercury deposition and spatiotemporal variation in the glacier and melt water from the central Tibetan Plateau. Sci. Total Environ. 2017, 599, 2046–2053. [Google Scholar] [CrossRef]
- Alengebawy, A.; Abdelkhalek, S.T.; Qureshi, S.R.; Wang, M.Q. Heavy metals and pesticides toxicity in agricultural soil and plants: Ecological risks and human health implications. Toxics 2021, 9, 42. [Google Scholar] [CrossRef]
- Tang, W.; Zhang, W.; Zhao, Y.; Zhang, H.; Shan, B. Basin-scale comprehensive assessment of cadmium pollution, risk, and toxicity in riverine sediments of the Haihe Basin in north China. Ecol. Indic. 2017, 81, 295–301. [Google Scholar] [CrossRef]
- Rafiq, M.; Hayat, M.; Zada, S.; Sajjad, W.; Hassan, N.; Hasan, F. Geochemistry and bacterial recovery from Hindu Kush Range glacier and their potential for metal resistance and antibiotic production. Geomicrobiol. J. 2019, 36, 326–338. [Google Scholar] [CrossRef]
- Sajjad, W.; Ilahi, N.; Haq, A.; Shang, Z.; Nabi, G.; Rafiq, M.; Bahadur, A.; Banerjee, A.; Kang, S. Bacteria populating freshly appeared supraglacial lake possess metals and antibiotic-resistant genes. Environ. Res. 2024, 247, 118288. [Google Scholar] [CrossRef] [PubMed]
- Aslam, S.N.; Huber, C.; Asimakopoulos, A.G.; Steinnes, E.; Mikkelsen, Ø. Trace elements and polychlorinated biphenyls (PCBs) in terrestrial compartments of Svalbard, Norwegian Arctic. Sci. Total Environ. 2019, 685, 1127–1138. [Google Scholar] [CrossRef] [PubMed]
- Spolaor, A.; Moroni, B.; Luks, B.; Nawrot, A.; Roman, M.; Larose, C.; Cappelletti, D. Investigation on the sources and impact of trace elements in the annual snowpack and the Firn in the Hansbreen (Southwest Spitsbergen). Front. Earth Sci. 2021, 8, 536036. [Google Scholar] [CrossRef]
- Dhakar, K.; Pandey, A. Microbial Ecology from the Himalayan Cryosphere Perspective. Microorganisms 2020, 8, 257. [Google Scholar] [CrossRef]
- Margesin, R.; Collins, T. Microbial ecology of the cryosphere (glacial and permafrost habitats): Current knowledge. Appl. Microbiol. Biotechnol. 2019, 103, 2537–2549. [Google Scholar] [CrossRef] [PubMed]
- Hotaling, S.; Lutz, S.; Dial, R.J.; Anesio, A.M.; Benning, L.G.; Fountain, A.G.; Hamilton, T.L. Biological albedo reduction on ice sheets, glaciers, and snowfields. Earth-Sci. Rev. 2021, 220, 103728. [Google Scholar] [CrossRef]
- Giraldo, J.P.S. Application of the Geochemical Fractionation of Metals in Sediments for Environmental Analysis of a Water Reservoir. Case Riogrande Ii (Antioquia-Colombia). In Fractionation; IntechOpen: London, UK, 2018. [Google Scholar]
- Pawlak, F.; Koziol, K.; Polkowska, Z. Chemical hazard in glacial melt? The glacial system as a secondary source of POPs (in the Northern Hemisphere). A systematic review. Sci. Total Environ. 2021, 778, 145244. [Google Scholar] [CrossRef]
- Gul, J.; Muhammad, S.; Liu, S.Y.; Ullah, S.; Ahmad, S.; Hayat, H.; Tahir, A.A. Spatio-temporal changes in the six major glaciers of the Chitral River basin (Hindukush Region of Pakistan) between 2001 and 2018. J. Mt. Sci. 2020, 17, 572–587. [Google Scholar] [CrossRef]






Disclaimer/Publisher’s Note: The statements, opinions and data contained in all publications are solely those of the individual author(s) and contributor(s) and not of MDPI and/or the editor(s). MDPI and/or the editor(s) disclaim responsibility for any injury to people or property resulting from any ideas, methods, instructions or products referred to in the content. |
© 2025 by the authors. Licensee MDPI, Basel, Switzerland. This article is an open access article distributed under the terms and conditions of the Creative Commons Attribution (CC BY) license (https://creativecommons.org/licenses/by/4.0/).
Share and Cite
Jadoon, K.; Kazmi, S.F.; Arshad, S.; Sajid, N.u.H.; Tahir, A.A.; Doğan, Ö.; Agbankpe, A.J.; Nazir, R. Evaluation of Environmentally Important Elements from Glacial Ice-Water and Associated Glacial Sediments. Earth 2025, 6, 71. https://doi.org/10.3390/earth6030071
Jadoon K, Kazmi SF, Arshad S, Sajid NuH, Tahir AA, Doğan Ö, Agbankpe AJ, Nazir R. Evaluation of Environmentally Important Elements from Glacial Ice-Water and Associated Glacial Sediments. Earth. 2025; 6(3):71. https://doi.org/10.3390/earth6030071
Chicago/Turabian StyleJadoon, Kashmala, Syeda Fazoon Kazmi, Sidra Arshad, Noor ul Huda Sajid, Adnan Ahmad Tahir, Özgür Doğan, Alidehou Jerrold Agbankpe, and Rashid Nazir. 2025. "Evaluation of Environmentally Important Elements from Glacial Ice-Water and Associated Glacial Sediments" Earth 6, no. 3: 71. https://doi.org/10.3390/earth6030071
APA StyleJadoon, K., Kazmi, S. F., Arshad, S., Sajid, N. u. H., Tahir, A. A., Doğan, Ö., Agbankpe, A. J., & Nazir, R. (2025). Evaluation of Environmentally Important Elements from Glacial Ice-Water and Associated Glacial Sediments. Earth, 6(3), 71. https://doi.org/10.3390/earth6030071

