Spatial and Temporal Dynamics of Key Water Quality Parameters in a Thermal Stratified Lake Ecosystem: The Case Study of Lake Mead
Abstract
1. Introduction
- How do TDS, TSS, temperature, and DO vary across different months, seasons, and years?
- How do reservoir inflow, outflow, storage, and elevation impact the changes in the water quality dynamics of Lake Mead?
- How do the TDS, EC, and temperature levels differ spatially in Lake Mead?
- How do lake stratification and mixing impact the distribution of key WQPs in Lake Mead?
2. Materials and Methods
2.1. Study Area
2.2. Data Collection and Preprocessing
2.3. Spatiotemporal Variability of WQPs
2.4. Impact of the Environmental and Hydrological Parameters on the WQPs
2.5. Impact of Stratification and Lake Mixing on the WQPs
3. Results and Discussion
3.1. Spatiotemporal Dynamics of WQPs
3.2. Station-Specific Analysis
3.3. Detection of Significance Levels in the Trend of WQPs
3.3.1. ANOVA Test
3.3.2. Kruskal–Wallis Test
3.4. Impact of the Hydrological Parameters on the WQPs
3.5. Impact of Stratification and Lake Mixing on the WQP
4. Conclusions
Author Contributions
Funding
Data Availability Statement
Acknowledgments
Conflicts of Interest
Appendix A. TDS Variations for the Stations Sampled from 2016–2021: All Values Are in mg/L
| LWLVB1.2 | LWLVB1.85 | LWLVB2.7 | LWLVB3.5 | |||||||||||||
|---|---|---|---|---|---|---|---|---|---|---|---|---|---|---|---|---|
| Year | Min | Mean | Max | Std | Min | Mean | Max | Std | Min | Mean | Max | Std | Min | Mean | Max | Std |
| 1 | 568.0 | 637.6 | 854.0 | 71.2 | 580.0 | 616.7 | 657.0 | 29.1 | 581.0 | 615.3 | 681.0 | 26.0 | 552.0 | 609.1 | 686.0 | 32.1 |
| 2 | 576.0 | 643.6 | 783.0 | 50.9 | 568.0 | 622.3 | 708.0 | 39.0 | 552.0 | 600.6 | 685.0 | 34.0 | 541.0 | 594.3 | 657.0 | 27.0 |
| 3 | 579.0 | 709.7 | 995.0 | 97.1 | 565.0 | 652.5 | 836.0 | 59.2 | 551.0 | 611.8 | 679.0 | 33.7 | 535.0 | 597.0 | 699.0 | 34.1 |
| 4 | 578.0 | 740.7 | 963.0 | 105.7 | 561.0 | 658.9 | 821.0 | 61.8 | 459.0 | 619.0 | 727.0 | 56.4 | 538.0 | 597.9 | 699.0 | 31.7 |
| 5 | 587.0 | 746.6 | 1030.0 | 126.5 | 559.0 | 681.2 | 865.0 | 77.9 | 554.0 | 627.2 | 803.0 | 55.8 | 546.0 | 604.4 | 715.0 | 37.6 |
| 6 | 555.0 | 748.9 | 1010.0 | 131.0 | 552.0 | 698.2 | 957.0 | 97.0 | 533.0 | 634.9 | 766.0 | 60.0 | 493.0 | 609.8 | 733.0 | 50.6 |
| 7 | 593.0 | 752.7 | 1030.0 | 113.4 | 560.0 | 703.6 | 933.0 | 87.4 | 556.0 | 654.3 | 748.0 | 58.5 | 550.0 | 621.5 | 697.0 | 42.1 |
| 8 | 579.0 | 730.7 | 996.0 | 103.6 | 565.0 | 695.3 | 921.0 | 77.7 | 548.0 | 647.3 | 771.0 | 60.0 | 534.0 | 626.0 | 784.0 | 53.5 |
| 9 | 575.0 | 701.5 | 931.0 | 96.2 | 546.0 | 680.3 | 894.0 | 73.8 | 547.0 | 625.8 | 746.0 | 52.1 | 535.0 | 609.8 | 781.0 | 49.1 |
| 10 | 574.0 | 681.6 | 936.0 | 71.7 | 523.0 | 642.6 | 793.0 | 49.8 | 550.0 | 620.7 | 751.0 | 41.9 | 551.0 | 592.8 | 647.0 | 25.4 |
| 11 | 606.0 | 679.6 | 851.0 | 80.9 | 580.0 | 621.8 | 731.0 | 40.6 | 563.0 | 608.7 | 698.0 | 38.7 | 542.0 | 593.4 | 649.0 | 30.3 |
| 12 | 593.0 | 622.9 | 716.0 | 35.9 | 584.0 | 608.7 | 628.0 | 13.9 | 573.0 | 603.3 | 644.0 | 19.2 | 530.0 | 588.8 | 640.0 | 28.9 |
| IPS3 | BB3 | CR350.0SE0.5 | CR346.4 | CR342.5 | ||||||||||||||||
|---|---|---|---|---|---|---|---|---|---|---|---|---|---|---|---|---|---|---|---|---|
| Year | Min | Mean | Max | Std | Min | Mean | Max | Std | Min | Mean | Max | Std | Min | Mean | Max | Std | Min | Mean | Max | Std |
| 1 | 540.0 | 582.9 | 624.0 | 24.7 | 557.0 | 594.2 | 633.0 | 23.9 | 551.0 | 592.6 | 629.0 | 19.9 | 527.0 | 589.7 | 632.0 | 27.6 | 535.0 | 540.0 | 582.9 | 624.0 |
| 2 | 536.0 | 572.8 | 598.0 | 19.2 | 546.0 | 595.2 | 652.0 | 35.5 | 550.0 | 589.5 | 644.0 | 35.0 | 543.0 | 594.5 | 648.0 | 33.5 | 533.0 | 536.0 | 572.8 | 598.0 |
| 3 | 521.0 | 578.9 | 630.0 | 29.7 | 541.0 | 587.0 | 653.0 | 33.3 | 540.0 | 579.8 | 626.0 | 27.3 | 549.0 | 584.3 | 625.0 | 24.9 | 529.0 | 521.0 | 578.9 | 630.0 |
| 4 | 546.0 | 586.0 | 616.0 | 20.5 | 550.0 | 594.3 | 645.0 | 30.8 | 539.0 | 579.7 | 652.0 | 33.7 | 397.0 | 569.5 | 655.0 | 78.6 | 524.0 | 546.0 | 586.0 | 616.0 |
| 5 | 547.0 | 586.8 | 611.0 | 19.8 | 553.0 | 611.8 | 789.0 | 49.1 | 542.0 | 585.9 | 629.0 | 23.2 | 525.0 | 594.1 | 641.0 | 30.4 | 532.0 | 547.0 | 586.8 | 611.0 |
| 6 | 530.0 | 583.9 | 629.0 | 27.4 | 554.0 | 609.1 | 677.0 | 37.0 | 548.0 | 588.3 | 652.0 | 31.6 | 528.0 | 590.7 | 645.0 | 35.2 | 526.0 | 530.0 | 583.9 | 629.0 |
| 7 | 541.0 | 588.6 | 661.0 | 30.2 | 564.0 | 609.3 | 686.0 | 32.8 | 545.0 | 596.9 | 700.0 | 39.1 | 552.0 | 602.6 | 667.0 | 32.6 | 552.0 | 541.0 | 588.6 | 661.0 |
| 8 | 545.0 | 589.8 | 632.0 | 26.5 | 536.0 | 612.4 | 680.0 | 37.1 | 538.0 | 592.9 | 658.0 | 32.1 | 542.0 | 597.9 | 661.0 | 32.9 | 527.0 | 545.0 | 589.8 | 632.0 |
| 9 | 528.0 | 581.4 | 629.0 | 26.9 | 542.0 | 597.0 | 657.0 | 30.9 | 539.0 | 588.1 | 665.0 | 31.0 | 552.0 | 592.7 | 630.0 | 22.5 | 546.0 | 528.0 | 581.4 | 629.0 |
| 10 | 542.0 | 575.3 | 598.0 | 17.8 | 556.0 | 583.0 | 625.0 | 21.1 | 549.0 | 576.9 | 599.0 | 15.7 | 546.0 | 582.9 | 633.0 | 25.6 | 527.0 | 542.0 | 575.3 | 598.0 |
| 11 | 545.0 | 573.7 | 599.0 | 18.4 | 559.0 | 588.2 | 632.0 | 21.8 | 548.0 | 575.1 | 617.0 | 18.4 | 549.0 | 578.9 | 631.0 | 21.0 | 546.0 | 545.0 | 573.7 | 599.0 |
| 12 | 543.0 | 575.5 | 602.0 | 16.4 | 552.0 | 593.2 | 638.0 | 22.0 | 532.0 | 568.7 | 620.0 | 23.4 | 549.0 | 581.3 | 619.0 | 20.8 | 552.0 | 543.0 | 575.5 | 602.0 |
| LWLVB1.2 | LWLVB1.85 | LWLVB2.7 | LWLVB3.5 | |||||||||||||
|---|---|---|---|---|---|---|---|---|---|---|---|---|---|---|---|---|
| Year | Min | Mean | Max | Std | Min | Mean | Max | Std | Min | Mean | Max | Std | Min | Mean | Max | Std |
| Winter | 568.0 | 634.7 | 854.0 | 54.0 | 568.0 | 615.9 | 708.0 | 29.2 | 552.0 | 606.4 | 685.0 | 27.3 | 530.0 | 597.4 | 686.0 | 30.1 |
| Spring | 578.0 | 730.8 | 1030.0 | 110.4 | 559.0 | 663.9 | 865.0 | 67.5 | 459.0 | 618.9 | 803.0 | 48.8 | 535.0 | 599.7 | 715.0 | 34.4 |
| Summer | 555.0 | 743.8 | 1030.0 | 115.5 | 552.0 | 699.0 | 957.0 | 86.7 | 533.0 | 645.6 | 771.0 | 59.5 | 493.0 | 619.5 | 784.0 | 49.2 |
| Fall | 574.0 | 690.0 | 936.0 | 84.0 | 523.0 | 658.1 | 894.0 | 65.1 | 547.0 | 620.5 | 751.0 | 45.6 | 535.0 | 599.3 | 781.0 | 37.5 |
| IPS3 | BB3 | CR350.0SE0.5 | CR346.4 | CR342.5 | ||||||||||||||||
|---|---|---|---|---|---|---|---|---|---|---|---|---|---|---|---|---|---|---|---|---|
| Year | Min | Mean | Max | Std | Min | Mean | Max | Std | Min | Mean | Max | Std | Min | Mean | Max | Std | Min | Mean | Max | Std |
| Winter | 536.0 | 577.1 | 624.0 | 20.4 | 546.0 | 594.2 | 652.0 | 27.3 | 532.0 | 583.6 | 644.0 | 28.5 | 527.0 | 588.5 | 648.0 | 27.8 | 533.0 | 587.8 | 650.0 | 28.2 |
| Spring | 521.0 | 583.5 | 630.0 | 24.0 | 541.0 | 597.9 | 789.0 | 39.8 | 539.0 | 581.9 | 652.0 | 27.6 | 397.0 | 582.8 | 655.0 | 49.4 | 524.0 | 585.4 | 648.0 | 30.0 |
| Summer | 530.0 | 587.4 | 661.0 | 27.6 | 536.0 | 610.3 | 686.0 | 35.0 | 538.0 | 593.3 | 700.0 | 34.6 | 528.0 | 597.4 | 667.0 | 33.2 | 526.0 | 594.3 | 667.0 | 33.2 |
| Fall | 528.0 | 576.8 | 629.0 | 21.2 | 542.0 | 589.5 | 657.0 | 25.4 | 539.0 | 580.0 | 665.0 | 23.0 | 546.0 | 584.8 | 633.0 | 23.4 | 527.0 | 585.6 | 654.0 | 26.0 |
| LWLVB1.2 | LWLVB1.85 | LWLVB2.7 | LWLVB3.5 | |||||||||||||
|---|---|---|---|---|---|---|---|---|---|---|---|---|---|---|---|---|
| Year | Min | Mean | Max | Std | Min | Mean | Max | Std | Min | Mean | Max | Std | Min | Mean | Max | Std |
| 2016 | 607.0 | 761.3 | 1030.0 | 115.4 | 593.0 | 706.6 | 957.0 | 71.7 | 576.0 | 657.8 | 803.0 | 51.4 | 580.0 | 637.2 | 733.0 | 37.8 |
| 2017 | 599.0 | 732.6 | 980.0 | 108.0 | 589.0 | 692.1 | 921.0 | 76.2 | 568.0 | 642.6 | 753.0 | 45.7 | 530.0 | 623.3 | 784.0 | 44.9 |
| 2018 | 574.0 | 698.6 | 896.0 | 95.8 | 523.0 | 655.4 | 878.0 | 68.8 | 557.0 | 612.8 | 728.0 | 43.1 | 559.0 | 597.6 | 697.0 | 30.3 |
| 2019 | 578.0 | 692.8 | 963.0 | 108.3 | 546.0 | 657.2 | 847.0 | 78.0 | 459.0 | 617.4 | 752.0 | 56.2 | 543.0 | 594.2 | 689.0 | 31.3 |
| 2020 | 575.0 | 712.2 | 996.0 | 111.3 | 563.0 | 666.1 | 849.0 | 74.8 | 562.0 | 620.2 | 751.0 | 47.7 | 493.0 | 590.7 | 685.0 | 36.8 |
| 2021 | 555.0 | 707.4 | 972.0 | 95.9 | 552.0 | 647.2 | 824.0 | 68.6 | 533.0 | 602.1 | 690.0 | 38.7 | 534.0 | 585.3 | 671.0 | 34.2 |
| IPS3 | BB3 | CR350.0SE0.55 | CR346.4 | CR342.5 | ||||||||||||||||
|---|---|---|---|---|---|---|---|---|---|---|---|---|---|---|---|---|---|---|---|---|
| Year | Min | Mean | Max | Std | Min | Mean | Max | Std | Min | Mean | Max | Std | Min | Mean | Max | Std | Min | Mean | Max | Std |
| 2016 | No Data | 560.0 | 633.6 | 789.0 | 31.0 | 579.0 | 620.6 | 700.0 | 28.9 | 591.0 | 625.9 | 667.0 | 21.0 | 582.0 | 619.5 | 667.00 | 20.47 | |||
| 2017 | 570.0 | 602.9 | 632.0 | 18.2 | 569.0 | 610.1 | 674.0 | 23.9 | 551.0 | 598.6 | 644.0 | 24.3 | 566.0 | 609.9 | 648.0 | 21.6 | 559.0 | 610.2 | 654.0 | 25.0 |
| 2018 | 550.0 | 577.9 | 605.0 | 15.4 | 541.0 | 582.6 | 608.0 | 16.1 | 532.0 | 574.4 | 599.0 | 14.6 | 397.0 | 579.8 | 612.0 | 34.6 | 527.0 | 581.6 | 611.0 | 16.4 |
| 2019 | 540.0 | 581.4 | 661.0 | 22.5 | 547.0 | 579.0 | 642.0 | 21.8 | 538.0 | 569.5 | 603.0 | 18.8 | 401.0 | 571.2 | 611.0 | 34.1 | 537.0 | 577.2 | 621.0 | 20.5 |
| 2020 | 528.0 | 575.0 | 615.0 | 22.6 | 542.0 | 575.3 | 623.0 | 17.9 | 539.0 | 573.5 | 608.0 | 22.0 | 549.0 | 576.2 | 603.0 | 17.3 | 551.0 | 577.4 | 608.0 | 18.7 |
| 2021 | 521.0 | 567.6 | 611.0 | 23.5 | 536.0 | 580.1 | 620.0 | 22.7 | 535.0 | 568.5 | 604.0 | 19.7 | 525.0 | 564.5 | 611.0 | 23.2 | 524.0 | 560.9 | 612.0 | 23.7 |
Appendix B. TSS Variations for the Stations Sampled from 2016–2021: All Values Are in mg/L
| LWLVB1.2 | LWLVB1.85 | LWLVB2.7 | LWLVB3.5 | |||||||||||||
|---|---|---|---|---|---|---|---|---|---|---|---|---|---|---|---|---|
| Year | Min | Mean | Max | Std | Min | Mean | Max | Std | Min | Mean | Max | Std | Min | Mean | Max | Std |
| 1 | 5.0 | 5.4 | 11.0 | 1.6 | 5.0 | 5.0 | 5.0 | 0.0 | 5.0 | 5.0 | 5.0 | 0.0 | 5.0 | 5.0 | 5.0 | 0.0 |
| 2 | 5.0 | 5.3 | 8.5 | 0.9 | 5.0 | 5.0 | 5.0 | 0.0 | 5.0 | 5.0 | 5.0 | 0.0 | 5.0 | 5.0 | 5.0 | 0.0 |
| 3 | 5.0 | 5.1 | 7.3 | 0.3 | 5.0 | 5.1 | 12.0 | 0.8 | 5.0 | 5.0 | 5.0 | 0.0 | 5.0 | 5.0 | 5.0 | 0.0 |
| 4 | 5.0 | 5.1 | 7.2 | 0.4 | 5.0 | 5.0 | 5.0 | 0.0 | 5.0 | 5.0 | 5.0 | 0.0 | 5.0 | 5.0 | 5.0 | 0.0 |
| 5 | 5.0 | 5.3 | 13.0 | 1.3 | 5.0 | 5.0 | 5.0 | 0.0 | 5.0 | 5.0 | 5.0 | 0.0 | 5.0 | 5.0 | 5.0 | 0.0 |
| 6 | 5.0 | 5.2 | 8.9 | 0.7 | 5.0 | 5.0 | 5.3 | 0.0 | 5.0 | 5.0 | 5.0 | 0.0 | 5.0 | 5.0 | 5.0 | 0.0 |
| 7 | 5.0 | 5.7 | 14.0 | 1.7 | 5.0 | 5.2 | 11.0 | 0.9 | 5.0 | 5.0 | 5.0 | 0.0 | 5.0 | 5.0 | 5.0 | 0.0 |
| 8 | 5.0 | 5.6 | 17.0 | 1.7 | 5.0 | 5.0 | 8.3 | 0.4 | 5.0 | 5.0 | 5.0 | 0.0 | 5.0 | 5.0 | 5.0 | 0.0 |
| 9 | 5.0 | 5.9 | 19.0 | 2.3 | 5.0 | 5.2 | 12.0 | 1.1 | 5.0 | 5.0 | 5.0 | 0.0 | 5.0 | 5.0 | 5.0 | 0.0 |
| 10 | 5.0 | 8.0 | 49.0 | 8.0 | 5.0 | 5.4 | 16.0 | 1.6 | 5.0 | 5.0 | 5.0 | 0.0 | 5.0 | 6.5 | 17.0 | 3.2 |
| 11 | 5.0 | 7.2 | 20.0 | 4.7 | 5.0 | 5.8 | 11.0 | 1.8 | 5.0 | 5.0 | 5.0 | 0.0 | 5.0 | 5.0 | 5.0 | 0.0 |
| 12 | 5.0 | 5.3 | 7.2 | 0.7 | 5.0 | 5.0 | 5.0 | 0.0 | 5.0 | 5.0 | 5.0 | 0.0 | 5.0 | 5.0 | 5.0 | 0.0 |
| IPS3 | BB3 | CR350.0SE0.5 | CR346.4 | CR342.5 | ||||||||||||||||
|---|---|---|---|---|---|---|---|---|---|---|---|---|---|---|---|---|---|---|---|---|
| Year | Min | Mean | Max | Std | Min | Mean | Max | Std | Min | Mean | Max | Std | Min | Mean | Max | Std | Min | Mean | Max | Std |
| 1 | 5.0 | 5.0 | 5.0 | 0.0 | 5.0 | 5.0 | 5.0 | 0.0 | 5.0 | 5.0 | 5.0 | 0.0 | 5.0 | 5.0 | 5.0 | 0.0 | No Data | |||
| 2 | 5.0 | 5.0 | 5.0 | 0.0 | 5.0 | 5.0 | 5.0 | 0.0 | 5.0 | 5.0 | 5.0 | 0.0 | 5.0 | 5.0 | 5.0 | 0.0 | ||||
| 3 | 5.0 | 5.0 | 5.0 | 0.0 | 5.0 | 5.0 | 5.0 | 0.0 | 5.0 | 5.0 | 5.0 | 0.0 | 5.0 | 5.0 | 5.0 | 0.0 | ||||
| 4 | 5.0 | 5.0 | 5.0 | 0.0 | 5.0 | 5.0 | 5.0 | 0.0 | 5.0 | 5.0 | 5.0 | 0.0 | 5.0 | 5.0 | 5.0 | 0.0 | ||||
| 5 | 5.0 | 5.0 | 5.0 | 0.0 | 5.0 | 5.0 | 5.0 | 0.0 | 5.0 | 5.0 | 5.0 | 0.0 | 5.0 | 5.0 | 5.0 | 0.0 | ||||
| 6 | 5.0 | 5.0 | 5.0 | 0.0 | 5.0 | 5.0 | 5.0 | 0.0 | 5.0 | 5.0 | 5.0 | 0.0 | 5.0 | 5.0 | 5.0 | 0.0 | ||||
| 7 | 5.0 | 5.0 | 5.0 | 0.0 | 5.0 | 5.0 | 5.0 | 0.0 | 5.0 | 5.0 | 5.0 | 0.0 | 5.0 | 5.0 | 5.0 | 0.0 | ||||
| 8 | 5.0 | 5.0 | 5.0 | 0.0 | 5.0 | 5.0 | 5.0 | 0.0 | 5.0 | 5.0 | 5.0 | 0.0 | 5.0 | 5.0 | 5.0 | 0.0 | ||||
| 9 | 5.0 | 5.0 | 5.0 | 0.0 | 5.0 | 5.0 | 5.0 | 0.0 | 5.0 | 5.0 | 5.0 | 0.0 | 5.0 | 5.0 | 5.0 | 0.0 | ||||
| 10 | 5.0 | 5.0 | 5.0 | 0.0 | 5.0 | 5.0 | 5.0 | 0.0 | 5.0 | 5.0 | 5.0 | 0.0 | 5.0 | 5.0 | 5.0 | 0.0 | ||||
| 11 | 5.0 | 5.0 | 5.0 | 0.0 | 5.0 | 5.0 | 5.0 | 0.0 | 5.0 | 5.0 | 5.0 | 0.0 | 5.0 | 5.0 | 5.0 | 0.0 | ||||
| 12 | 5.0 | 5.0 | 5.0 | 0.0 | 5.0 | 5.0 | 5.0 | 0.0 | 5.0 | 5.0 | 5.0 | 0.0 | 5.0 | 5.0 | 5.0 | 0.0 | ||||
| LWLVB1.2 | LWLVB1.85 | LWLVB2.7 | LWLVB3.5 | |||||||||||||
|---|---|---|---|---|---|---|---|---|---|---|---|---|---|---|---|---|
| Year | Min | Mean | Max | Std | Min | Mean | Max | Std | Min | Mean | Max | Std | Min | Mean | Max | Std |
| Winter | 5.0 | 7.0 | 49.0 | 5.9 | 5.0 | 5.4 | 16.0 | 1.4 | 5.0 | 5.0 | 5.0 | 0.0 | 5.0 | 5.6 | 17.0 | 2.2 |
| Spring | 5.0 | 5.1 | 13.0 | 0.8 | 5.0 | 5.0 | 12.0 | 0.5 | 5.0 | 5.0 | 5.0 | 0.0 | 5.0 | 5.0 | 5.0 | 0.0 |
| Summer | 5.0 | 5.5 | 17.0 | 1.5 | 5.0 | 5.1 | 11.0 | 0.6 | 5.0 | 5.0 | 5.0 | 0.0 | 5.0 | 5.0 | 5.0 | 0.0 |
| Fall | 5.0 | 5.3 | 11.0 | 1.1 | 5.0 | 5.0 | 5.0 | 0.0 | 5.0 | 5.0 | 5.0 | 0.0 | 5.0 | 5.0 | 5.0 | 0.0 |
| IPS3 | BB3 | CR350.0SE0.5 | CR346.4 | CR342.5 | ||||||||||||||||
|---|---|---|---|---|---|---|---|---|---|---|---|---|---|---|---|---|---|---|---|---|
| Year | Min | Mean | Max | Std | Min | Mean | Max | Std | Min | Mean | Max | Std | Min | Mean | Max | Std | Min | Mean | Max | Std |
| Winter | 5.0 | 5.0 | 5.0 | 0.0 | 5.0 | 5.0 | 5.0 | 0.0 | 5.0 | 5.0 | 5.0 | 0.0 | 5.0 | 5.0 | 5.0 | 0.0 | No Data | |||
| Spring | 5.0 | 5.0 | 5.0 | 0.0 | 5.0 | 5.0 | 5.0 | 0.0 | 5.0 | 5.0 | 5.0 | 0.0 | 5.0 | 5.0 | 5.0 | 0.0 | ||||
| Summer | 5.0 | 5.0 | 5.0 | 0.0 | 5.0 | 5.0 | 5.0 | 0.0 | 5.0 | 5.0 | 5.0 | 0.0 | 5.0 | 5.0 | 5.0 | 0.0 | ||||
| Fall | 5.0 | 5.0 | 5.0 | 0.0 | 5.0 | 5.0 | 5.0 | 0.0 | 5.0 | 5.0 | 5.0 | 0.0 | 5.0 | 5.0 | 5.0 | 0.0 | ||||
| LWLVB1.2 | LWLVB1.85 | LWLVB2.7 | LWLVB3.5 | |||||||||||||
|---|---|---|---|---|---|---|---|---|---|---|---|---|---|---|---|---|
| Year | Min | Mean | Max | Std | Min | Mean | Max | Std | Min | Mean | Max | Std | Min | Mean | Max | Std |
| 2016 | 5.0 | 6.1 | 20.0 | 2.5 | 5.0 | 5.3 | 12.0 | 1.3 | 5.0 | 5.0 | 5.0 | 0.0 | 5.0 | 5.3 | 12.2 | 1.3 |
| 2017 | 5.0 | 6.0 | 45.0 | 4.9 | 5.0 | 5.0 | 9.3 | 0.4 | 5.0 | 5.0 | 5.0 | 0.0 | 5.0 | 5.2 | 17.0 | 1.5 |
| 2018 | 5.0 | 5.3 | 16.0 | 1.5 | 5.0 | 5.0 | 5.2 | 0.0 | 5.0 | 5.0 | 5.0 | 0.0 | 5.0 | 5.0 | 5.0 | 0.0 |
| 2019 | 5.0 | 5.3 | 10.0 | 1.0 | 5.0 | 5.2 | 16.0 | 1.2 | 5.0 | 5.0 | 5.0 | 0.0 | 5.0 | 5.4 | 15.8 | 2.0 |
| 2020 | 5.0 | 5.4 | 10.0 | 1.2 | 5.0 | 5.0 | 8.4 | 0.4 | 5.0 | 5.0 | 5.0 | 0.0 | 5.0 | 5.1 | 8.6 | 0.6 |
| 2021 | 5.0 | 6.3 | 49.0 | 4.8 | 5.0 | 5.1 | 12.0 | 0.8 | 5.0 | 5.0 | 5.0 | 0.0 | 5.0 | 5.0 | 5.0 | 0.0 |
| IPS3 | BB3 | CR350.0SE0.55 | CR346.4 | CR342.5 | ||||||||||||||||
|---|---|---|---|---|---|---|---|---|---|---|---|---|---|---|---|---|---|---|---|---|
| Year | Min | Mean | Max | Std | Min | Mean | Max | Std | Min | Mean | Max | Std | Min | Mean | Max | Std | Min | Mean | Max | Std |
| 2016 | No Data | 5.0 | 5.0 | 5.0 | 0.0 | 5.0 | 5.0 | 5.0 | 0.0 | 5.0 | 5.0 | 5.0 | 0.0 | No Data | ||||||
| 2017 | 5.0 | 5.0 | 5.0 | 0.0 | 5.0 | 5.0 | 5.0 | 0.0 | 5.0 | 5.0 | 5.0 | 0.0 | 5.0 | 5.0 | 5.0 | 0.0 | ||||
| 2018 | 5.0 | 5.0 | 5.0 | 0.0 | 5.0 | 5.0 | 5.0 | 0.0 | 5.0 | 5.0 | 5.0 | 0.0 | 5.0 | 5.0 | 5.0 | 0.0 | ||||
| 2019 | 5.0 | 5.0 | 5.0 | 0.0 | 5.0 | 5.0 | 5.0 | 0.0 | 5.0 | 5.0 | 5.0 | 0.0 | 5.0 | 5.0 | 5.0 | 0.0 | ||||
| 2020 | 5.0 | 5.0 | 5.0 | 0.0 | 5.0 | 5.0 | 5.0 | 0.0 | 5.0 | 5.0 | 5.0 | 0.0 | 5.0 | 5.0 | 5.0 | 0.0 | ||||
| 2021 | 5.0 | 5.0 | 5.0 | 0.0 | 5.0 | 5.0 | 5.0 | 0.0 | 5.0 | 5.0 | 5.0 | 0.0 | 5.0 | 5.0 | 5.0 | 0.0 | ||||
Appendix C. Temperature Variations for the Stations Sampled from 2016–2021: All Values Are in °C
| LWLVB1.2 | LWLVB1.85 | LWLVB2.7 | LWLVB3.5 | |||||||||||||
|---|---|---|---|---|---|---|---|---|---|---|---|---|---|---|---|---|
| Year | Min | Mean | Max | Std | Min | Mean | Max | Std | Min | Mean | Max | Std | Min | Mean | Max | Std |
| 1 | 13.0 | 13.8 | 15.0 | 0.6 | 13.0 | 13.7 | 14.6 | 0.4 | 12.8 | 13.6 | 14.4 | 0.4 | 12.4 | 13.5 | 14.4 | 0.6 |
| 2 | 12.5 | 13.2 | 14.9 | 0.8 | 12.6 | 13.1 | 14.6 | 0.6 | 12.1 | 13.0 | 14.3 | 0.5 | 12.5 | 12.9 | 14.1 | 0.4 |
| 3 | 12.2 | 14.1 | 19.7 | 1.4 | 11.9 | 13.6 | 18.0 | 1.2 | 11.8 | 13.2 | 18.0 | 1.2 | 11.6 | 13.1 | 17.2 | 1.2 |
| 4 | 12.2 | 15.8 | 20.9 | 2.7 | 12.0 | 15.1 | 20.2 | 2.4 | 11.7 | 14.6 | 20.1 | 2.4 | 11.5 | 14.4 | 19.2 | 2.4 |
| 5 | 12.4 | 18.0 | 24.7 | 4.2 | 11.7 | 17.6 | 24.4 | 4.0 | 11.8 | 17.1 | 24.3 | 4.0 | 11.7 | 16.9 | 23.8 | 3.9 |
| 6 | 12.9 | 21.0 | 29.1 | 5.6 | 12.3 | 20.5 | 28.3 | 5.7 | 11.8 | 20.1 | 28.1 | 5.9 | 11.7 | 20.0 | 27.6 | 5.9 |
| 7 | 14.3 | 23.1 | 31.2 | 6.4 | 12.6 | 22.6 | 30.6 | 6.7 | 11.8 | 22.2 | 30.2 | 7.1 | 11.8 | 21.7 | 30.0 | 7.0 |
| 8 | 15.4 | 24.1 | 31.2 | 5.7 | 13.0 | 23.4 | 31.3 | 6.6 | 12.0 | 22.9 | 31.3 | 7.4 | 11.8 | 22.5 | 31.1 | 7.5 |
| 9 | 15.9 | 23.4 | 30.2 | 4.1 | 13.0 | 22.2 | 30.1 | 5.3 | 12.1 | 21.4 | 29.8 | 6.4 | 11.9 | 21.2 | 29.6 | 6.5 |
| 10 | 18.6 | 21.8 | 26.2 | 1.6 | 14.0 | 20.6 | 26.0 | 3.1 | 12.6 | 19.3 | 25.8 | 4.2 | 12.1 | 18.3 | 25.5 | 4.5 |
| 11 | 18.8 | 20.7 | 21.8 | 0.9 | 14.7 | 19.0 | 21.8 | 2.5 | 12.6 | 17.9 | 21.5 | 3.6 | 12.2 | 17.3 | 21.4 | 3.5 |
| 12 | 15.4 | 16.4 | 17.1 | 0.6 | 15.4 | 16.6 | 17.2 | 0.6 | 12.7 | 15.7 | 17.1 | 1.5 | 12.0 | 15.2 | 17.2 | 2.0 |
| IPS3 | BB3 | CR350.0SE0.5 | CR346.4 | CR342.5 | ||||||||||||||||
|---|---|---|---|---|---|---|---|---|---|---|---|---|---|---|---|---|---|---|---|---|
| Year | Min | Mean | Max | Std | Min | Mean | Max | Std | Min | Mean | Max | Std | Min | Mean | Max | Std | Min | Mean | Max | Std |
| 1 | 12.4 | 13.3 | 14.5 | 0.6 | 12.5 | 13.4 | 14.4 | 0.4 | 12.3 | 13.2 | 14.4 | 0.5 | 12.3 | 13.3 | 14.3 | 0.5 | 12.4 | 13.3 | 14.4 | 0.6 |
| 2 | 12.1 | 12.8 | 14.2 | 0.5 | 12.2 | 12.9 | 13.8 | 0.5 | 12.1 | 12.8 | 13.8 | 0.4 | 11.9 | 12.8 | 13.8 | 0.5 | 11.8 | 12.8 | 13.8 | 0.5 |
| 3 | 11.6 | 13.1 | 15.7 | 1.2 | 11.8 | 13.1 | 15.2 | 1.0 | 11.7 | 12.9 | 15.3 | 1.1 | 11.5 | 13.0 | 15.4 | 1.1 | 11.7 | 12.7 | 15.1 | 0.8 |
| 4 | 11.5 | 15.0 | 18.6 | 2.8 | 11.9 | 14.2 | 17.6 | 2.0 | 11.5 | 13.9 | 17.2 | 2.2 | 11.4 | 14.9 | 18.3 | 2.7 | 11.4 | 13.6 | 17.9 | 2.0 |
| 5 | 11.7 | 16.7 | 21.6 | 4.0 | 11.7 | 17.0 | 23.3 | 3.9 | 11.6 | 17.4 | 23.0 | 4.3 | 11.6 | 16.7 | 21.9 | 3.9 | 11.5 | 15.0 | 19.7 | 2.9 |
| 6 | 11.7 | 20.2 | 26.3 | 6.0 | 12.0 | 19.7 | 27.4 | 5.4 | 11.6 | 18.9 | 26.4 | 5.6 | 11.7 | 19.0 | 26.6 | 5.5 | 11.7 | 17.9 | 24.2 | 4.9 |
| 7 | 11.8 | 22.3 | 29.5 | 7.5 | 12.5 | 21.7 | 30.1 | 6.5 | 11.7 | 21.4 | 28.7 | 7.0 | 11.8 | 21.2 | 28.5 | 6.8 | 11.8 | 20.0 | 27.0 | 6.0 |
| 8 | 12.1 | 22.2 | 29.6 | 7.3 | 12.6 | 22.4 | 30.3 | 6.7 | 11.9 | 21.8 | 30.3 | 7.1 | 11.9 | 21.7 | 29.0 | 7.0 | 11.9 | 21.3 | 29.3 | 6.8 |
| 9 | 12.0 | 21.3 | 29.3 | 6.7 | 12.7 | 21.2 | 28.0 | 5.5 | 12.0 | 20.9 | 29.1 | 6.4 | 11.9 | 21.6 | 29.2 | 6.9 | 12.0 | 21.5 | 28.9 | 6.9 |
| 10 | 12.0 | 18.2 | 23.9 | 4.5 | 12.6 | 19.4 | 24.6 | 3.6 | 12.1 | 18.3 | 24.8 | 4.6 | 12.0 | 19.4 | 25.5 | 5.3 | 12.0 | 18.7 | 25.5 | 5.0 |
| 11 | 12.1 | 17.0 | 20.6 | 3.4 | 13.4 | 17.9 | 21.2 | 2.5 | 12.1 | 16.7 | 21.2 | 3.2 | 12.1 | 16.9 | 21.1 | 3.3 | 12.1 | 17.0 | 21.0 | 3.4 |
| 12 | 12.3 | 15.0 | 16.9 | 1.8 | 13.3 | 15.6 | 16.6 | 0.9 | 12.3 | 14.9 | 16.6 | 1.8 | 12.2 | 15.0 | 16.5 | 1.8 | 12.3 | 15.0 | 16.5 | 1.8 |
| LWLVB1.2 | LWLVB1.85 | LWLVB2.7 | LWLVB3.5 | |||||||||||||
|---|---|---|---|---|---|---|---|---|---|---|---|---|---|---|---|---|
| Year | Min | Mean | Max | Std | Min | Mean | Max | Std | Min | Mean | Max | Std | Min | Mean | Max | Std |
| Winter | 12.5 | 14.5 | 17.1 | 1.5 | 12.6 | 14.4 | 17.2 | 1.6 | 12.1 | 14.1 | 17.1 | 1.5 | 12.0 | 13.9 | 17.2 | 1.5 |
| Spring | 12.2 | 15.9 | 24.7 | 3.3 | 11.7 | 15.4 | 24.4 | 3.2 | 11.7 | 14.9 | 24.3 | 3.2 | 11.5 | 14.7 | 23.8 | 3.1 |
| Summer | 12.9 | 22.8 | 31.2 | 6.0 | 12.3 | 22.3 | 31.3 | 6.4 | 11.8 | 21.8 | 31.3 | 6.9 | 11.7 | 21.5 | 31.1 | 6.9 |
| Fall | 15.9 | 22.4 | 30.2 | 3.1 | 13.0 | 21.1 | 30.1 | 4.4 | 12.1 | 19.9 | 29.8 | 5.2 | 11.9 | 19.2 | 29.6 | 5.4 |
| IPS3 | BB3 | CR350.0SE0.5 | CR346.4 | CR342.5 | ||||||||||||||||
|---|---|---|---|---|---|---|---|---|---|---|---|---|---|---|---|---|---|---|---|---|
| Year | Min | Mean | Max | Std | Min | Mean | Max | Std | Min | Mean | Max | Std | Min | Mean | Max | Std | Min | Mean | Max | Std |
| Winter | 12.1 | 13.7 | 16.9 | 1.5 | 12.2 | 13.9 | 16.6 | 1.3 | 12.1 | 13.7 | 16.6 | 1.4 | 11.9 | 13.7 | 16.5 | 1.5 | 11.8 | 13.7 | 16.5 | 1.5 |
| Spring | 11.5 | 14.8 | 21.6 | 3.1 | 11.7 | 14.8 | 23.3 | 3.1 | 11.5 | 14.8 | 23.0 | 3.5 | 11.4 | 14.8 | 21.9 | 3.1 | 11.4 | 13.7 | 19.7 | 2.2 |
| Summer | 11.7 | 21.6 | 29.6 | 6.9 | 12.0 | 21.4 | 30.3 | 6.3 | 11.6 | 20.9 | 30.3 | 6.7 | 11.7 | 20.7 | 29.0 | 6.5 | 11.7 | 19.8 | 29.3 | 6.1 |
| Fall | 12.0 | 18.8 | 29.3 | 5.3 | 12.6 | 19.6 | 28.0 | 4.3 | 12.0 | 18.7 | 29.1 | 5.1 | 11.9 | 19.3 | 29.2 | 5.6 | 12.0 | 19.1 | 28.9 | 5.5 |
| LWLVB1.2 | LWLVB1.85 | LWLVB2.7 | LWLVB3.5 | |||||||||||||
|---|---|---|---|---|---|---|---|---|---|---|---|---|---|---|---|---|
| Year | Min | Mean | Max | Std | Min | Mean | Max | Std | Min | Mean | Max | Std | Min | Mean | Max | Std |
| 2016 | 12.2 | 19.7 | 30.0 | 5.3 | 11.9 | 18.6 | 29.7 | 5.5 | 11.8 | 18.0 | 29.3 | 5.8 | 11.6 | 17.5 | 29.1 | 5.7 |
| 2017 | 13.0 | 20.2 | 31.2 | 5.4 | 12.5 | 19.2 | 30.7 | 5.9 | 12.6 | 18.2 | 29.9 | 5.6 | 12.2 | 18.0 | 29.9 | 5.9 |
| 2018 | 12.9 | 19.5 | 31.2 | 5.7 | 12.7 | 19.4 | 30.6 | 5.8 | 12.5 | 18.4 | 30.3 | 5.9 | 12.5 | 18.2 | 30.0 | 5.9 |
| 2019 | 12.4 | 19.2 | 30.4 | 5.4 | 11.7 | 18.7 | 30.1 | 5.6 | 11.7 | 17.6 | 29.8 | 5.7 | 11.5 | 17.3 | 30.0 | 5.6 |
| 2020 | 12.5 | 21.0 | 30.5 | 5.6 | 12.7 | 20.0 | 30.2 | 6.1 | 12.2 | 18.9 | 30.3 | 6.4 | 12.1 | 18.3 | 30.1 | 6.4 |
| 2021 | 12.2 | 19.8 | 31.2 | 5.6 | 12.0 | 19.0 | 31.3 | 6.0 | 11.8 | 18.0 | 31.3 | 6.1 | 11.8 | 17.9 | 31.1 | 6.2 |
| IPS3 | BB3 | CR350.0SE0.55 | CR346.4 | CR342.5 | ||||||||||||||||
|---|---|---|---|---|---|---|---|---|---|---|---|---|---|---|---|---|---|---|---|---|
| Year | Min | Mean | Max | Std | Min | Mean | Max | Std | Min | Mean | Max | Std | Min | Mean | Max | Std | Min | Mean | Max | Std |
| 2016 | No Data | 11.8 | 18.1 | 28.7 | 5.4 | 11.7 | 17.0 | 28.0 | 5.4 | 11.6 | 17.1 | 29.0 | 5.4 | 11.6 | 16.1 | 27.0 | 4.8 | |||
| 2017 | 12.2 | 17.5 | 29.3 | 5.7 | 12.4 | 17.6 | 30.3 | 5.4 | 12.3 | 17.5 | 30.3 | 5.8 | 12.2 | 17.3 | 29.2 | 5.5 | 12.2 | 16.9 | 29.2 | 5.5 |
| 2018 | 12.4 | 17.6 | 29.5 | 5.6 | 12.5 | 18.0 | 30.1 | 5.3 | 12.5 | 17.5 | 28.7 | 5.4 | 12.5 | 17.5 | 28.5 | 5.4 | 12.4 | 16.9 | 29.3 | 5.2 |
| 2019 | 11.5 | 17.2 | 28.3 | 5.6 | 11.7 | 17.3 | 27.9 | 5.1 | 11.5 | 16.9 | 28.2 | 5.5 | 11.4 | 16.7 | 27.6 | 5.4 | 11.4 | 16.2 | 28.7 | 5.1 |
| 2020 | 12.0 | 17.5 | 29.6 | 6.2 | 12.5 | 17.2 | 28.1 | 5.5 | 12.1 | 17.1 | 28.3 | 6.0 | 12.2 | 17.2 | 27.7 | 5.8 | 12.2 | 16.9 | 27.8 | 5.4 |
| 2021 | 11.6 | 16.8 | 29.2 | 5.6 | 12.1 | 17.3 | 28.6 | 5.6 | 11.7 | 16.9 | 29.1 | 5.7 | 11.7 | 17.0 | 28.3 | 5.7 | 11.7 | 16.7 | 28.1 | 5.4 |
Appendix D. DO Concentration Variations for the Stations Sampled from 2016–2021: All Values Are in mg/L
| LWLVB1.2 | LWLVB1.85 | LWLVB2.7 | LWLVB3.5 | |||||||||||||
|---|---|---|---|---|---|---|---|---|---|---|---|---|---|---|---|---|
| Year | Min | Mean | Max | Std | Min | Mean | Max | Std | Min | Mean | Max | Std | Min | Mean | Max | Std |
| 1 | 8.4 | 8.9 | 9.5 | 0.3 | 8.5 | 8.9 | 9.5 | 0.3 | 6.0 | 8.5 | 9.3 | 0.9 | 5.7 | 8.4 | 9.3 | 1.0 |
| 2 | 7.3 | 9.0 | 9.8 | 0.6 | 7.4 | 8.9 | 9.8 | 0.6 | 6.0 | 8.8 | 9.8 | 0.8 | 5.8 | 8.8 | 9.6 | 0.9 |
| 3 | 7.5 | 9.2 | 11.0 | 0.8 | 7.8 | 9.2 | 10.8 | 0.7 | 8.2 | 9.2 | 10.0 | 0.5 | 7.9 | 9.2 | 10.0 | 0.5 |
| 4 | 6.4 | 9.0 | 11.9 | 1.2 | 7.7 | 9.1 | 11.4 | 0.9 | 7.8 | 9.2 | 10.1 | 0.6 | 8.3 | 9.2 | 10.0 | 0.5 |
| 5 | 6.5 | 8.4 | 12.0 | 1.1 | 7.0 | 8.7 | 11.6 | 1.0 | 7.5 | 9.0 | 10.9 | 0.8 | 8.2 | 9.2 | 10.7 | 0.7 |
| 6 | 4.9 | 7.6 | 13.8 | 1.7 | 6.0 | 7.9 | 10.2 | 1.0 | 6.7 | 8.3 | 9.7 | 0.7 | 6.1 | 8.4 | 10.3 | 0.7 |
| 7 | 3.0 | 6.7 | 10.2 | 2.1 | 3.2 | 7.0 | 9.5 | 1.5 | 6.3 | 7.9 | 9.2 | 0.8 | 6.7 | 8.1 | 9.8 | 0.6 |
| 8 | 0.6 | 5.8 | 11.3 | 3.1 | 2.6 | 6.2 | 11.7 | 2.2 | 4.1 | 7.0 | 9.9 | 1.4 | 5.8 | 7.5 | 9.0 | 0.7 |
| 9 | 0.7 | 5.0 | 11.1 | 3.3 | 2.3 | 5.3 | 9.8 | 2.3 | 3.3 | 6.1 | 9.1 | 1.6 | 3.5 | 6.7 | 9.0 | 1.2 |
| 10 | 0.5 | 6.1 | 8.7 | 2.4 | 2.1 | 5.9 | 8.4 | 2.0 | 3.4 | 6.0 | 8.2 | 1.6 | 3.5 | 6.2 | 8.3 | 1.3 |
| 11 | 6.1 | 7.7 | 8.2 | 0.5 | 2.3 | 6.4 | 8.1 | 2.2 | 4.0 | 6.4 | 7.9 | 1.6 | 4.1 | 6.5 | 7.9 | 1.3 |
| 12 | 8.1 | 8.4 | 8.7 | 0.2 | 6.8 | 8.2 | 8.6 | 0.4 | 3.9 | 7.4 | 8.5 | 1.6 | 5.0 | 7.4 | 8.5 | 1.3 |
| IPS3 | BB3 | CR350.0SE0.5 | CR346.4 | CR342.5 | ||||||||||||||||
|---|---|---|---|---|---|---|---|---|---|---|---|---|---|---|---|---|---|---|---|---|
| Year | Min | Mean | Max | Std | Min | Mean | Max | Std | Min | Mean | Max | Std | Min | Mean | Max | Std | Min | Mean | Max | Std |
| 1 | 5.8 | 7.9 | 9.1 | 1.3 | 6.2 | 8.5 | 9.3 | 0.9 | 5.6 | 7.9 | 9.1 | 1.3 | 5.7 | 7.9 | 9.1 | 1.1 | 5.7 | 7.7 | 8.9 | 1.2 |
| 2 | 5.8 | 8.4 | 9.5 | 1.0 | 7.2 | 8.8 | 9.8 | 0.7 | 6.7 | 8.8 | 9.5 | 0.7 | 6.2 | 8.7 | 9.8 | 0.8 | 5.7 | 8.6 | 9.8 | 1.0 |
| 3 | 8.3 | 9.2 | 9.9 | 0.5 | 8.6 | 9.2 | 10.2 | 0.5 | 7.5 | 9.1 | 10.0 | 0.6 | 7.8 | 9.1 | 9.9 | 0.5 | 7.2 | 9.0 | 10.0 | 0.7 |
| 4 | 8.6 | 9.3 | 10.2 | 0.4 | 8.4 | 9.2 | 9.8 | 0.5 | 8.5 | 9.2 | 9.7 | 0.4 | 8.5 | 9.3 | 10.0 | 0.5 | 8.6 | 9.2 | 9.9 | 0.5 |
| 5 | 8.3 | 9.3 | 11.3 | 0.9 | 6.1 | 9.2 | 11.4 | 1.1 | 8.4 | 9.4 | 10.5 | 0.6 | 8.3 | 9.2 | 10.4 | 0.6 | 8.4 | 9.1 | 10.2 | 0.5 |
| 6 | 8.1 | 8.6 | 9.6 | 0.4 | 7.2 | 8.6 | 10.4 | 0.8 | 8.0 | 8.8 | 10.1 | 0.5 | 8.0 | 8.7 | 9.8 | 0.5 | 8.1 | 8.8 | 10.1 | 0.6 |
| 7 | 7.6 | 8.0 | 8.7 | 0.3 | 6.5 | 7.9 | 9.5 | 0.7 | 7.6 | 8.1 | 8.9 | 0.3 | 7.6 | 8.3 | 9.4 | 0.5 | 7.7 | 8.4 | 9.3 | 0.5 |
| 8 | 6.9 | 7.6 | 8.1 | 0.4 | 5.6 | 7.2 | 8.9 | 1.0 | 6.1 | 7.6 | 8.6 | 0.6 | 6.6 | 7.6 | 8.1 | 0.4 | 7.1 | 7.6 | 8.3 | 0.3 |
| 9 | 5.5 | 7.2 | 8.5 | 0.9 | 4.6 | 6.4 | 8.3 | 1.2 | 5.4 | 7.0 | 8.2 | 1.0 | 5.5 | 7.3 | 8.3 | 0.9 | 5.8 | 7.2 | 8.2 | 0.7 |
| 10 | 4.2 | 6.4 | 7.7 | 1.2 | 4.3 | 6.3 | 7.8 | 1.2 | 4.3 | 6.5 | 7.8 | 1.2 | 4.3 | 6.6 | 8.3 | 1.2 | 4.4 | 6.4 | 8.3 | 1.4 |
| 11 | 4.7 | 6.9 | 8.2 | 1.1 | 4.9 | 7.0 | 8.1 | 1.2 | 4.8 | 6.8 | 8.1 | 1.0 | 4.3 | 6.7 | 8.1 | 1.1 | 4.5 | 6.5 | 8.0 | 1.1 |
| 12 | 6.1 | 7.6 | 8.5 | 0.9 | 5.4 | 7.6 | 8.5 | 1.0 | 5.9 | 7.5 | 8.4 | 1.0 | 6.2 | 7.6 | 8.4 | 0.9 | 6.2 | 7.5 | 8.3 | 0.8 |
| LWLVB1.2 | LWLVB1.85 | LWLVB2.7 | LWLVB3.5 | |||||||||||||
|---|---|---|---|---|---|---|---|---|---|---|---|---|---|---|---|---|
| Year | Min | Mean | Max | Std | Min | Mean | Max | Std | Min | Mean | Max | Std | Min | Mean | Max | Std |
| Winter | 7.3 | 8.8 | 9.8 | 0.5 | 6.8 | 8.7 | 9.8 | 0.6 | 3.9 | 8.3 | 9.8 | 1.3 | 5.0 | 8.2 | 9.6 | 1.2 |
| Spring | 6.4 | 8.9 | 12.0 | 1.1 | 7.0 | 9.0 | 11.6 | 0.9 | 7.5 | 9.1 | 10.9 | 0.7 | 7.9 | 9.2 | 10.7 | 0.6 |
| Summer | 0.6 | 6.6 | 13.8 | 2.5 | 2.6 | 7.0 | 11.7 | 1.8 | 4.1 | 7.7 | 9.9 | 1.1 | 5.8 | 8.0 | 10.3 | 0.8 |
| Fall | 0.5 | 5.8 | 11.1 | 2.8 | 2.1 | 5.7 | 9.8 | 2.2 | 3.3 | 6.1 | 9.1 | 1.6 | 3.5 | 6.4 | 9.0 | 1.3 |
| IPS3 | BB3 | CR350.0SE0.5 | CR346.4 | CR342.5 | ||||||||||||||||
|---|---|---|---|---|---|---|---|---|---|---|---|---|---|---|---|---|---|---|---|---|
| Year | Min | Mean | Max | Std | Min | Mean | Max | Std | Min | Mean | Max | Std | Min | Mean | Max | Std | Min | Mean | Max | Std |
| Winter | 5.8 | 8.0 | 9.5 | 1.1 | 5.4 | 8.3 | 9.8 | 1.0 | 5.6 | 8.1 | 9.5 | 1.1 | 5.7 | 8.1 | 9.8 | 1.0 | 5.7 | 7.9 | 9.8 | 1.1 |
| Spring | 8.3 | 9.3 | 11.3 | 0.6 | 6.1 | 9.2 | 11.4 | 0.8 | 7.5 | 9.2 | 10.5 | 0.6 | 7.8 | 9.2 | 10.4 | 0.5 | 7.2 | 9.1 | 10.2 | 0.6 |
| Summer | 6.9 | 8.1 | 9.6 | 0.5 | 5.6 | 7.8 | 10.4 | 1.0 | 6.1 | 8.1 | 10.1 | 0.7 | 6.6 | 8.2 | 9.8 | 0.6 | 7.1 | 8.2 | 10.1 | 0.7 |
| Fall | 4.2 | 6.8 | 8.5 | 1.1 | 4.3 | 6.5 | 8.3 | 1.2 | 4.3 | 6.8 | 8.2 | 1.1 | 4.3 | 6.8 | 8.3 | 1.1 | 4.4 | 6.7 | 8.3 | 1.1 |
| LWLVB1.2 | LWLVB1.85 | LWLVB2.7 | LWLVB3.5 | |||||||||||||
|---|---|---|---|---|---|---|---|---|---|---|---|---|---|---|---|---|
| Year | Min | Mean | Max | Std | Min | Mean | Max | Std | Min | Mean | Max | Std | Min | Mean | Max | Std |
| 2016 | 1.4 | 7.3 | 13.8 | 2.6 | 2.1 | 7.3 | 10.6 | 2.0 | 4.0 | 7.7 | 9.9 | 1.6 | 4.1 | 8.0 | 10.3 | 1.4 |
| 2017 | 0.6 | 7.5 | 12.0 | 2.8 | 2.3 | 7.6 | 11.7 | 2.3 | 3.7 | 7.7 | 10.4 | 1.8 | 4.1 | 7.9 | 10.2 | 1.5 |
| 2018 | 0.9 | 7.3 | 10.8 | 2.4 | 2.3 | 7.3 | 10.8 | 2.1 | 3.6 | 7.6 | 10.9 | 1.7 | 4.5 | 7.8 | 10.7 | 1.4 |
| 2019 | 1.9 | 7.6 | 11.1 | 2.3 | 2.8 | 7.8 | 10.7 | 1.8 | 4.1 | 8.1 | 10.1 | 1.4 | 4.5 | 8.2 | 10.0 | 1.2 |
| 2020 | 1.5 | 6.7 | 10.9 | 2.6 | 3.1 | 7.0 | 10.8 | 2.1 | 3.9 | 7.4 | 9.7 | 1.6 | 3.5 | 7.6 | 9.7 | 1.4 |
| 2021 | 0.5 | 7.4 | 10.2 | 2.4 | 2.8 | 7.6 | 10.3 | 2.0 | 3.3 | 7.9 | 10.3 | 1.7 | 3.5 | 8.1 | 10.0 | 1.4 |
| IPS3 | BB3 | CR350.0SE0.55 | CR346.4 | CR342.5 | ||||||||||||||||
|---|---|---|---|---|---|---|---|---|---|---|---|---|---|---|---|---|---|---|---|---|
| Year | Min | Mean | Max | Std | Min | Mean | Max | Std | Min | Mean | Max | Std | Min | Mean | Max | Std | Min | Mean | Max | Std |
| 2016 | No Data | 4.5 | 7.9 | 10.3 | 1.4 | 4.8 | 8.0 | 10.2 | 1.3 | 4.3 | 8.0 | 10.4 | 1.3 | 4.5 | 7.9 | 10.1 | 1.3 | |||
| 2017 | 4.2 | 7.9 | 9.8 | 1.3 | 4.6 | 8.0 | 10.4 | 1.4 | 4.3 | 8.1 | 10.1 | 1.3 | 4.3 | 8.0 | 9.6 | 1.2 | 4.5 | 8.0 | 9.7 | 1.3 |
| 2018 | 4.7 | 7.8 | 11.3 | 1.4 | 5.2 | 7.9 | 11.4 | 1.5 | 4.8 | 7.8 | 9.9 | 1.2 | 5.1 | 7.9 | 10.0 | 1.2 | 4.6 | 7.9 | 10.2 | 1.2 |
| 2019 | 4.9 | 8.2 | 9.9 | 1.1 | 5.2 | 8.2 | 10.2 | 1.4 | 5.4 | 8.2 | 10.2 | 1.2 | 5.2 | 8.2 | 9.9 | 1.1 | 4.9 | 8.2 | 10.0 | 1.1 |
| 2020 | 4.9 | 7.9 | 9.7 | 1.0 | 4.3 | 7.7 | 9.7 | 1.4 | 5.4 | 7.8 | 9.6 | 1.1 | 4.7 | 7.9 | 9.4 | 1.1 | 4.4 | 7.7 | 9.4 | 1.3 |
| 2021 | 5.1 | 8.1 | 9.9 | 1.2 | 4.7 | 8.1 | 10.1 | 1.2 | 4.6 | 8.2 | 10.5 | 1.3 | 4.3 | 8.1 | 10.0 | 1.3 | 4.6 | 8.0 | 9.9 | 1.2 |
References
- Karagiannis, I.C.; Soldatos, P.G. Water Desalination Cost Literature: Review and Assessment. Desalination 2008, 223, 448–456. [Google Scholar] [CrossRef]
- Adjovu, G.E.; Stephen, H.; James, D.; Ahmad, S. Overview of the Application of Remote Sensing in Effective Monitoring of Water Quality Parameters. Remote Sens. 2023, 15, 1938. [Google Scholar] [CrossRef]
- Dey, J.; Vijay, R. A Critical and Intensive Review on Assessment of Water Quality Parameters through Geospatial Techniques. Environ. Sci. Pollut. Res. 2021, 28, 41612–41626. [Google Scholar] [CrossRef] [PubMed]
- Dörnhöfer, K.; Oppelt, N. Remote Sensing for Lake Research and Monitoring—Recent Advances. Ecol. Indic. 2016, 64, 105–122. [Google Scholar] [CrossRef]
- Dube, T.; Mutanga, O.; Seutloali, K.; Adelabu, S.; Shoko, C. Water Quality Monitoring in Sub-Saharan African Lakes: A Review of Remote Sensing Applications. Afr. J. Aquat. Sci. 2015, 40, 1–7. [Google Scholar] [CrossRef]
- Karaoui, I.; Arioua, A.; Boudhar, A.; Hssaisoune, M.; El Mouatassime, S.; Ouhamchich, K.A.; Elhamdouni, D. Evaluating the Potential of Sentinel-2 Satellite Images for Water Quality Characterization of Artificial Reservoirs: The Bin El Ouidane Reservoir Case Study (Morocco). Meteorol. Hydrol. Water Manag. Res. Oper. Appl. 2019, 7, 31–39. [Google Scholar]
- Nath, R.K.; Deb, S.K. Water-Body Area Extraction From High Resolution Satellite Images-An Introduction, Review, and Comparison. Int. J. Image Process. 2010, 3, 353–372. [Google Scholar]
- Palmer, S.C.J.; Kutser, T.; Hunter, P.D. Remote Sensing of Inland Waters: Challenges, Progress and Future Directions. Remote Sens. Environ. 2015, 157, 1–8. [Google Scholar] [CrossRef]
- Song, K. Water Quality Monitoring Using Landsat Themate Mapper Data with Empirical Algorithms in Chagan Lake, China. J. Appl. Remote Sens. 2011, 5, 053506. [Google Scholar] [CrossRef]
- Zhou, Y.; Dong, J.; Xiao, X.; Xiao, T.; Yang, Z.; Zhao, G.; Zou, Z.; Qin, Y. Open Surface Water Mapping Algorithms: A Comparison of Water-Related Spectral Indices and Sensors. Water 2017, 9, 256. [Google Scholar] [CrossRef]
- Prabhukumar, G.; Pagilla, K. Polycyclic Aromatic Hydrocarbons in Urban Runoff—Sources, Sinks and Treatment: A Review; Environmental Engineering Program; Illinois Institute of Technology: Chicago, IL, USA, 2010; pp. 1–81. [Google Scholar]
- Shaikh, T.A.; Adjovu, G.E.; Stephen, H.; Ahmad, S. Impacts of Urbanization on Watershed Hydrology and Runoff Water Quality of a Watershed: A Review. In Proceedings of the World Environmental and Water Resources Congress 2023, Henderson, NV, USA, 21–24 May 2023; Volume 1, pp. 1271–1283. [Google Scholar]
- Miller, J.D.; Hutchins, M. The Impacts of Urbanisation and Climate Change on Urban Flooding and Urban Water Quality: A Review of the Evidence Concerning the United Kingdom. J. Hydrol. Reg. Stud. 2017, 12, 345–362. [Google Scholar] [CrossRef]
- Adjovu, G.E. Evaluating the Performance of A GIS-Based Tool for Delineating Swales Along Two Highways in Tennessee; ProQuest LLC: Ann Arbor, MI, USA, 2020. [Google Scholar]
- Adjovu, G.E.; Gamble, R. Development of HEC-HMS Model for the Cane Creek Watershed. In Proceedings of the 28th Tennessee Water Resources Symposium, Burns, TN, USA, 10–12 April 2019; Tennessee Section of the American Water Resources Association: Burns, TN, USA, 2019; pp. 1C-2–1C-6. [Google Scholar]
- National Park Service Overview of Lake Mead. Available online: https://www.nps.gov/lake/learn/nature/overview-of-lake-mead.htm (accessed on 8 June 2023).
- Edalat, M.M.; Stephen, H. Socio-Economic Drought Assessment in Lake Mead, USA, Based on a Multivariate Standardized Water-Scarcity Index. Hydrol. Sci. J. 2019, 64, 555–569. [Google Scholar] [CrossRef]
- Imen, S.; Chang, N.-B.; Yang, Y.J. Monitoring Spatiotemporal Total Organic Carbon Concentrations In Lake Mead With Integrated Data Fusion And Mining (IDFM) Technique. Int. Conf. Hydroinform. 2014, 35, 1064–1093. [Google Scholar]
- Wolfe, E. Beached Boats and Sinking Shorelines: See What Extreme Drought Has Exposed at Lake Mead Beached Boats and Sinking Shorelines. Available online: https://www.cbsnews.com/news/lake-mead-water-level-historic-low-drought-heres-what-that-means/ (accessed on 8 June 2023).
- Czachor, E.M. Lake Mead’s Water Level Has Never Been Lower. Here’s What That Means. Available online: https://www.cbsnews.com/news/lake-mead-water-level-historic-low-drought-heres-what-that-means/ (accessed on 8 June 2023).
- Center for Business and Economic Research 2020–2060 Population Forecasts. 2020. Available online: https://files.clarkcountynv.gov/clarknv/2020 CBER Population Forecasts.pdf (accessed on 8 June 2023).
- Venkatesan, A.K.; Ahmad, S.; Johnson, W.; Batista, J.R. Systems Dynamic Model to Forecast Salinity Load to the Colorado River Due to Urbanization within the Las Vegas Valley. Sci. Total Environ. 2011, 409, 2616–2625. [Google Scholar] [CrossRef]
- Buma, W.G.; Lee, S. Il Evaluation of Sentinel-2 and Landsat 8 Images for Estimating Chlorophyll-a Concentrations in Lake Chad, Africa. Remote Sens. 2020, 12, 2437. [Google Scholar] [CrossRef]
- Ogashawara, I.; Mishra, D.R.; Gitelson, A.A. Remote Sensing of Inland Waters: Background and Current State-of-the-Art; Elsevier Inc.: Amsterdam, The Netherlands, 2017; ISBN 9780128046548. [Google Scholar]
- Vakili, T.; Amanollahi, J. Determination of Optically Inactive Water Quality Variables Using Landsat 8 Data: A Case Study in Geshlagh Reservoir Affected by Agricultural Land Use. J. Clean. Prod. 2020, 247, 119134. [Google Scholar] [CrossRef]
- Zhang, X.; Fichot, C.G.; Baracco, C.; Guo, R.; Neugebauer, S.; Bengtsson, Z.; Ganju, N.; Fagherazzi, S. Determining the Drivers of Suspended Sediment Dynamics in Tidal Marsh-Influenced Estuaries Using High-Resolution Ocean Color Remote Sensing. Remote Sens. Environ. 2020, 240, 111682. [Google Scholar] [CrossRef]
- Adjovu, G.E.; Stephen, H.; Ahmad, S. Spatiotemporal Variability in Total Dissolved Solids and Total Suspended Solids along the Colorado River. Hydrology 2023, 10, 125. [Google Scholar] [CrossRef]
- Chen, X.; Liu, L.; Zhang, X.; Li, J.; Wang, S.; Liu, D.; Duan, H.; Song, K. An Assessment of Water Color for Inland Water in China Using a Landsat 8-Derived Forel-Ule Index and the Google Earth Engine Platform. IEEE J. Sel. Top. Appl. Earth Obs. Remote Sens. 2021, 14, 5773–5785. [Google Scholar] [CrossRef]
- Kumar, D.N.; Reshmidevi, T.V. Remote Sensing Applications in Water Resources. J. Indian Inst. Sci. 2013, 93, 163–188. [Google Scholar]
- Mondal, K.C.; Rathod, K.G.; Joshi, H.M.; Mandal, H.S.; Khan, R.; Rajendra, K.; Mawale, Y.K.; Priya, K.; Jhariya, D.C. Impact of Land-Use and Land-Cover Change on Groundwater Quality and Quantity in the Raipur, Chhattisgarh, India: A Remote Sensing and GIS Approach. IOP Conf. Ser. Earth Environ. Sci. 2020, 597, 012011. [Google Scholar] [CrossRef]
- Butler, B.A.; Ford, R.G. Evaluating Relationships between Total Dissolved Solids (TDS) and Total Suspended Solids (TSS) in a Mining-Influenced Watershed. Mine Water Environ. 2018, 31, 18–30. [Google Scholar] [CrossRef] [PubMed]
- American Public Health Association; American Water Works Association; Water Environment Federation. Standard Methods for the Examination of Water and Wastewater; Baird, R.B., Eaton, A.D., Rice, E.W., Eds.; American Public Health Association: Washington, DC, USA, 2017; ISBN 9788578110796. [Google Scholar]
- Hossain, A.K.M.A.; Chao, X.; Jia, Y. Development of Remote Sensing Based Index for Estimating/Mapping Suspended Sediment Concentration in River and Lake Environments. In Proceedings of the 8th International Symposium on Ecohydraulics, Seoul, Republic of Korea, 12–16 September 2010; pp. 578–585. [Google Scholar]
- Adjovu, G.E.; Stephen, H.; Ahmad, S. Monitoring of Total Dissolved Solids Using Remote Sensing Band Reflectance and Salinity Indices: A Case Study of the Imperial County Section, AZ-CA, of the Colorado River. In Proceedings of the World Environmental and Water Resources Congress 2022, Atlanta, GA, USA, 5–8 June 2022. [Google Scholar] [CrossRef]
- Adjovu, G.E.; Ali Shaikh, T.; Stephen, H.; Ahmad, S. Utilization of Machine Learning Models and Satellite Data for the Estimation of Total Dissolved Solids in the Colorado River System. In World Environmental and Water Resources Congress 2023; American Society of Civil Engineers: Henderson, NV, USA, 2023; Volume 1, pp. 1147–1160. [Google Scholar]
- Crotts, A. An Experimental Technique in Lowering Total Dissolved Solids in Wastewater. Bachelor’s Thesis, University of Nevada, Las Vegas, NV, USA, 1996. [Google Scholar] [CrossRef]
- Maliki, A.A.A.; Chabuk, A.; Sultan, M.A.; Hashim, B.M.; Hussain, H.M.; Al-Ansari, N. Estimation of Total Dissolved Solids in Water Bodies by Spectral Indices Case Study: Shatt Al-Arab River. Water. Air. Soil Pollut. 2020, 231, 482. [Google Scholar] [CrossRef]
- Hossain, A.K.M.A.; Mathias, C.; Blanton, R. Remote Sensing of Turbidity in the Tennessee River Using Landsat 8 Satellite. Remote Sens. 2021, 13, 3785. [Google Scholar] [CrossRef]
- Rhoades, J.D.; Corwin, D.L.; Lesch, S.M. Geospatial Measurements of Soil Electrical Conductivity to Assess Soil Salinity and Diffuse Salt Loading from Irrigation. Geophys. Monogr. Ser. 1998, 108, 197–215. [Google Scholar] [CrossRef]
- Colorado River Basin Salinity Control Forum 2020 Review: Water Quality Standards for Salinity, Colorado River System. Available online: https://coloradoriversalinity.org/docs/2020%20REVIEW%20-%20Final%20w%20appendices.pdf (accessed on 8 June 2023).
- Tillman, F.D.; Anning, D.W. A Data Reconnaissance on the Effect of Suspended-Sediment Concentrations on Dissolved-Solids Concentrations in Rivers and Tributaries in the Upper Colorado River Basin. J. Hydrol. 2014, 519, 1020–1030. [Google Scholar] [CrossRef]
- Bureau of Reclamation Quality of Water Progress Report No. 24. Available online: https://www.usbr.gov/uc/progact/salinity/pdfs/PR24final.pdf (accessed on 8 June 2023).
- Nauman, T.W.; Ely, C.P.; Miller, M.P.; Duniway, M.C. Salinity Yield Modeling of the Upper Colorado River Basin Using 30-m Resolution Soil Maps and Random Forests. Water Resour. Res. 2019, 55, 4954–4973. [Google Scholar] [CrossRef]
- Tillman, F.D.; Day, N.K.; Miller, M.P.; Miller, O.L.; Rumsey, C.A.; Wise, D.R.; Longley, P.C.; McDonnell, M.C. A Review of Current Capabilities and Science Gaps in Water Supply Data, Modeling, and Trends for Water Availability Assessments in the Upper Colorado River Basin. Water 2022, 14, 3813. [Google Scholar] [CrossRef]
- Ladwig, R.; Rock, L.A.; Dugan, H.A. Impact of Salinization on Lake Stratification and Spring Mixing. Limnol. Oceanogr. Lett. 2021, 8, 93–102. [Google Scholar] [CrossRef]
- Weber-Scannell, P.K.; Duffy, L.K. Effects of Total Dissolved Solids on Aquatic Organisms: A Review of Literature and Recommendation for Salmonid Species. Am. J. Environ. Sci. 2007, 3, 1–6. Available online: https://thescipub.com/abstract/ajessp.2007.1.6 (accessed on 8 June 2023).
- Mueller, J.S.; Grabowski, T.B.; Brewer, S.K.; Worthington, T.A. Effects of Temperature, Total Dissolved Solids, and Total Suspended Solids on Survival and Development Rate of Larval Arkansas River Shiner. J. Fish Wildl. Manag. 2017, 8, 79–88. [Google Scholar] [CrossRef]
- Sallam, G.A.H.; Elsayed, E.A. Estimating Relations between Temperature, Relative Humidity as Independent Variables and Selected Water Quality Parameters in Lake Manzala, Egypt. Ain Shams Eng. J. 2018, 9, 1–14. [Google Scholar] [CrossRef]
- Sagan, V.; Peterson, K.T.; Maimaitijiang, M.; Sidike, P.; Sloan, J.; Greeling, B.A.; Maalouf, S.; Adams, C. Monitoring Inland Water Quality Using Remote Sensing: Potential and Limitations of Spectral Indices, Bio-Optical Simulations, Machine Learning, and Cloud Computing. Earth-Sci. Rev. 2020, 205, 103187. [Google Scholar] [CrossRef]
- Imen, S.; Chang, N.-B.; Yang, Y.J. Developing the Remote Sensing-Based Early Warning System for Monitoring TSS Concentrations in Lake Mead. J. Environ. Manag. 2015, 160, 73–89. [Google Scholar] [CrossRef]
- Hach Solids (Total & Dissolved). Available online: https://www.hach.com/parameters/solids (accessed on 8 June 2023).
- Hajigholizadeh, M.; Moncada, A.; Kent, S.; Melesse, A.M. Land–lake Linkage and Remote Sensing Application in Water Quality Monitoring in Lake Okeechobee, Florida, Usa. Land 2021, 10, 147. [Google Scholar] [CrossRef]
- Sanjoto, T.B.; Elwafa, A.H.; Tjahjono, H.; Sidiq, W.A.B.N. Study of Total Suspended Solid Concentration Based on Doxaran Algorithm Using Landsat 8 Image in Coastal Water between Bodri River Estuary up to East Flood Canal Semarang City. IOP Conf. Ser. Earth Environ. Sci. 2020, 561, 0120530. [Google Scholar] [CrossRef]
- Gholizadeh, M.H. Water Quality Modelling Using Multivariate Statistical Analysis and Remote Sensing in South Florida. Ph.D. Dissertation, Florida International University, Miami, FL, USA, 2016. [Google Scholar] [CrossRef]
- Fant, C.; Srinivasan, R.; Boehlert, B.; Rennels, L.; Chapra, S.C.; Strzepek, K.M.; Corona, J.; Allen, A.; Martinich, J. Climate Change Impacts on US Water Quality Using Two Models: HAWQS and US Basins. Water 2017, 9, 118. [Google Scholar] [CrossRef]
- Malian, A.; Rezayan, H.; Sakkizadeh, M.; Farhang, Z. Reservoir Water Temperature Modeling by Geostatistical Analysis of ASTER Images (Case Study: Dez Dam, Iran). Int. J. Energ. Water Resour. 2017, 1, 27–36. [Google Scholar]
- Hafeez, S.; Wong, M.S.; Ho, H.C.; Nazeer, M.; Nichol, J.; Abbas, S.; Tang, D.; Lee, K.H.; Pun, L. Comparison of Machine Learning Algorithms for Retrieval of Water Quality Indicators in Case-II Waters: A Case Study of Hong Kong. Remote Sens. 2019, 11, 617. [Google Scholar] [CrossRef]
- Mesa-Marín, J.; Redondo-Gómez, S.; Rodríguez-Llorente, I.D.; Pajuelo, E.; Mateos-Naranjo, E. Seasonal Phytoplankton Succession in Netravathi—Gurupura Estuary, Karnataka, India: Study on a Three Tier Hydrographic Platform. Estuar. Coast. Shelf Sci. 2020, 242, 106830. [Google Scholar] [CrossRef]
- Harvey, E.T.; Kratzer, S.; Philipson, P. Satellite-Based Water Quality Monitoring for Improved Spatial and Temporal Retrieval of Chlorophyll-a in Coastal Waters. Remote Sens. Environ. 2015, 158, 417–430. [Google Scholar] [CrossRef]
- Ondrusek, M.; Stengel, E.; Kinkade, C.S.; Vogel, R.L.; Keegstra, P.; Hunter, C.; Kim, C. The Development of a New Optical Total Suspended Matter Algorithm for the Chesapeake Bay. Remote Sens. Environ. 2012, 119, 243–254. [Google Scholar] [CrossRef]
- Barrett, D.C.; Frazier, A.E. Automated Method for Monitoring Water Quality Using Landsat Imagery. Water 2016, 8, 257. [Google Scholar] [CrossRef]
- National Park Service Mixing It up in Lakes Mead & Mohave. Available online: https://www.nps.gov/lake/learn/hydrology.htm (accessed on 8 June 2023).
- Bureau of Reclamation Windy Gap Firming Project Water Resources Technical Report. Available online: https://www.usbr.gov/gp/ecao/wgfp_eis/water_resources_tech_report.pdf (accessed on 8 June 2023).
- Appendix F:Water Quality Modeling Documentation. Available online: https://www.usbr.gov/lc/region/programs/strategies/FEIS/AppF.pdf (accessed on 8 June 2023).
- Hayden, L.; Wood, J.; Hassell, S.; Jones, A.; Deese, A. Water-Quality Assessment of the Pasquotank River Watershed; Analysis of Dissolved Oxygen, PH, Salt, Total Dissolved Solids, and Conductivity. Available online: http://nia.ecsu.edu/ureomps2011/teams/ptank/PQT%20IEEE%20PAPER.pdf (accessed on 8 June 2023).
- Woodside, J. What Is the Difference among Turbidity, TDS, and TSS? Available online: https://www.ysi.com/ysi-blog/water-blogged-blog/2022/05/understanding-turbidity-tds-and-tss (accessed on 8 June 2023).
- Zhang, K.; Amineh, R.K.; Dong, Z.; Nadler, D. Microwave Sensing of Water Quality. IEEE Access 2019, 7, 69481–69493. [Google Scholar] [CrossRef]
- Venkatesan, A.K.; Ahmad, S.; Johnson, W.; Batista, J.R. Salinity Reduction and Energy Conservation in Direct and Indirect Potable Water Reuse. Desalination 2011, 272, 120–127. [Google Scholar] [CrossRef]
- Earp, K.J.; Moreo, M.T. Evaporation from Lake Mead and Lake Mohave, Nevada and Arizona, 2010–2019; United States Geological Survey: Reston, VA, USA, 2021. [CrossRef]
- Rosen, M.R.; Turner, K.; Goodbred, S.L.; Miller, J.M. A Synthesis of Aquatic Science for Management of Lakes Mead and Mohave; United States Geological Survey: Reston, VA, USA, 2012; ISBN 9781411335271.
- National Park Service Sun, More Sun and a Bit of Rain. Available online: https://www.nps.gov/lake/planyourvisit/weather.htm (accessed on 9 June 2023).
- Adjovu, G.E.; Ahmad, S.; Stephen, H. Analysis of Suspended Material in Lake Mead Using Remote Sensing Indices. In Proceedings of the World Environmental and Water Resources Congress 2021, Virtual Conference, 7–11 June 2021. [Google Scholar] [CrossRef]
- Sierks, M.D.; Kalansky, J.; Cannon, F.; Ralph, F.M. Characteristics, Origins, and Impacts of Summertime Extreme Precipitation in the Lake Mead Watershed. J. Clim. 2020, 33, 2663–2680. [Google Scholar] [CrossRef]
- Morfín, O. Effects of System Conservation on Salinity in Lake Mead. Available online: https://www.multi-statesalinitycoalition.com/wp-content/uploads/2017-Morfin.pdf (accessed on 8 June 2023).
- Darvishi, M.; Destouni, G.; Aminjafari, S.; Jaramillo, F. Multi-Sensor InSAR Assessment of Ground Deformations around Lake Mead and Its Relation to Water Level Changes. Remote Sens. 2021, 13, 406. [Google Scholar] [CrossRef]
- USBR. Colorado River Interim Surplus Criteria Draft Environmental Impact Statement. 2020. Available online: https://www.usbr.gov/lc/region/g4000/surplus1/pdf/Chapters/Chapter_3/Chapter_3.05.pdf (accessed on 8 June 2023).
- Li, Y.; Acharya, K.; Chen, D.; Stone, M. Modeling Water Ages and Thermal Structure of Lake Mead under Changing Water Levels. Lake Reserv. Manag. 2010, 26, 258–272. [Google Scholar] [CrossRef]
- Bai, X.; Acharya, K. Algae-Mediated Removal of Selected Pharmaceutical and Personal Care Products (PPCPs) from Lake Mead Water. Sci. Total Environ. 2017, 581–582, 734–740. [Google Scholar] [CrossRef]
- Bid, S.; Siddique, G. Identification of Seasonal Variation of Water Turbidity Using NDTI Method in Panchet Hill Dam, India. Model. Earth Syst. Environ. 2019, 5, 1179–1200. [Google Scholar] [CrossRef]
- Kondolf, G.M.; Gao, Y.; Annandale, G.W.; Morris, G.L.; Jiang, E.; Zhang, J.; Cao, Y.; Carling, P.; Fu, K.; Guo, Q.; et al. Sustainable Sediment Management in Reservoirs and Regulated Rivers: Experiences from Five Continents. Earth’s Future 2014, 2, 256–280. [Google Scholar] [CrossRef]
- Ferrari, R.L. 2001 Lake Mead Sedimentation Survey 2001; U.S. Department of the Interior, Bureau of Reclamation, Technical Service Center, Water Resources Services Division, Sedimentation and River Hydraulics Group: Washington, DC, USA, 2008.
- Dunbar, M.; Harney, S.; Morgan, D.; LaRance, D.; Speaks, F. Lake Mead and Las Vegas Wash 2019 Annual Report. City of Las Vegas, Clark County Water Reclamation District, City of Henderson City, City of North Las Vegas. 2020. Available online: https://drive.google.com/file/d/1XSWvEf74XX2KULmsYQ3ZHRAsOo8RsXN8/view (accessed on 8 June 2023).
- Robinson, A.P.; Hamann, J.D. Forest Analytics with R; Springer: Berlin/Heidelberg, Germany, 2011; ISBN 9781441977618. [Google Scholar]
- US Bureau of Reclamation Reclamation Information Sharing Environment (RISE). Available online: https://data.usbr.gov/ (accessed on 10 June 2023).
- Boulder Canyon Operations Office; River Operations Group; Tighi, S.; Callejo, R. Lake Mead Area and Capacity Tables. Available online: https://www.usbr.gov/lc/region/g4000/LM_AreaCapacityTables2009.pdf (accessed on 9 June 2023).
- Riverware Mathematical Basis for Reservoir Simulation. Available online: https://www.riverware.org/HelpSystem/9.0-Help/index.html#page/SolutionApproaches/Solutions_Simulation.2.2.html%23 (accessed on 9 June 2023).
- US Bureau of Reclamation USBR Hydrologic Database (HDB) System Data Access. Available online: https://www.usbr.gov/pn-bin/hdb/hdb.pl?svr=lchdb&sdi=2091,1776,2093&tstp=MN&t1=2013-01-01&t2=2023-05-01&table=R&mrid=0&format=2 (accessed on 10 June 2023).
- Kim, H. Analysis of Variance (ANOVA) Comparing Means of More than Two Groups. Restor. Dent. Endod. 2014, 7658, 74–77. [Google Scholar] [CrossRef] [PubMed]
- Hidayati, N.F.; Rahman, M.; Fauzana, N.A.; Aisiah, S. Effectiveness of Chitosan To Reduce the Color Value, Turbidity, and Total Dissolved Solids in Shrimp-Washing Wastewater. Russ. J. Agric. Socio-Econ. Sci. 2021, 115, 82–88. [Google Scholar] [CrossRef]
- Kim, T.K. Understanding One-Way Anova Using Conceptual Figures. Korean J. Anesthesiol. 2017, 70, 22–26. [Google Scholar] [CrossRef]
- Suharini, E.; Ariyadi, M.H.; Kurniawan, E. Google Earth pro as a Learning Media for Mitigation and Adaptation of Landslide Disaster. Int. J. Inf. Educ. Technol. 2020, 10, 820–825. [Google Scholar] [CrossRef]
- Koparan, C.; Koc, A.B.; Privette, C.V.; Sawyer, C.B. In Situ Water Quality Measurements Using an Unmanned Aerial Vehicle (UAV) System. Water 2018, 10, 264. [Google Scholar] [CrossRef]
- Poudel, U.; Stephen, H.; Ahmad, S. Evaluating Irrigation Performance and Water Productivity Using EEFlux ET and NDVI. Sustainability 2021, 13, 7967. [Google Scholar] [CrossRef]
- ESRI IDW (Spatial Analyst). Available online: https://pro.arcgis.com/en/pro-app/latest/tool-reference/spatial-analyst/idw.htm (accessed on 9 June 2023).
- Arulbalaji, P.; Padmalal, D.; Sreelash, K. GIS and AHP Techniques Based Delineation of Groundwater Potential Zones: A Case Study from Southern Western Ghats, India. Sci. Rep. 2019, 9, 2082. [Google Scholar] [CrossRef]
- Scheeres, A. Kriging: Spatial Interpolation in Desktop GIS. Available online: https://www.azavea.com/blog/2016/09/12/kriging-spatial-interpolation-desktop-gis/ (accessed on 9 June 2023).
- ESRI Kriging (Spatial Analyst). Available online: https://pro.arcgis.com/en/pro-app/latest/tool-reference/spatial-analyst/kriging.htm (accessed on 9 June 2023).
- O’Connor, D.J. Seasonal and Long-Term Variations of Dissolved Solids in Lakes and Reservoirs. J. Environ. Eng. 1989, 115, 1213–1234. [Google Scholar] [CrossRef]
- Bengtsson, L.; Fortin, V.; Gronewold, A.D.; Tanino, Y.; Surridge, B.; Watson, N.; Herschy, R.W. Water Quality in Lakes and Reservoirs; Springer: Dordrecht, The Netherlands, 2012; ISBN 9781402044106. [Google Scholar]
- EPA 2018 Edition of the Drinking Water Standards and Health Advisories Tables. In Drinking Water Standards and Health Advisories; EPA: Washington, DC, USA, 2018. Available online: https://www.epa.gov/system/files/documents/2022-01/dwtable2018.pdf (accessed on 8 June 2023).
- Epa 816-F-09-004; National Primary Drinking Water Guidelines. U.S. EPA, United States Environmental Protection Agency: Washington, DC, USA, 2009; 7p.
- Mejía Ávila, D.; Torres-Bejarano, F.; Martínez Lara, Z. Spectral Indices for Estimating Total Dissolved Solids in Freshwater Wetlands Using Semi-Empirical Models. A Case Study of Guartinaja and Momil Wetlands. Int. J. Remote Sens. 2022, 43, 2156–2184. [Google Scholar] [CrossRef]
- Venkatesan, A.K.; Ahmad, S.; Batista, J.R.; Johnson, W.S. Total Dissolved Solids Contribution to the Colorado River Associated with the Growth of Las Vegas Valley. In Proceedings of the World Environmental and Water Resources Congress 2010, Providence, RI, USA, 16 May 2010; pp. 3376–3385. [Google Scholar] [CrossRef]
- Whitney, J.W.; Glancy, P.A.; Buckingham, S.E.; Ehrenberg, A.C. Effects of Rapid Urbanization on Streamflow, Erosion, and Sedimentation in a Desert Stream in the American Southwest. Anthropocene 2015, 10, 29–42. [Google Scholar] [CrossRef]
- Joshi, N.; Tamaddun, K.; Parajuli, R.; Kalra, A.; Maheshwari, P.; Mastino, L.; Velotta, M. Future Changes in Water Supply and Demand for Las Vegas Valley: A System Dynamic Approach based on CMIP3 and CMIP5 Climate Projections. Hydrology 2020, 7, 16. [Google Scholar] [CrossRef]
- Giardino, C.; Bresciani, M.; Braga, F.; Cazzaniga, I.; De Keukelaere, L.; Knaeps, E.; Brando, V.E. Bio-Optical Modeling of Total Suspended Solids; Elsevier Inc.: Amsterdam, The Netherlands, 2017; ISBN 9780128046548. [Google Scholar]
- Albuquerque, S. A System Model for Source Water Assessment in the Las Vegas Valley. Master’s Thesis, University of Nevada, Las Vegas, NV, USA, 2004. [Google Scholar]
- Pereira, O.J.R.; Merino, E.R.; Montes, C.R.; Barbiero, L.; Rezende-Filho, A.T.; Lucas, Y.; Melfi, A.J. Estimating Water PH Using Cloud-Based Landsat Images for a New Classification of the NhecolâNdia Lakes (Brazilian Pantanal). Remote Sens. 2020, 12, 1090. [Google Scholar] [CrossRef]
- Mukherjee, A.; Bhanja, S.N.; Wada, Y. Groundwater Depletion Causing Reduction of Baseflow Triggering Ganges River Summer Drying. Sci. Rep. 2018, 8, 12049. [Google Scholar] [CrossRef] [PubMed]
- Khan, N.M.; Rastoskuev, V.V.; Sato, Y.; Shiozawa, S. Assessment of Hydrosaline Land Degradation by Using a Simple Approach of Remote Sensing Indicators. Agric. Water Manag. 2005, 77, 96–109. [Google Scholar] [CrossRef]
- Poddar, S.; Chacko, N.; Swain, D. Estimation of Chlorophyll-a in Northern Coastal Bay of Bengal Using Landsat-8 OLI and Sentinel-2 MSI Sensors. Front. Mar. Sci. 2019, 6, 598. [Google Scholar] [CrossRef]
- Wikipedia Lake Mead. Available online: https://en.wikipedia.org/wiki/Lake_Mead (accessed on 8 June 2023).
- Zach How to Interpret the F-Value and P-Value in ANOVA. Available online: https://www.statology.org/anova-f-value-p-value/ (accessed on 10 June 2023).
- Ghasemi, A.; Zahediasl, S. Normality Tests for Statistical Analysis: A Guide for Non-Statisticians. Int. J. Endocrinol. Metab. 2012, 10, 486–489. [Google Scholar] [CrossRef]
- Mishra, P.; Pandey, C.M.; Singh, U.; Gupta, A.; Sahu, C.; Keshri, A. Descriptive Statistics and Normality Tests for Statistical Data. Ann. Card. Anaesth. 2019, 22, 67–72. [Google Scholar] [CrossRef]
- Pérez-Gutiérrez, J.D.; Paz, J.O.; Tagert, M.L.M. Seasonal Water Quality Changes in On-Farm Water Storage Systems in a South-Central U.S. Agricultural Watershed. Agric. Water Manag. 2017, 187, 131–139. [Google Scholar] [CrossRef]
- Giao, N.T.; Van Cong, N.; Nhien, H.T.H. Using Remote Sensing and Multivariate Statistics in Analyzing the Relationship between Land Use Pattern and Water Quality in Tien Giang Province, Vietnam. Water 2021, 13, 1093. [Google Scholar] [CrossRef]













| No. | Station | Location and Zones | Purpose | Lat./Long. | Frequency and Dates |
|---|---|---|---|---|---|
| 1 | LWLVB1.2 | In channel 1.2 mi from the confluence of LWLVB. Sampling collected at the epilimnion and hypolimnion | In compliance with requirements for maintaining existing higher quality and beneficial use set by NAC 445A.197 | Movable | Weekly (March-October) Monthly (November–February) 2016–2021 |
| 2 | LWLVB1.85 | In channel 1.85 mi from the confluence of LWLVB. Sampling collected at the epilimnion, metalimnion, and hypolimnion | In compliance with requirements for maintaining existing higher quality and beneficial use set by NAC 445A.195 | Movable | Weekly (March-October) Monthly (November–February) 2016–2021 |
| 3 | LWLVB2.7 | In channel 2.7 mi from the confluence of the LWLVB. Sampling collected at the epilimnion, metalimnion, and hypolimnion | In compliance with requirements for maintaining existing higher quality and beneficial use set by NAC 445A.195 | Movable | Biweekly (March–October) Monthly (November–February) 2016–2021 |
| 4 | LWLVB3.5 | In channel 3.5 mi from the confluence of the LWLVB. Sampling collected at the epilimnion, metalimnion, and hypolimnion | In compliance with requirements for maintaining existing higher quality and beneficial use set by NAC 445A.195 | Movable | Biweekly (March–October) Monthly (November–February) 2016–2021 |
| 5 | IPS3 | In Boulder Basin on the northeast side of the mouth of Las Vegas Bay. Sampling collected at the epilimnion, metalimnion, and hypolimnion | To assess the impacts of LVW on the Boulder Basin and the Southern Nevada Water Authority (SNWA) drinking water intake | 36.0896° N 114.7662° W | Monthly year-round 2017–2021 |
| 6 | BB3 | In Boulder Basin on the northeast side of Saddle Island. Sampling collected at the epilimnion, metalimnion, and hypolimnion | To assess the impacts of LVW on the Boulder Basin and the SNWA drinking water intake | 36.0715° N 114.7832° W | Monthly year-round 2016–2021 |
| 7 | CR350.0SE0.55 | Between Battleship Rock and Burro Point. Sampling collected at the epilimnion, metalimnion, and hypolimnion | To assess the baseline concentrations in the lake upstream of the Las Vegas Bay | 36.0985° N 114.7257° W | Monthly year-round 2016–2021 |
| 8 | CR346.4 | In Boulder Basin between Sentinel Island and the shoreline of Castle Cove. Sampling collected at the epilimnion, metalimnion, and hypolimnion | To assess the impacts of LVW on the Boulder Basin | 36.0617° N 114.7392° W | Monthly year-round 2016–2021 |
| 9 | CR342.5 | In Boulder Basin in the middle of Black Canyon, near the Hoover Dam. Sampling collected at the epilimnion, metalimnion, and hypolimnion | Temporary station co-operated by LVVD and SNWA to assess the plausible effects on the downstream | 36.01910° N 114.7333° W | Monthly year-round 2016–2021 |
| Statistics | TDS (mg/L) | TSS (mg/L) | Temperature (°C) | DO (mg/L) |
|---|---|---|---|---|
| Count | 2964 | 2757 | 2964 | 2964 |
| Min | 397.0 | 5.0 | 11.4 | 0.5 |
| Mean | 635.3 | 5.2 | 18.3 | 7.7 |
| Max | 1030.0 | 49.0 | 31.3 | 13.8 |
| Std. | 79.9 | 1.6 | 5.7 | 1.8 |
| TDS (mg/L) | TSS (mg/L) | Temperature (°C) | DO (mg/L) | |||||||||||||
|---|---|---|---|---|---|---|---|---|---|---|---|---|---|---|---|---|
| Month | Min | Mean | Max | Std | Min | Mean | Max | Std | Min | Mean | Max | Std | Min | Mean | Max | Std |
| 1 | 527.0 | 602.6 | 854.0 | 35.9 | 5.0 | 5.0 | 11.0 | 0.5 | 12.3 | 13.5 | 15.0 | 0.5 | 5.6 | 8.3 | 9.5 | 1.0 |
| 2 | 533.0 | 599.9 | 783.0 | 38.8 | 5.0 | 5.0 | 8.5 | 0.3 | 11.8 | 12.9 | 14.9 | 0.5 | 5.7 | 8.8 | 9.8 | 0.8 |
| 3 | 521.0 | 630.3 | 995.0 | 73.0 | 5.0 | 5.0 | 12.0 | 0.4 | 11.5 | 13.4 | 19.7 | 1.3 | 7.2 | 9.2 | 11.0 | 0.6 |
| 4 | 397.0 | 637.8 | 963.0 | 85.6 | 5.0 | 5.0 | 7.2 | 0.2 | 11.4 | 14.8 | 20.9 | 2.5 | 6.4 | 9.1 | 11.9 | 0.8 |
| 5 | 525.0 | 650.2 | 1030.0 | 92.6 | 5.0 | 5.1 | 13.0 | 0.6 | 11.5 | 17.2 | 24.7 | 4.0 | 6.1 | 8.9 | 12.0 | 1.0 |
| 6 | 493.0 | 657.4 | 1010.0 | 101.9 | 5.0 | 5.0 | 8.9 | 0.3 | 11.6 | 20.1 | 29.1 | 5.6 | 4.9 | 8.2 | 13.8 | 1.1 |
| 7 | 541.0 | 664.1 | 1030.0 | 93.4 | 5.0 | 5.2 | 14.0 | 0.9 | 11.7 | 22.1 | 31.2 | 6.7 | 3.0 | 7.5 | 10.2 | 1.4 |
| 8 | 527.0 | 657.8 | 996.0 | 85.4 | 5.0 | 5.1 | 17.0 | 0.8 | 11.8 | 22.9 | 31.3 | 6.7 | 0.6 | 6.8 | 11.7 | 2.0 |
| 9 | 528.0 | 641.7 | 931.0 | 77.2 | 5.0 | 5.3 | 19.0 | 1.2 | 11.9 | 21.9 | 30.2 | 5.8 | 0.7 | 6.0 | 11.1 | 2.2 |
| 10 | 523.0 | 621.5 | 936.0 | 59.0 | 5.0 | 6.0 | 49.0 | 4.1 | 12.0 | 19.8 | 26.2 | 4.0 | 0.5 | 6.1 | 8.7 | 1.8 |
| 11 | 542.0 | 598.6 | 851.0 | 46.1 | 5.0 | 5.3 | 20.0 | 1.7 | 12.1 | 17.8 | 21.8 | 3.2 | 2.3 | 6.7 | 8.2 | 1.3 |
| 12 | 530.0 | 591.0 | 716.0 | 27.2 | 5.0 | 5.0 | 7.2 | 0.2 | 12.0 | 15.5 | 17.2 | 1.6 | 3.9 | 7.7 | 8.7 | 1.0 |
| TDS (mg/L) | TSS (mg/L) | Temperature (°C) | DO (mg/L) | |||||||||||||
|---|---|---|---|---|---|---|---|---|---|---|---|---|---|---|---|---|
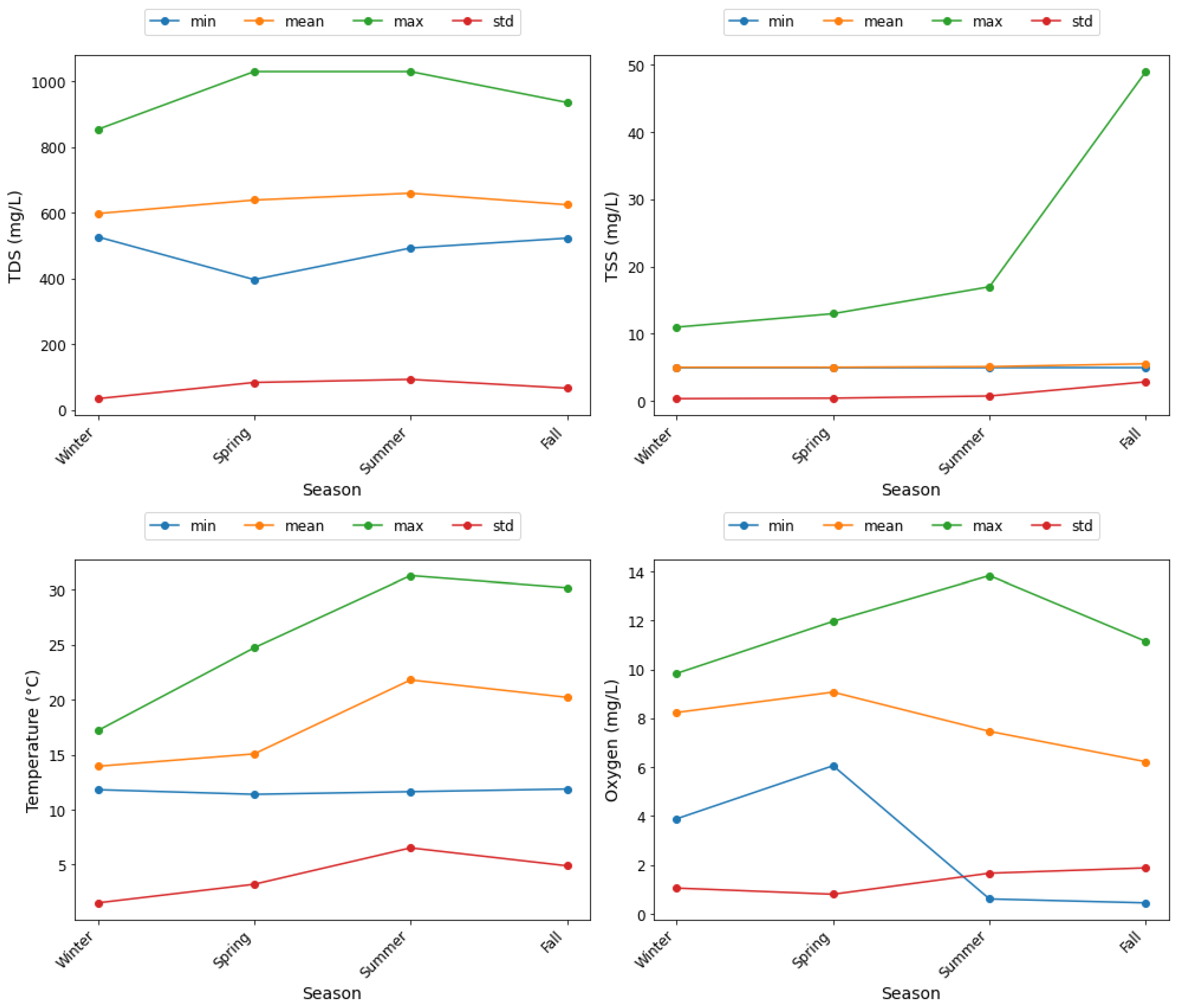
| Season | Min | Mean | Max | Std | Min | Mean | Max | Std | Min | Mean | Max | Std | Min | Mean | Max | Std |
| Winter | 527.0 | 597.9 | 854.0 | 34.6 | 5.0 | 5.0 | 11.0 | 0.4 | 11.8 | 13.9 | 17.2 | 1.5 | 3.9 | 8.2 | 9.8 | 1.1 |
| Spring | 397.0 | 639.1 | 1030.0 | 83.9 | 5.0 | 5.0 | 13.0 | 0.4 | 11.4 | 15.1 | 24.7 | 3.2 | 6.1 | 9.1 | 12.0 | 0.8 |
| Summer | 493.0 | 659.8 | 1030.0 | 93.3 | 5.0 | 5.1 | 17.0 | 0.8 | 11.6 | 21.8 | 31.3 | 6.5 | 0.6 | 7.5 | 13.8 | 1.7 |
| Fall | 523.0 | 624.8 | 936.0 | 66.5 | 5.0 | 5.6 | 49.0 | 2.9 | 11.9 | 20.2 | 30.2 | 4.9 | 3.9 | 8.2 | 9.8 | 1.1 |
| TDS (mg/L) | TSS (mg/L) | Temperature (°C) | DO (mg/L) | |||||||||||||
|---|---|---|---|---|---|---|---|---|---|---|---|---|---|---|---|---|
| Year | Min | Mean | Max | Std | Min | Mean | Max | Std | Min | Mean | Max | Std | Min | Mean | Max | Std |
| 2016 | 560.0 | 671.2 | 1030.0 | 80.1 | 5.0 | 5.3 | 20.0 | 1.3 | 11.6 | 18.1 | 30.0 | 5.5 | 1.4 | 7.7 | 13.8 | 1.8 |
| 2017 | 530.0 | 650.5 | 980.0 | 77.1 | 5.0 | 5.2 | 45.0 | 2.1 | 12.2 | 18.4 | 31.2 | 5.7 | 0.6 | 7.8 | 12.0 | 1.9 |
| 2018 | 397.0 | 621.4 | 896.0 | 69.6 | 5.0 | 5.1 | 16.0 | 0.6 | 12.4 | 18.4 | 31.2 | 5.7 | 0.9 | 7.6 | 11.4 | 1.8 |
| 2019 | 401.0 | 619.5 | 963.0 | 76.1 | 5.0 | 5.2 | 16.0 | 1.1 | 11.4 | 17.8 | 30.4 | 5.5 | 1.9 | 8.0 | 11.1 | 1.6 |
| 2020 | 493.0 | 629.3 | 996.0 | 84.3 | 5.0 | 5.1 | 10.0 | 0.6 | 12.0 | 18.9 | 30.5 | 6.1 | 1.5 | 7.3 | 10.9 | 1.9 |
| 2021 | 521.0 | 620.8 | 972.0 | 79.2 | 5.0 | 5.3 | 49.0 | 2.4 | 11.6 | 18.2 | 31.3 | 5.9 | 0.5 | 7.8 | 10.5 | 1.8 |
| Shapiro–Wilk Normality Test | ||
|---|---|---|
| WQPs | Test Statistic | p-Value |
| TDS | 0.849 | 0.000 |
| TSS | 0.105 | 0.000 |
| Temperature | 0.884 | 0.000 |
| DO | 0.912 | 0.000 |
| Levene Homogeneity of Variance Test | |
|---|---|
| Test Statistic | p-Value |
| 2023.222 | 0.000 |
| TDS | TSS | Temperature | DO | |||||
|---|---|---|---|---|---|---|---|---|
| Month | Test Statistic | p-Value | Test Statistic | p-Value | Test Statistic | p-Value | Test Statistic | p-Value |
| 1 | 0.980 | 0.322 | 0.000 | 0.996 | 71.683 | 0.000 | 26.605 | 0.000 |
| 2 | 18.410 | 0.000 | 0.636 | 0.425 | 10.869 | 0.001 | 23.812 | 0.000 |
| 3 | 0.788 | 0.375 | 0.723 | 0.395 | 30.706 | 0.000 | 0.401 | 0.527 |
| 4 | 1.308 | 0.253 | 3.110 | 0.078 | 46.999 | 0.000 | 6.941 | 0.008 |
| 5 | 0.258 | 0.612 | 0.253 | 0.615 | 47.716 | 0.000 | 56.721 | 0.000 |
| 6 | 2.177 | 0.140 | 10.506 | 0.001 | 30.853 | 0.000 | 34.702 | 0.000 |
| 7 | 0.172 | 0.678 | 1.895 | 0.169 | 4.142 | 0.042 | 33.752 | 0.000 |
| 8 | 6.011 | 0.014 | 1.515 | 0.218 | 16.167 | 0.000 | 17.040 | 0.000 |
| 9 | 8.000 | 0.005 | 2.945 | 0.086 | 55.215 | 0.000 | 0.093 | 0.760 |
| 10 | 21.944 | 0.000 | 2.847 | 0.092 | 57.042 | 0.000 | 14.008 | 0.000 |
| 11 | 0.056 | 0.812 | 5.473 | 0.019 | 56.576 | 0.000 | 81.126 | 0.000 |
| 12 | 8.476 | 0.004 | 0.333 | 0.564 | 84.014 | 0.000 | 79.285 | 0.000 |
| TDS | TSS | Temperature | DO | |||||
|---|---|---|---|---|---|---|---|---|
| Test Statistic | p-Value | Test Statistic | p-Value | Test Statistic | p-Value | Test Statistic | p-Value | |
| Winter | 463.000 | 0.491 | 409.000 | 0.491 | 832.000 | 0.491 | 463.000 | 0.491 |
| Spring | 832.000 | 0.493 | 784.000 | 0.493 | 832.000 | 0.493 | 832.000 | 0.493 |
| Summer | 901.000 | 0.494 | 850.000 | 0.494 | 901.000 | 0.494 | 901.000 | 0.494 |
| Fall | 764.000 | 0.493 | 710.000 | 0.493 | 764.000 | 0.493 | 764.000 | 0.493 |
| TDS | TSS | Temperature | DO | |||||
|---|---|---|---|---|---|---|---|---|
| Year | Test Statistic | p-Value | Test Statistics | p-Value | Test Statistic | p-Value | Test Statistic | p-Value |
| 2016 | 497.000 | 0.492 | 461.000 | 0.491 | 497.000 | 0.492 | 497.000 | 0.492 |
| 2017 | 496.000 | 0.492 | 460.000 | 0.491 | 496.000 | 0.492 | 496.000 | 0.492 |
| 2018 | 510.000 | 0.492 | 474.000 | 0.491 | 510.000 | 0.492 | 510.000 | 0.492 |
| 2019 | 508.000 | 0.492 | 472.000 | 0.491 | 508.000 | 0.492 | 508.000 | 0.492 |
| 2020 | 395.000 | 0.491 | 368.000 | 0.490 | 395.000 | 0.491 | 395.000 | 0.491 |
| 2021 | 552.000 | 0.492 | 516.000 | 0.492 | 552.000 | 0.492 | 552.000 | 0.492 |
| TDS | TSS | Temperature | DO | |||||
|---|---|---|---|---|---|---|---|---|
| Period | Statistics | p-Value | Statistics | p-Value | Statistics | p-Value | Statistics | p-Value |
| Month | 225.097 | 0.000 | 88.083 | 0.000 | 868.249 | 0.000 | 1374.629 | 0.000 |
| Season | 181.729 | 0.000 | 67.034 | 0.000 | 749.990 | 0.000 | 1326.126 | 0.000 |
| Year | 322.744 | 0.000 | 32.076 | 0.000 | 16.287 | 0.006 | 42.181 | 0.000 |
| TDS (mg/L) | TSS (mg/L) | Temperature (°C) | DO (mg/L) | |||||||||||||||||
|---|---|---|---|---|---|---|---|---|---|---|---|---|---|---|---|---|---|---|---|---|
| Zone | Count | Min | Mean | Max | Std | Count | Min | Mean | Max | Std | Count | Min | Mean | Max | Std | Count | Min | Mean | Max | Std |
| Epilimnion | 1042 | 397 | 666.0 | 1030 | 94.1 | 973 | 5 | 5.0 | 16 | 0.4 | 1042 | 12 | 21.8 | 31 | 5.7 | 1042 | 5 | 8.7 | 14 | 0.9 |
| Metalimnion | 884 | 401 | 638.7 | 996 | 74.0 | 815 | 5 | 5.1 | 19 | 1.0 | 884 | 12 | 19.5 | 29 | 5.0 | 884 | 2 | 7.6 | 11 | 1.8 |
| Hypolimnion | 1038 | 459 | 601.4 | 939 | 51.0 | 969 | 5 | 5.4 | 49 | 2.4 | 1038 | 11 | 13.7 | 23 | 2.3 | 1038 | 0 | 6.8 | 10 | 1.9 |
Disclaimer/Publisher’s Note: The statements, opinions and data contained in all publications are solely those of the individual author(s) and contributor(s) and not of MDPI and/or the editor(s). MDPI and/or the editor(s) disclaim responsibility for any injury to people or property resulting from any ideas, methods, instructions or products referred to in the content. |
© 2023 by the authors. Licensee MDPI, Basel, Switzerland. This article is an open access article distributed under the terms and conditions of the Creative Commons Attribution (CC BY) license (https://creativecommons.org/licenses/by/4.0/).
Share and Cite
Adjovu, G.E.; Stephen, H.; Ahmad, S. Spatial and Temporal Dynamics of Key Water Quality Parameters in a Thermal Stratified Lake Ecosystem: The Case Study of Lake Mead. Earth 2023, 4, 461-502. https://doi.org/10.3390/earth4030025
Adjovu GE, Stephen H, Ahmad S. Spatial and Temporal Dynamics of Key Water Quality Parameters in a Thermal Stratified Lake Ecosystem: The Case Study of Lake Mead. Earth. 2023; 4(3):461-502. https://doi.org/10.3390/earth4030025
Chicago/Turabian StyleAdjovu, Godson Ebenezer, Haroon Stephen, and Sajjad Ahmad. 2023. "Spatial and Temporal Dynamics of Key Water Quality Parameters in a Thermal Stratified Lake Ecosystem: The Case Study of Lake Mead" Earth 4, no. 3: 461-502. https://doi.org/10.3390/earth4030025
APA StyleAdjovu, G. E., Stephen, H., & Ahmad, S. (2023). Spatial and Temporal Dynamics of Key Water Quality Parameters in a Thermal Stratified Lake Ecosystem: The Case Study of Lake Mead. Earth, 4(3), 461-502. https://doi.org/10.3390/earth4030025

