Solar Power Potential in Africa: A Case Study on Cost Reduction in a Malian Household Through Photovoltaic Solar Power and Lithium-Ion Battery Storage
Abstract
1. Introduction
2. Case Study Household and Its Energy Cost
3. Solar Power Potential in Africa
4. Simplified Cost Model and ROI for Solar Energy and Battery Storage
4.1. Power Flow and Energy Cost Calculation
4.2. Investment Cost
4.2.1. Solar Power Plant Investment Cost
4.2.2. Lithium-Ion Battery Storage Investment Cost
4.2.3. Summary Cost Parameters
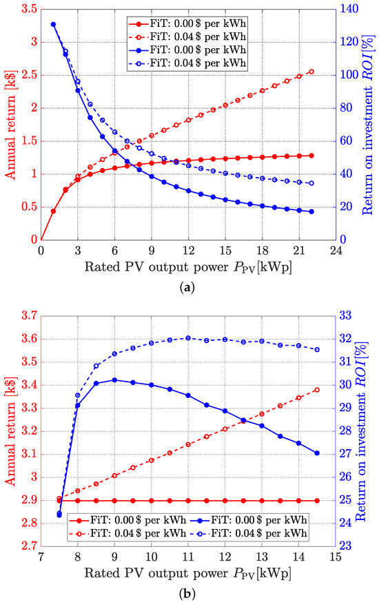
5. Sizing of Home Power Plant and Return on Investment
5.1. Return on Investment—Case I
5.2. Return on Investment—Case II
6. Conclusions
Author Contributions
Funding
Data Availability Statement
Conflicts of Interest
Abbreviations
| BESS | Battery Energy Storage System | 
| CSP | Concentrated Solar Power | 
| FIT | Feed-in Tariff | 
| GHI | Global Horizontal Irradiance | 
| LCOE | Levelized Cost of Electricity | 
| PV | Photovoltaic | 
| ROI | Return on Investment | 
| SI | International System of Units | 
| XOF | West African CFA Franc | 
References
- Sayed, E.T.; Olabi, A.G.; Alami, A.H.; Radwan, A.; Mdallal, A.; Rezk, A.; Abdelkareem, M.A. Renewable energy and energy storage systems. Energies 2023, 16, 1415. [Google Scholar] [CrossRef]
 - He, W.; King, M.; Luo, X.; Dooner, M.; Li, D.; Wang, J. Technologies and economics of electric energy storages in power systems: Review and perspective. Adv. Appl. Energy 2021, 4, 100060. [Google Scholar] [CrossRef]
 - Buberger, J.; Kersten, A.; Kuder, M.; Eckerle, R.; Weyh, T.; Thiringer, T. Total CO2-equivalent life-cycle emissions from commercially available passenger cars. Renew. Sustain. Energy Rev. 2022, 159, 112158. [Google Scholar] [CrossRef]
 - Adenle, A.A. Assessment of solar energy technologies in Africa-opportunities and challenges in meeting the 2030 agenda and sustainable development goals. Energy Policy 2020, 137, 111180. [Google Scholar] [CrossRef]
 - Ibrahim, I.D.; Hamam, Y.; Alayli, Y.; Jamiru, T.; Sadiku, E.R.; Kupolati, W.K.; Ndambuki, J.M.; Eze, A.A. A review on Africa energy supply through renewable energy production: Nigeria, Cameroon, Ghana and South Africa as a case study. Energy Strategy Rev. 2021, 38, 100740. [Google Scholar] [CrossRef]
 - Amankwah-Amoah, J. Solar energy in sub-Saharan Africa: The challenges and opportunities of technological leapfrogging. Thunderbird Int. Bus. Rev. 2015, 57, 15–31. [Google Scholar] [CrossRef]
 - Awuku, S.A.; Bennadji, A.; Muhammad-Sukki, F.; Sellami, N. Promoting the Solar Industry in Ghana through Effective Public-Private Partnership (PPP): Some Lessons from South Africa and Morocco. Energies 2021, 15, 17. [Google Scholar] [CrossRef]
 - PV Magazine. Solar Module Prices Dive to Record Low. Available online: https://www.pv-magazine.com/2023/10/27/solar-module-prices-dive-to-record-low/ (accessed on 1 April 2024).
 - PV Magazine. Solar Module Prices Hovering at All-Time Lows. Available online: https://www.pv-magazine.com/2024/04/22/solar-module-prices-hovering-at-all-time-lows// (accessed on 23 June 2024).
 - Estaller, J.; Kersten, A.; Kuder, M.; Thiringer, T.; Eckerle, R.; Weyh, T. Overview of battery impedance modeling including detailed state-of-the-art cylindrical 18650 lithium-ion battery cell comparisons. Energies 2022, 15, 3822. [Google Scholar] [CrossRef]
 - Estaller, J.; Kersten, A.; Kuder, M.; Mashayekh, A.; Buberger, J.; Thiringer, T.; Eckerle, R.; Weyh, T. Battery impedance modeling and comprehensive comparisons of state-of-the-art cylindrical 18650 battery cells considering cells’ price, impedance, specific energy and c-rate. In Proceedings of the 2021 IEEE International Conference on Environment and Electrical Engineering and 2021 IEEE Industrial and Commercial Power Systems Europe (EEEIC/I&CPS Europe), Bari, Italy, 7–10 September 2021; pp. 1–8. [Google Scholar]
 - Bloomberg NEF. Lithium-Ion Battery Pack Prices Hit Record Low of $139/kWh. Available online: https://about.bnef.com/blog/lithium-ion-battery-pack-prices-hit-record-low-of-139-kwh/ (accessed on 1 April 2024).
 - Bloomberg NEF. Battery Prices Are Falling Again as Raw Material Costs Drop. Available online: https://www.bloomberg.com/news/articles/2023-11-26/battery-prices-are-falling-again-as-raw-material-costs-drop (accessed on 1 April 2024).
 - PV Magazine. Battery Prices Collapsing, Grid-Tied Energy Storage Expanding. Available online: https://www.pv-magazine.com/2024/03/07/battery-prices-collapsing-grid-tied-energy-storage-expanding/ (accessed on 2 June 2024).
 - Schauf, M.; Schwenen, S. System price dynamics for battery storage. Energy Policy 2023, 183, 113836. [Google Scholar] [CrossRef]
 - Mallapragada, D.S.; Sepulveda, N.A.; Jenkins, J.D. Long-run system value of battery energy storage in future grids with increasing wind and solar generation. Appl. Energy 2020, 275, 115390. [Google Scholar] [CrossRef]
 - Figgener, J.; Stenzel, P.; Kairies, K.P.; Linßen, J.; Haberschusz, D.; Wessels, O.; Robinius, M.; Stolten, D.; Sauer, D.U. The development of stationary battery storage systems in Germany–status 2020. J. Energy Storage 2021, 33, 101982. [Google Scholar] [CrossRef]
 - Zeh, A.; Müller, M.; Naumann, M.; Hesse, H.C.; Jossen, A.; Witzmann, R. Fundamentals of using battery energy storage systems to provide primary control reserves in Germany. Batteries 2016, 2, 29. [Google Scholar] [CrossRef]
 - Nelson Nsitem; Energy Storage; BloombergNEF. Global Energy Storage Market Records Biggest Jump Yet. Available online: https://about.bnef.com/blog/global-energy-storage-market-records-biggest-jump-yet/ (accessed on 28 July 2024).
 - IEA. World Energy Outlook 2014; IEA: Paris, France, 2014; p. 748. [Google Scholar] [CrossRef]
 - Szabó, S.; Bódis, K.; Huld, T.; Moner-Girona, M. Energy solutions in rural Africa: Mapping electrification costs of distributed solar and diesel generation versus grid extension. Environ. Res. Lett. 2011, 6, 034002. [Google Scholar] [CrossRef]
 - Blimpo, M.P.; Cosgrove-Davies, M. Electricity Access in Sub-Saharan Africa: Uptake, Reliability, and Complementary Factors for Economic Impact; World Bank Publications: Washington, DC, USA, 2019. [Google Scholar]
 - Blimpo, M.P.; Postepska, A.; Xu, Y. Why is household electricity uptake low in Sub-Saharan Africa? World Dev. 2020, 133, 105002. [Google Scholar] [CrossRef]
 - Sarkodie, S.A.; Adams, S. Electricity access, human development index, governance and income inequality in Sub-Saharan Africa. Energy Rep. 2020, 6, 455–466. [Google Scholar] [CrossRef]
 - Okoye, C.O.; Oranekwu-Okoye, B.C. Economic feasibility of solar PV system for rural electrification in Sub-Sahara Africa. Renew. Sustain. Energy Rev. 2018, 82, 2537–2547. [Google Scholar] [CrossRef]
 - Lee, J.T.; Callaway, D.S. The cost of reliability in decentralized solar power systems in sub-Saharan Africa. Nat. Energy 2018, 3, 960–968. [Google Scholar] [CrossRef]
 - Labordena, M.; Patt, A.; Bazilian, M.; Howells, M.; Lilliestam, J. Impact of political and economic barriers for concentrating solar power in Sub-Saharan Africa. Energy Policy 2017, 102, 52–72. [Google Scholar] [CrossRef]
 - Pistelli, L. Addressing Africa’s Energy Dilemma. In The Geopolitics of the Global Energy Transition; Springer International Publishing: Berlin/Heidelberg, Germany, 2020; pp. 151–174. [Google Scholar] [CrossRef]
 - Schwerhoff, G.; Sy, M. Financing renewable energy in Africa–Key challenge of the sustainable development goals. Renew. Sustain. Energy Rev. 2017, 75, 393–401. [Google Scholar] [CrossRef]
 - Alami, A.H.; Olabi, A.G.; Mdallal, A.; Rezk, A.; Radwan, A.; Rahman, S.M.A.; Shah, S.K.; Abdelkareem, M.A. Concentrating solar power (CSP) technologies: Status and analysis. Int. J. Thermofluids 2023, 18, 100340. [Google Scholar] [CrossRef]
 - Adebiyi, A.A.; Moloi, K. Renewable Energy Source Utilization Progress in South Africa: A Review. Energies 2024, 17, 3487. [Google Scholar] [CrossRef]
 - Agbor, M.E.; Udo, S.O.; Ewona, I.O.; Nwokolo, S.C.; Ogbulezie, J.C.; Amadi, S.O. Potential impacts of climate change on global solar radiation and PV output using the CMIP6 model in West Africa. Clean. Eng. Technol. 2023, 13, 100630. [Google Scholar] [CrossRef]
 - Ehtiwesh, I.A.; Neto Da Silva, F.; Sousa, A.C. Deployment of parabolic trough concentrated solar power plants in North Africa—A case study for Libya. Int. J. Green Energy 2019, 16, 72–85. [Google Scholar] [CrossRef]
 - Agyekum, E.B.; Velkin, V.I. Optimization and techno-economic assessment of concentrated solar power (CSP) in South-Western Africa: A case study on Ghana. Sustain. Energy Technol. Assess. 2020, 40, 100763. [Google Scholar] [CrossRef]
 - Miron, D.; Navon, A.; Levron, Y.; Belikov, J.; Rotschild, C. The cost-competitiveness of concentrated solar power with thermal energy storage in power systems with high solar penetration levels. J. Energy Storage 2023, 72, 108464. [Google Scholar] [CrossRef]
 - Mirzania, P.; Balta-Ozkan, N.; Marais, L. One technology, two pathways? Strategic Niche Management and the diverging diffusion of concentrated solar power in South Africa and the United States. Energy Res. Soc. Sci. 2020, 69, 101729. [Google Scholar] [CrossRef]
 - Rodriguez-Ossorio, J.R.; Gonzalez-Martinez, A.; de Simon-Martin, M.; Diez-Suarez, A.M.; Colmenar-Santos, A.; Rosales-Asensio, E. Levelized cost of electricity for the deployment of solar photovoltaic plants: The region of León (Spain) as case study. Energy Rep. 2021, 7, 199–203. [Google Scholar] [CrossRef]
 - Abdallah, A.; Opoku, R.; Sekyere, C.K.; Boahen, S.; Amoabeng, K.O.; Uba, F.; Obeng, G.Y.; Forson, F.K. Experimental investigation of thermal management techniques for improving the efficiencies and levelized cost of energy of solar PV modules. Case Stud. Therm. Eng. 2022, 35, 102133. [Google Scholar] [CrossRef]
 - PV Magazine. Lazard Says Fossil Fuel Costs Double That of Utility-Scale Solar. Available online: https://www.pv-magazine.com/2024/06/12/lazard-says-fossil-fuel-costs-double-that-of-utility-scale-solar/ (accessed on 23 August 2024).
 - Karapidakis, E.; Paspatis, A.; Grammatikakis, I.; Nikologiannis, M.; Seimenis, M.; Papadakis, M. Analysis of the financial implications of solar panels and battery storage integration in the port infrastructure of Heraklion. In Proceedings of the E3S Web of Conferences, Kavala, Greece, 19–21 June 2024; EDP Sciences: Les Ulis, France, 2024; Volume 551, p. 02009. [Google Scholar] [CrossRef]
 - Khezri, R.; Mahmoudi, A.; Haque, M.H. Optimal Capacity of Solar PV and Battery Storage for Australian Grid-Connected Households. IEEE Trans. Ind. Appl. 2020, 56, 5319–5329. [Google Scholar] [CrossRef]
 - Li, Y.; Wu, J. Optimum integration of solar energy with battery energy storage systems. IEEE Trans. Eng. Manag. 2020, 69, 697–707. [Google Scholar] [CrossRef]
 - Smart Meter AG. Single Phase Meter 80A. Available online: https://web.smart-me.com/en/project/single-phase-meter/ (accessed on 16 June 2024).
 - Energie du Mali—SA. Simulateur de Facture BT. Available online: https://www.edmsa.ml/service/simulateur-conso-bt (accessed on 5 February 2023).
 - Statista Ltd. Mali: Gross Domestic Product (GDP) per Capita in Current Prices from 1987 to 2027. Available online: https://www.statista.com/statistics/458293/gross-domestic-product-gdp-per-capita-in-mali/ (accessed on 14 February 2023).
 - World Salaries. Average Salary in Bamako, Mali for 2024. Available online: https://worldsalaries.com/average-salary-in-bamako/mali/ (accessed on 1 April 2024).
 - Solargis. Prospect. Available online: https://apps.solargis.com/prospect/map?show-registration=1&s=12.652845,-7.977905&c=12.534903,-8.417359,8 (accessed on 16 January 2023).
 - Beltran, H.; Ayuso, P.; Pérez, E. Lifetime expectancy of Li-ion batteries used for residential solar storage. Energies 2020, 13, 568. [Google Scholar] [CrossRef]
 - Libra, M.; Mrázek, D.; Tyukhov, I.; Severová, L.; Poulek, V.; Mach, J.; Šubrt, T.; Beránek, V.; Svoboda, R.; Sedláček, J. Reduced real lifetime of PV panels – Economic consequences. Sol. Energy 2023, 259, 229–234. [Google Scholar] [CrossRef]
 - Our World in Data. Solar (Photovoltaic) Panel Prices. Available online: https://ourworldindata.org/grapher/solar-pv-prices (accessed on 1 April 2024).
 - SolarReviews. Best Solar Inverters 2024. Available online: https://www.solarreviews.com/solar-inverter-reviews (accessed on 1 April 2024).
 - International Renewable Energy Agency. Renewable Power Generation Costs in 2023; IRENA: Abu Dhabi, United Arab Emirates, 2024. [Google Scholar]
 







| Single-phase 5 A fusing, 1.1 kVA | |||
| Band 1 | Band 2 | Band 3 | Band 4 | 
| 0–50 kWh per month | 50–100 kWh per month | 100–150 kWh per month | >200 kWh per month | 
| $0.10 per kWh | $0.16 per kWh | $0.21 per kWh | $0.25 per kWh | 
| Single-phase 10 A to 60 A fusing, 2.2 kVA to 13.2 kVA | |||
| Band 1 | Band 2 | Band 3 | Band 4 | 
| 0–200 kWh per month | >200 kWh per month | - | - | 
| $0.21 per kWh | $0.25 per kWh | - | - | 
| Three-phase 10 A to 30 A fusing, 6.6 kVA to 19.8 kVA | |||
| Band 1 | Band 2 | Band 3 | Band 4 | 
| 0–200 kWh per month | >200 kWh per month | - | - | 
| $0.21 per kWh | $0.25 per kWh | - | - | 
| Region | Solar Power per Year [] | GHI per Day [] | 
|---|---|---|
| Lagos (Nigeria) | 1398 | 4.8 | 
| Bamako (Mali) | 1678 | 5.8 | 
| Al Jawf (Lybia) | 1986 | 6.4 | 
| Kabul (Afghanistan) | 1862 | 5.5 | 
| Athens (Greece) | 1593 | 4.8 | 
| Madrid (Spain) | 1667 | 4.8 | 
| Kiew (Ukraine) | 1157 | 3.2 | 
| Paris (France) | 1126 | 3.1 | 
| Berlin (Germany) | 1065 | 2.9 | 
| Stockholm (Sweden) | 1056 | 2.7 | 
| Parameter | Case I | Case II | 
|---|---|---|
| solar module cost [] | 140 | 86 | 
| solar inverter cost [] | 150 | 100 | 
| solar installation cost [] | 150 | 150 | 
| battery pack cost [] | 139 | 68 | 
| battery inverter cost [] | 75 | 50 | 
| battery installation cost [] | 150 | 150 | 
Disclaimer/Publisher’s Note: The statements, opinions and data contained in all publications are solely those of the individual author(s) and contributor(s) and not of MDPI and/or the editor(s). MDPI and/or the editor(s) disclaim responsibility for any injury to people or property resulting from any ideas, methods, instructions or products referred to in the content.  | 
© 2025 by the authors. Licensee MDPI, Basel, Switzerland. This article is an open access article distributed under the terms and conditions of the Creative Commons Attribution (CC BY) license (https://creativecommons.org/licenses/by/4.0/).
Share and Cite
Drave, M.; Mannerhagen, F.; Kersten, A.; Eckerle, R.; Abdul-Jabbar, T.A.; Abbas, F.A.; Ban, B.; Xu, Y.; Kuder, M.; Weyh, T.; et al. Solar Power Potential in Africa: A Case Study on Cost Reduction in a Malian Household Through Photovoltaic Solar Power and Lithium-Ion Battery Storage. Electricity 2025, 6, 5. https://doi.org/10.3390/electricity6010005
Drave M, Mannerhagen F, Kersten A, Eckerle R, Abdul-Jabbar TA, Abbas FA, Ban B, Xu Y, Kuder M, Weyh T, et al. Solar Power Potential in Africa: A Case Study on Cost Reduction in a Malian Household Through Photovoltaic Solar Power and Lithium-Ion Battery Storage. Electricity. 2025; 6(1):5. https://doi.org/10.3390/electricity6010005
Chicago/Turabian StyleDrave, Madani, Felix Mannerhagen, Anton Kersten, Richard Eckerle, Thealfaqar A. Abdul-Jabbar, Furqan A. Abbas, Branko Ban, Yu Xu, Manuel Kuder, Thomas Weyh, and et al. 2025. "Solar Power Potential in Africa: A Case Study on Cost Reduction in a Malian Household Through Photovoltaic Solar Power and Lithium-Ion Battery Storage" Electricity 6, no. 1: 5. https://doi.org/10.3390/electricity6010005
APA StyleDrave, M., Mannerhagen, F., Kersten, A., Eckerle, R., Abdul-Jabbar, T. A., Abbas, F. A., Ban, B., Xu, Y., Kuder, M., Weyh, T., & Leijon, M. (2025). Solar Power Potential in Africa: A Case Study on Cost Reduction in a Malian Household Through Photovoltaic Solar Power and Lithium-Ion Battery Storage. Electricity, 6(1), 5. https://doi.org/10.3390/electricity6010005
        
