Fabrication and Characterization of Paraffin-Based Slippery Liquid-Infused Porous Surfaces for Applications of Condensation Heat Transfer †
Abstract
1. Introduction
2. Materials and Methods
3. Results and Discussions
3.1. Criterion to Fabricate the Condensation Rigs
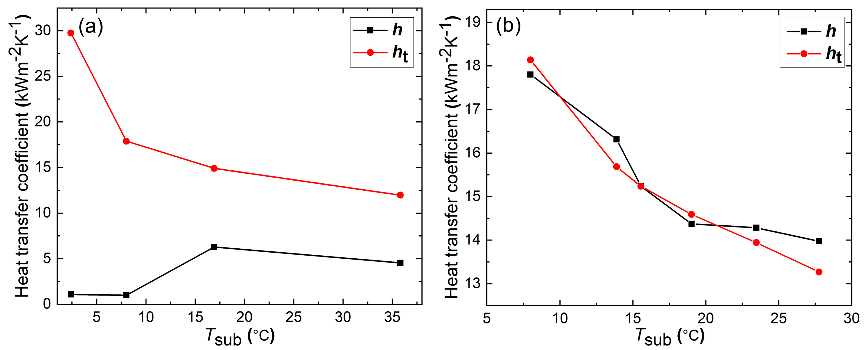
3.2. Condensation Patterns and Heat Transfer Coefficients
Author Contributions
Funding
Institutional Review Board Statement
Informed Consent Statement
Data Availability Statement
Conflicts of Interest
References
- Enright, R.; Miljkovic, N.; Alvarado, J.L.; Kim, K.; Rose, J.W. Dropwise condensation on micro- and nanostructured surfaces. Nanoscale Microscale Thermophys. Eng. 2014, 18, 223–250. [Google Scholar] [CrossRef]
- Sablowski, J.; Unz, S.; Beckmann, M. Dropwise condensation on advanced functional surfaces—Theory and experimental set-up. Chem. Eng. Technol. 2017, 40, 1966–1974. [Google Scholar] [CrossRef]
- Gulfam, R.; Zhang, P. Power generation and longevity improvement of renewable energy systems via slippery surfaces—A review. Renew. Energy. 2019, 143, 922–938. [Google Scholar] [CrossRef]



Disclaimer/Publisher’s Note: The statements, opinions and data contained in all publications are solely those of the individual author(s) and contributor(s) and not of MDPI and/or the editor(s). MDPI and/or the editor(s) disclaim responsibility for any injury to people or property resulting from any ideas, methods, instructions or products referred to in the content. |
© 2024 by the authors. Licensee MDPI, Basel, Switzerland. This article is an open access article distributed under the terms and conditions of the Creative Commons Attribution (CC BY) license (https://creativecommons.org/licenses/by/4.0/).
Share and Cite
Gulfam, R.; Cheema, I.I.; Ishrat, Y.; Askari, M.A.; Lv, F. Fabrication and Characterization of Paraffin-Based Slippery Liquid-Infused Porous Surfaces for Applications of Condensation Heat Transfer. Mater. Proc. 2024, 17, 7. https://doi.org/10.3390/materproc2024017007
Gulfam R, Cheema II, Ishrat Y, Askari MA, Lv F. Fabrication and Characterization of Paraffin-Based Slippery Liquid-Infused Porous Surfaces for Applications of Condensation Heat Transfer. Materials Proceedings. 2024; 17(1):7. https://doi.org/10.3390/materproc2024017007
Chicago/Turabian StyleGulfam, Raza, Izzat Iqbal Cheema, Yousaf Ishrat, Muhammad Abdullah Askari, and Fengyong Lv. 2024. "Fabrication and Characterization of Paraffin-Based Slippery Liquid-Infused Porous Surfaces for Applications of Condensation Heat Transfer" Materials Proceedings 17, no. 1: 7. https://doi.org/10.3390/materproc2024017007
APA StyleGulfam, R., Cheema, I. I., Ishrat, Y., Askari, M. A., & Lv, F. (2024). Fabrication and Characterization of Paraffin-Based Slippery Liquid-Infused Porous Surfaces for Applications of Condensation Heat Transfer. Materials Proceedings, 17(1), 7. https://doi.org/10.3390/materproc2024017007

