Abstract
In the following study, power allocation in underwater cooperative communication systems was investigated using game theory. To balance the energy consumption of nodes, extend their lifespan, and improve communication quality, a Stackelberg power control algorithm based on a non-uniform pricing mechanism was proposed. The interaction model between the transmitting and relay nodes was constructed as a two-layer Stackelberg game, which consisted of leaders and followers. The transmitting node acts as the leader, with its objective function comprising its transmission cost and the purchasing transmission power cost of the relay nodes. The relay nodes act as followers, with their objective function comprising revenue from selling power and their transmission cost. In addition, the remaining energy is incorporated into the objective function to balance the energy consumption of the nodes. Our simulation results indicate that, compared with algorithms that do not consider remaining energy, this algorithm improves the communication quality of the cooperative system and extends the network’s lifetime.
1. Introduction
Underwater acoustic communication networks utilize acoustics for information transmission. These networks have been applied in ocean exploration, target tracking, and marine environmental monitoring [1,2,3]. Underwater acoustic communication networks have garnered widespread attention from researchers due to their flexibility, convenience, cost-effectiveness, cable-free operation, and ability to support navigation, positioning, information exchange, and security-related data transmission [4,5]. Despite these advantages, underwater acoustic communication networks suffer from multipath effects, limited channel bandwidth, and increased competition among nodes due to the deployment of various underwater nodes and multi-node communications. These factors make it challenging to maintain network transmission stability with limited resources [6,7]. In cooperative relay networks, the growing number of communication users and the increasing scarcity of communication resources impact the lifespan of nodes; in comparison, the introduction of relay technology has expanded the transmission range and improved communication quality. Appropriate power allocation effectively reduces additional energy consumption by nodes and enhances system performance. The authors of reference [8] propose a relay selection and power allocation method for underwater cooperative communication networks that meets service requirements while effectively reducing node energy consumption. The issue of maximizing the system rate in a cooperative relay network was solved using deterministic channel state information, enhancing the system transmission rate through power allocation [9].
The centralized algorithms proposed to date have effectively improved the performance of communication networks. However, establishing a centralized control unit presents challenges in complex underwater environments. Game theory, as an effective mathematical method for solving multi-user competition problems in a distributed manner, has thus been widely applied in resource allocation [10]. For instance, a distributed resource allocation algorithm based on non-cooperative game theory was proposed [11] to reduce the transmission power of nodes and improve system throughput. An adaptive distributed power allocation strategy based on game theory was proposed in Ref. [12], effectively addressing the power allocation challenges among multiple nodes. The authors of reference [13] introduced a distributed power control framework based on the Stackelberg game to improve network throughput while simultaneously meeting users’ communication quality requirements. However, the previous methods fail to address the issue of energy balance among nodes. Imbalanced energy consumption reduces the nodes’ lifespan, which, in turn, degrades the communication quality of the cooperative network. Interference is regarded as an allocatable resource in a pricing mechanism [14,15,16]. Pricing mechanisms include non-uniform pricing models [14] and uniform pricing models [15,16].
Based on flexible pricing variables and the improved target utility of the non-uniform pricing model, we have developed a power control scheme that incorporates the non-uniform pricing mechanism to achieve better Stackelberg game utility. The distributed Stackelberg game-based power control algorithm was developed in this study for underwater cooperative communication networks, utilizing a non-uniform pricing mechanism. The underwater cooperative communication network was modeled as a two-layer Stackelberg game, where the transmitting node acted as the leader and the relay nodes acted as the followers. The transmitting and relay nodes engaged in power trading, reaching equilibrium after multiple iterations of the game, and the power purchase quantity of the transmitting node and the price of the relay node’s selling power were determined. To balance the energy consumption among nodes, the remaining energy of each node was incorporated into the utility function, allowing relay nodes to forward power based on their residual energy, thus extending the lifetime of the cooperative network. Our simulation results validated the effectiveness of the algorithm and demonstrated the improved transmission quality of the system.
2. System Model and Problem Formulation
2.1. System and Channel Model
We considered an underwater acoustic cooperative communication network application scenario consisting of a fixed transmitter node , a cooperative relay , and a destination node . The fixed underwater transmitter node collects ocean environmental information and forwards the collected data through the relay nodes to the destination node. The destination node then communicates with a surface ship-based system to achieve ocean environment monitoring.
In underwater acoustic communication, the channel gain is expressed as in Ref. [17]:
where is the normalization coefficient, denotes the distance between nodes, is the transmission frequency, is the propagation coefficient, and represents the absorption coefficient. Moreover, the noise power spectral density of the underwater acoustic channel is denoted by , which includes various underwater noise sources, such as seismic motion noise , ship activity noise , wind and wave noise , and the thermal motion noise of water molecules . The detailed calculation formulas for these noise sources are provided in Ref. [18].
To improve data transmission efficiency, the transmitting node must utilize relay nodes for information forwarding. During the communication process of the entire network, it is assumed that each communication link is independent, with no interference between channels. In addition, the cooperative relay nodes operate in Amplify-and-Forward (AF) mode, and the cooperative transmission of the system is executed sequentially in two time slots.
In the first time slot, the source node broadcasts the collected ocean environment information to the destination node and all relay nodes. At this time, the signals received by the destination node and the relay node are defined as follows:
and
where is the transmit power of the source node , and represent the channel gains from the source node to the destination node and the relay node , denotes the symbol information transmitted by the source node, and and represent the noise between nodes. Without loss of generality, assume the noise power of each link to be .
In the second time slot, the relay nodes amplify the signals they receive and then send them to the receiving node. The signals received by the receiving node at this time are expressed as follows:
where represents the transmission power of the relay node, denotes the channel gain from the relay node to the destination node, is the information of the forwarded symbol from the relay node, and is the noise from the relay node to the destination node. Similarly, assume that the noise power of this link is .
Based on the above analysis, it is assumed that the relay nodes that assist the transmitting node in forwarding information form a set denoted as . The signal-to-noise ratio (SNR) of the entire cooperative communication system is expressed as follows:
where is the joint vector of the transmitting power of the transmitting node and the transmitting powers of the relay nodes.
2.2. Problem Formulation
We modeled the power allocation problem between the transmitting node and multiple relay nodes as a Stackelberg game. The transmitting node acts as the buyer of power, whereas the relay nodes act as sellers. The participants in the game are selfish and rational, each adjusting their strategies to maximize their utility. The game is divided into two layers.
In the upper-layer game, the transmitting node, acting as the buyer, aims to meet the link rate requirements at the minimum cost. represents the payment of the transmitting node, which is expressed as follows:
where and represent the power prices of and relay node , and and denote the transmission power of and the power purchased from the relay node . To ensure communication quality, the SNR, as the performance metric of the system, must satisfy , where is the SNR threshold for the cooperative communication system. Therefore, the upper-layer game optimization problem for the transmitting node as the buyer is expressed as follows:
In the lower-level game, the relay nodes act as sellers and strive to maximize their profit while selling as much power as possible. Thus, the utility function of the relay nodes is expressed as follows:
where represents the cost price of the relay power, denotes the percentage of remaining energy for the relay node, and and represent the total energy of the relay node and the energy consumption at time t, respectively. Therefore, the optimization problem for the relay node in the lower-layer game is as follows:
Considering that the problems in the upper and lower levels of the game are coupled, the power decisions made in the upper level influence the outcomes of the lower-level decisions, whereas the lower-level decisions provide the information needed for the upper-level strategies. The optimization can therefore not be carried out in isolation.
3. Stackelberg Game Solution
We derived the equilibrium solutions for both the upper-level transmitting node and the lower-level relay nodes in the game.
3.1. Upper-Layer Game
The transmitting node continuously adjusts the amount of relay power it purchases based on the prices set by the relay nodes. Moreover, to ensure the communication quality of the cooperative communication system, the transmitting node constantly adjusts its transmission power. To determine the optimal power allocation solution for the transmitting node’s power and the power purchased from the relays, the following function is formulated:
Let be the Lagrange multiplier, and the cooperative network must satisfy the minimum SNR threshold . Taking the derivative of concerning and setting it to zero, the optimal power that the transmitting node purchases from the relay node is obtained as follows:
where , , . By substituting (12) into the optimization problem P1, the upper-layer game optimization problem is restated as follows:
At this point, it is only necessary to solve the minimization problem of for . For the function , it has a unique minimum point, and this minimum point is also the global minimum. Therefore, for (13), there is a unique minimum point for , and this minimum point is the global minimum.
In (13), taking the derivative of for and setting it to zero yields a quadratic equation in . Solving this equation gives the optimal transmission power for the transmitting node as follows:
Substituting the optimal transmission power into (12) and simplifying, we obtain the optimal power purchased by the transmitting node from the relay node, as follows:
where , , and .
3.2. Lower-Layer Game
By substituting the optimal purchased power obtained from the upper-layer transmitting node into (10), the lower-layer game optimization problem is restated as follows:
For the above optimization problem, taking the derivative of concerning and setting it to zero yields the following:
When the transmitting node’s power purchase strategy is fixed, the optimal power price for the relay node is given by the following expression:
and
where , .
3.3. Stackelberg Equilibrium
In the underwater sensor cooperative network power allocation problem, it is necessary to optimize the power strategies of multiple nodes. Traditional centralized power allocation methods require global channel state information and node transmission power, whereas distributed power allocation methods require only local information to formulate their strategies. This factor reduces the need for a centralized control unit, decreases signaling overhead, and lowers network costs. A Stackelberg-distributed iterative power control algorithm was therefore created in this study, based on a non-uniform pricing mechanism. The specific process is summarized in Algorithm 1. The initialization process was completed when information was collected at the start of the game. First, the transmitting node selected the amount of power to purchase from the relay nodes to determine the optimal purchase quantity. Thereafter, for the relay nodes, the power prices were updated until the sub-game converged to an equilibrium state, where the relay node’s power–price combination constituted the equilibrium solution that maximized the follower’s utility. Finally, through multiple iterations, both the leader sub-game and the follower sub-game converged to the Stackelberg equilibrium, meaning the proposed game converged to the equilibrium. Algorithm 1 was created for the implementation of the Stackelberg-distributed iterative power control algorithm based on a non-uniform pricing mechanism.
| Algorithm 1: Stackelberg game power control method based on the non-uniform pricing mechanism |
| 1: Initialize the relay node price information and Power . 2: Initialize the transmission power of the transmitting node . 3: Set t = 1, T = 25. 4: while ( and are not converged) and (t < T) do 5: for do Relay node receives the purchased power amount from the transmitting node and then calculates according to (18) and (19). 6: Transmitting node receives the optimal power prices and feedback information from the relay nodes and then calculates its transmission power and the power purchase amount according to (14) and (15). 7: end for 8: Set t = t + 1. 9: end while |
4. Simulation Results
We conducted numerical simulations to evaluate the performance of the proposed Stackelberg game-based distributed iterative power allocation algorithm. The system parameters are shown in Table 1. We assumed a scenario within an underwater area measuring 4 × 4 km, with one transmitting node, three cooperative relay nodes, and one receiving node. Specifically, the transmitting node was located at coordinates (0, 0) (in km), the receiving node was located at (3.0, 0), and the three relay nodes were located at (1.75, 1), (2, 1.25), and (2.25, 1.5), respectively. In addition, the data slot duration was 0.2 s. Throughout the cooperative communication process, we assumed that if a relay node’s remaining energy dropped below 10% of its initial energy, it no longer participated in cooperative communication.
Table 1.
Solution parameters.
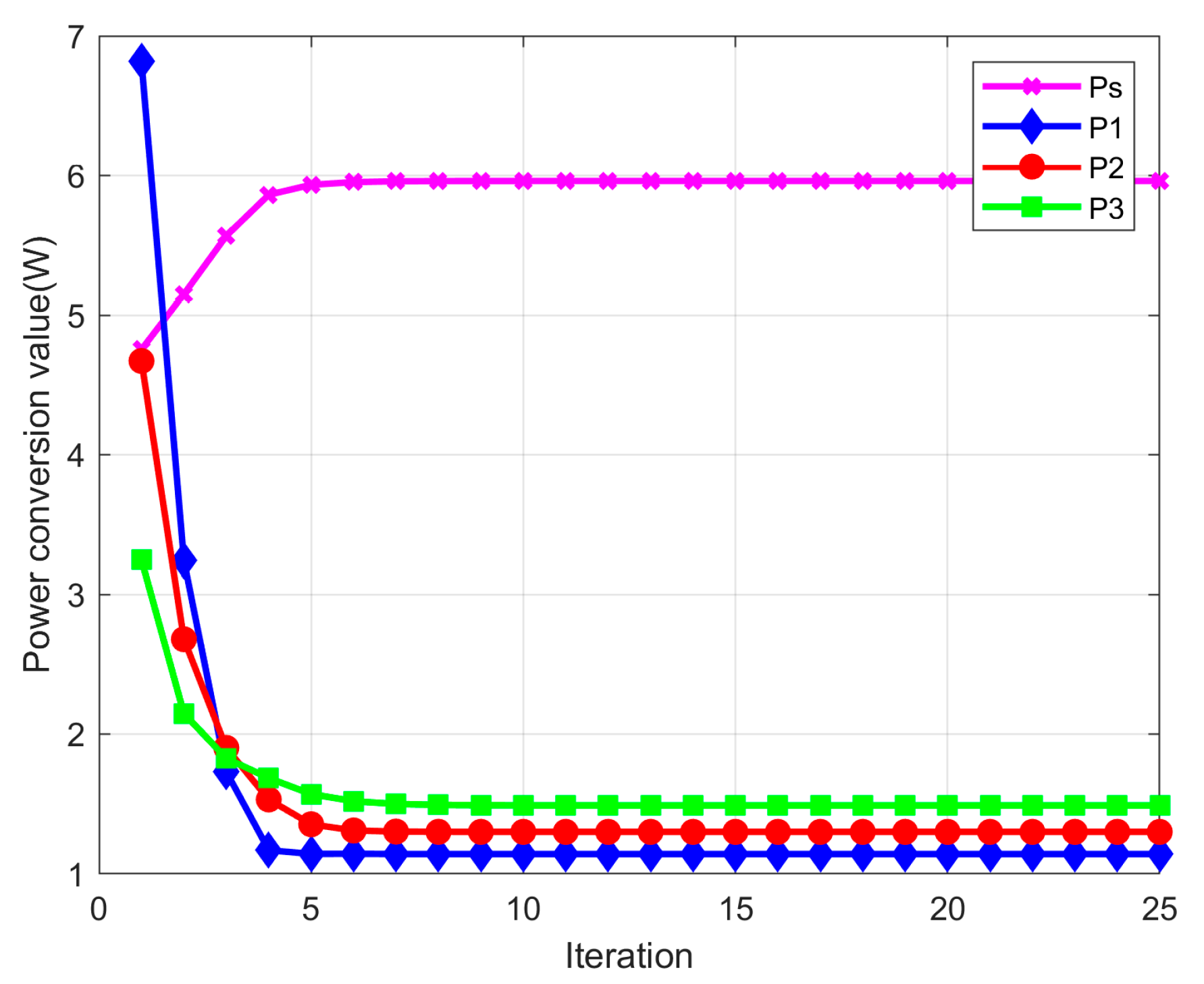
From the perspective of convergence, we investigated the balance between transmission power and power prices among multiple relay nodes. Figure 1 and Figure 2 present the convergence performance of the proposed algorithm. The transmission power of the transmitting node and the three relay nodes are represented by and and the power prices of the relay nodes are denoted by . All relay nodes converge their power prices to a stable value after roughly 10 iterations. Figure 2 shows that, initially, all of the relay nodes’ power prices are set at their cost prices. Due to varying channel conditions at each relay node, the amount of transmission power purchased by the transmitting node differs. In addition, the transmission power of the transmitting node and all of the relay nodes quickly converges to a fixed value. This fact indicates that the game equilibrium between the transmitting node and the relay nodes is achieved through minimal information exchange. This outcome was achieved because the relay nodes maximized their revenue while the transmitting node minimized its costs, leading to mutual negotiation and adjustment between the source node and the relay nodes.
Figure 1.
Convergence of node power price.
Figure 2.
Convergence of node power.
Initially, the relays sell power at cost prices. At this stage, the transmitting node purchases more power to meet the communication rate requirements of the cooperative communication system. However, the relay nodes, being selfish and rational, continuously increase their power prices to maximize their revenue. These actions lead to higher costs for the transmitting node in order to minimize its expenses while still meeting the system’s communication rate requirements. Consequently, the transmitting node reduces the amount of power purchased. After a period of bargaining and negotiation, both parties reach a game equilibrium: as the relay power price increases, the amount of power purchased by the transmitting node decreases. These findings validate the relationship between price and power in the game. Based on these results, the proposed Stackelberg-distributed iterative power control algorithm based on a non-uniform pricing mechanism is effective and demonstrates fast convergence.
In the subsequent analysis, we used node survival time and energy efficiency to validate the effectiveness of the proposed algorithm. Figure 3 illustrates the remaining energy variation of the relay nodes over their lifetime for algorithms without considering remaining energy (WCRE) and for those that do consider this factor (CRE). Figure 4 illustrates a comparison of the energy efficiency of nodes between the two algorithms. The energy efficiency of a node is calculated using the formula , where is the total transmission rate of all relay nodes over their lifecycle, is the total energy of the node, and is the number of relay nodes involved in cooperative communication.
Figure 3.
Comparison of relay node lifetimes in three groups.
Figure 4.
Comparison of the energy efficiency of relay nodes in three groups.
The remaining energy of each relay node decreases as the survival time increases (Figure 3). The algorithm proposed in this study significantly extended the lifespan of the nodes, as demonstrated by the fact that, in scenarios without considering the remaining energy, nodes continue to engage in cooperative communication at higher power levels, resulting in a linear trend between the remaining energy of the relay nodes and survival time. These factors allow for rapid energy consumption and shorten the nodes’ lifespans. However, under the proposed algorithm, when the remaining energy of a relay node is still sufficient, the transmission power of the relay node is relatively high. As the number of cooperative communications increases, the remaining energy of the nodes gradually decreases, and their transmission power also progressively decreases. Consequently, the slope of the curve between remaining energy and survival time in the figure gradually declines, which slows down energy consumption and extends the nodes’ lifespans. It is evident that the proposed algorithm improves the throughput of the cooperative system and the total data transmission within its lifespan. The proposed algorithm therefore enhances the energy efficiency of the nodes.
5. Conclusions
To describe the behavior characteristics of underwater nodes, an underwater cooperative communication system network was modeled as a two-layer Stackelberg game. The model incorporates node cooperation through the game between the transmitting node’s purchasing power and the relay node’s selling power. In addition, to balance energy consumption and extend the lifespan of underwater nodes, we constructed a utility function that considers the remaining energy of relay nodes. This function ensures that relay nodes with more remaining energy transmit at higher power while those with less remaining energy provide lower power, thus avoiding premature node failure from excessive power usage and improving network transmission performance. Our simulation results verify the effectiveness of the proposed algorithm in underwater acoustic communication cooperative networks, extending node lifespan and enhancing network communication performance.
Author Contributions
Conceptualization, H.W.; methodology, H.W.; software, X.L.; formal analysis, X.L.; resources, H.W.; data curation, X.L.; writing—original draft preparation, X.L.; visualization, X.L.; supervision, H.W.; All authors have read and agreed to the published version of the manuscript.
Funding
This work was supported in part by the National Natural Science Foundation of China under Grant 62001199 and in part by the Fujian Provincial Natural Science Foundation under Grant 2023J01155.
Institutional Review Board Statement
Not applicable.
Informed Consent Statement
Not applicable.
Data Availability Statement
Data are contained within the article.
Conflicts of Interest
The authors declare no conflicts of interest.
References
- Su, R.; Gong, Z.; Zhang, D.; Li, C.; Chen, Y.; Venkatesan, R. An adaptive asynchronous wake-up scheme for underwater acoustic sensor networks using deep reinforcement learning. IEEE Trans. Veh. Technol. 2021, 70, 1851–1865. [Google Scholar] [CrossRef]
- Coutinho, R.W.L.; Boukerche, A. OMUS: Efficient opportunistic routing in multi-modal underwater sensor networks. IEEE Trans. Wirel. Commun. 2021, 20, 5642–5655. [Google Scholar] [CrossRef]
- Du, J.; Han, G.; Lin, C.; Martinez-Garcia, M. ITrust: An anomaly-resilient trust model based on isolation forest for underwater acoustic sensor networks. IEEE Trans. Mob. Comput. 2020, 21, 1684–1696. [Google Scholar] [CrossRef]
- Zhang, Y.; Huang, Y.; Wan, L.; Zhou, S.; Shen, X.; Wang, H. Adaptive OFDMA with partial CSI for downlink underwater acoustic communications. J. Commun. Netw. 2016, 18, 387–396. [Google Scholar] [CrossRef]
- Islam, K.Y.; Ahmad, I.; Habibi, D.; Waqar, A. A survey on energy efficiency in underwater wireless communications. J. Netw. Comput. Appl. 2022, 198, 103295. [Google Scholar] [CrossRef]
- Luo, H.; Wang, J.; Bu, F.; Ruby, R.; Wu, K.; Guo, Z. Recent progress of air/water cross-boundary communications for underwater sensor networks: A review. IEEE Sens. J. 2022, 22, 8360–8382. [Google Scholar] [CrossRef]
- Lal, C.; Petroccia, R.; Pelekanakis, K.; Conti, M.; Alves, J. Toward the development of secure underwater acoustic networks. IEEE J. Ocean. Eng. 2017, 42, 1075–1087. [Google Scholar] [CrossRef]
- Wang, P.; Zhang, X.; Song, M. Power-efficient resource allocation for QoS provisioning in underwater MIMO-OFDM acoustic cooperative wireless networks. In Proceedings of the 2013 IEEE Global Communications Conference, Atlanta, GA, USA, 9–13 December 2013; IEEE: Piscataway, NJ, USA, 2013; pp. 4674–4678. [Google Scholar]
- Chen, S.; Wang, W.; Zhang, X.; Sun, Z. Performance analysis of OSTBC transmission in amplify-and-forward cooperative relay networks. IEEE Trans. Veh. Technol. 2010, 59, 105–113. [Google Scholar] [CrossRef]
- Jorswieck, E.; Mochaourab, R. Power control game in protected and shared bands: Manipulability of Nash equilibrium. In Proceedings of the International Conference on Game Theory for Networks, Istanbul, Turkey, 13–15 May 2009; pp. 428–437. [Google Scholar]
- Yu, X.; Wu, T.; Huang, J.; Wang, Y. A non-cooperative game approach for distributed power allocation in multi-cell OFDMA-relay networks. In Proceedings of the Vehicular Technology Conference (VTC), Marina Bay, Singapore, 11–14 May 2008; pp. 1920–1924. [Google Scholar]
- Vadori, V.; Scalabrin, M.; Guglielmi, A.V.; Badia, L. Jamming in underwater sensor networks as a Bayesian zero-sum game with position uncertainty. In Proceedings of the 2015 IEEE Global Communications Conference (GLOBECOM), San Diego, CA, USA, 6–10 December 2015; pp. 1–6. [Google Scholar]
- Xin, K.; Rui, Z.; Motani, M. Price-based resource allocation for spectrum-sharing femtocell networks: A stackelberg game approach. IEEE J. Sel. Areas Commun. 2012, 30, 538–549. [Google Scholar]
- Li, L.; Wei, M.; Xu, C.; Zhou, Z. Rate-based pricing framework in hybrid access femtocell networks. IEEE Commun. Lett. 2015, 19, 1560–1563. [Google Scholar] [CrossRef]
- Liu, Z.; Li, S.; Ma, K.; Guan, X.; Li, X. Robust power allocation based on hierarchical game with consideration of different user requirements in two-tier femtocell networks. Comput. Netw. 2017, 122, 179–190. [Google Scholar]
- Liu, Z.; Wang, W.; Chan, K.; Ma, K.; Guan, X. Rate maximization for hybrid access femtocell networks with outage constraints based on pricing incentive mechanism. IEEE Trans. Veh. Technol. 2020, 69, 6699–6708. [Google Scholar] [CrossRef]
- Yang, Q.; Su, Y.; Jin, Z.; Yao, G. EFPC: An Environmentally Friendly Power Control Scheme for Underwater Sensor Networks. Sensors 2015, 15, 29107–29128. [Google Scholar] [CrossRef] [PubMed]
- Su, Y.; Liwang, M.; Gao, Z.; Huang, L.; Du, X.; Guizani, M. Optimal cooperative relaying and power control for IoUT networks with reinforcement learning. IEEE Internet Things J. 2021, 8, 791–801. [Google Scholar] [CrossRef]
Disclaimer/Publisher’s Note: The statements, opinions and data contained in all publications are solely those of the individual author(s) and contributor(s) and not of MDPI and/or the editor(s). MDPI and/or the editor(s) disclaim responsibility for any injury to people or property resulting from any ideas, methods, instructions or products referred to in the content. |
© 2025 by the authors. Licensee MDPI, Basel, Switzerland. This article is an open access article distributed under the terms and conditions of the Creative Commons Attribution (CC BY) license (https://creativecommons.org/licenses/by/4.0/).



