The Thermo-Optic Discrimination of an Aqueous Solution Composition Using a Multimodal Interference Fiber Optic Sensor †
Abstract
1. Introduction
2. Materials and Methods
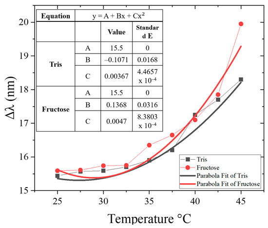
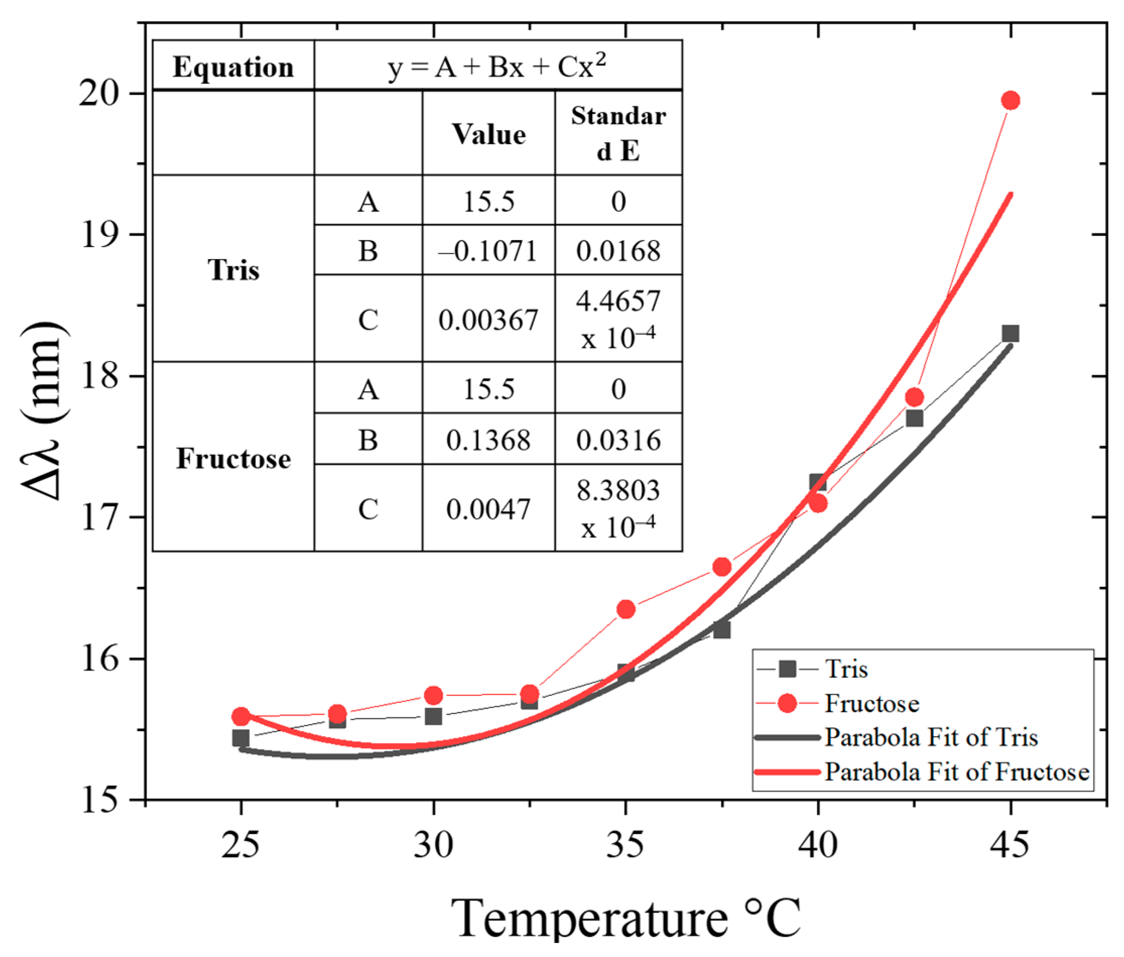
3. Results and Discussion
4. Conclusions
Author Contributions
Funding
Institutional Review Board Statement
Informed Consent Statement
Data Availability Statement
Conflicts of Interest
References
- Rofifah, H.J.; Gideon, S.; Irawati, N. Formalin detection using singlemode-multimode-singlemode fiber structure. In Proceedings of the Third International Seminar on Photonics, Optics, and Its Applications (ISPhOA 2018), Surabaya, Indonesia, 1–2 August 2018; pp. 181–184. [Google Scholar]
- Oe, R.; Minamikawa, T.; Taue, S.; Koresawa, H.; Mizuno, T.; Yamagiwa, M.; Mizutani, Y.; Yamamoto, H.; Iwata, T.; Yasui, T. Refractive index sensing with temperature compensation by a multimode-interference fiber-based optical frequency comb sensing cavity. Opt. Express 2019, 27, 21463–21476. [Google Scholar] [CrossRef] [PubMed]
- Pan, Y.; Yao, Y.; Yuan, X.; Zhao, L.; Yang, L. Research on fiber laser sensor based on multimode interference effect with no-core fiber. In Proceedings of the 2017 International Conference on Optical Instruments and Technology: Advanced Optical Sensors and Applications, Beijing, China, 4–6 June 2017; pp. 187–194. [Google Scholar]
- Magwaza, L.S.; Opara, U.L. Analytical methods for determination of sugars and sweetness of horticultural products—A review. Sci. Hortic. 2015, 184, 179–192. [Google Scholar] [CrossRef]
- Haynes, W.M. CRC Handbook of Chemistry and Physics; CRC Press: Boca Raton, FL, USA, 2016. [Google Scholar]
- Anyika, L.; Okonkwo, S.; Ejike, E. Comparative analysis of monosaccharide and disaccharide using different instrument refractometer and polarimeter. Int. J. Res. Chem. Environ. 2012, 2, 270–274. [Google Scholar]
- Bodurov, I.; Vlaeva, I.; Viraneva, A.; Yovcheva, T. Discrimination of sweeteners based on the refractometric analysis. J. Phys. Conf. Ser. 2017, 794, 012033. [Google Scholar] [CrossRef]
- Bodurov, I.; Yovcheva, T.; Sainov, S. Five-wavelength laser microrefractometer. Opt. Appl. 2015, 45, 199–204. [Google Scholar] [CrossRef]
- Wang, K.; Dong, X.; Köhler, M.H.; Kienle, P.; Bian, Q.; Jakobi, M.; Koch, A.W.J.I.S.J. Advances in optical fiber sensors based on multimode interference (MMI): A review. IEEE Sens. J. 2020, 21, 132–142. [Google Scholar] [CrossRef]
- Wu, Q.; Qu, Y.; Liu, J.; Yuan, J.; Wan, S.-P.; Wu, T.; He, X.-D.; Liu, B.; Liu, D.; Ma, Y.; et al. Singlemode-Multimode-Singlemode Fiber Structures for Sensing Applications—A Review. IEEE Sens. J. 2021, 21, 12734–12751. [Google Scholar] [CrossRef]
- Zhao, Y.; Zhao, J.; Zhao, Q. Review of no-core optical fiber sensor and applications. Sens. Actuators A Phys. 2020, 313, 112160. [Google Scholar] [CrossRef]
- Guzman-Sepulveda, J.R.; Guzman-Cabrera, R.; Castillo-Guzman, A.A. Optical Sensing Using Fiber-Optic Multimode Interference Devices: A Review of Nonconventional Sensing Schemes. Sensors 2021, 21, 1862. [Google Scholar] [CrossRef]
- Krohn, D.A.; Méndez, A.; MacDougall, T. Fiber Optic Sensors: Fundamentals and Applications; SPIE Press: Bellingham, WA, USA, 2014. [Google Scholar]
- Udd, E.; Spillman, W.B., Jr. Fiber Optic Sensors: An Introduction for Engineers and Scientists; John Wiley & Sons: Hoboken, NJ, USA, 2011. [Google Scholar]
- Ames, R.; Camp, S.; Cox, R.; Mathurin, G. The Automated Laboratory for Sugar Processing. J. Sugar Beet Res. 2021, 58, 5–39. [Google Scholar] [CrossRef]
- Gaffney, J.; Marley, N. General Chemistry for Engineers; Elsevier: Amsterdam, The Netherlands, 2017. [Google Scholar]
- Mar-Abundis, N.; Fuentes-Rubio, Y.A.; Dominguez-Cruz, R.F.; Guzman-Sepulveda, J.R. Sugar Detection in Aqueous Solution Using an SMS Fiber Device. Sensors 2023, 23, 6289. [Google Scholar] [CrossRef] [PubMed]
- Okamoto, K. Fundamentals of Optical Waveguides; Elsevier: Amsterdam, The Netherlands, 2021. [Google Scholar]
- Soldano, L.B.; Pennings, E.C.M. Optical multi-mode interference devices based on self-imaging: Principles and applications. J. Light. Technol. 1995, 13, 615–627. [Google Scholar] [CrossRef]
- Wang, Q.; Farrell, G.; Yan, W. Investigation on Single-Mode–Multimode– Single-Mode Fiber Structure. J. Light. Technol. 2008, 26, 512–519. [Google Scholar] [CrossRef]
- Ghosh, G. Handbook of Optical Constants of Solids: Handbook of Thermo-Optic Coefficients of Optical Materials with Applications; Elsevier Science: Amsterdam, The Netherlands, 1998. [Google Scholar]
- United States Environmental Protection Agency. Agriculture Nutrient Management and Fertilizer. Available online: https://www.epa.gov/agriculture/agriculture-nutrient-management-and-fertilizer (accessed on 5 November 2024).
- FAO. Fats and Fatty Acids in Human Nutrition: Report of an Expert Consultation; FAO: Geneva, Switzerland, 2010. [Google Scholar]
- Novais, S.; Ferreira, C.I.A.; Ferreira, M.S.; Pinto, J.L. Optical Fiber Tip Sensor for the Measurement of Glucose Aqueous Solutions. IEEE Photonics J. 2018, 10, 6803609. [Google Scholar] [CrossRef]




Disclaimer/Publisher’s Note: The statements, opinions and data contained in all publications are solely those of the individual author(s) and contributor(s) and not of MDPI and/or the editor(s). MDPI and/or the editor(s) disclaim responsibility for any injury to people or property resulting from any ideas, methods, instructions or products referred to in the content. |
© 2025 by the authors. Licensee MDPI, Basel, Switzerland. This article is an open access article distributed under the terms and conditions of the Creative Commons Attribution (CC BY) license (https://creativecommons.org/licenses/by/4.0/).
Share and Cite
Delgadillo-González, R.K.; Mar-Abundis, N.; Domínguez-Cruz, R.F.; Ampudia-Ramírez, F.; Fuentes-Rubio, Y.A.; Guzmán-Sepúlveda, J.R. The Thermo-Optic Discrimination of an Aqueous Solution Composition Using a Multimodal Interference Fiber Optic Sensor. Eng. Proc. 2025, 87, 54. https://doi.org/10.3390/engproc2025087054
Delgadillo-González RK, Mar-Abundis N, Domínguez-Cruz RF, Ampudia-Ramírez F, Fuentes-Rubio YA, Guzmán-Sepúlveda JR. The Thermo-Optic Discrimination of an Aqueous Solution Composition Using a Multimodal Interference Fiber Optic Sensor. Engineering Proceedings. 2025; 87(1):54. https://doi.org/10.3390/engproc2025087054
Chicago/Turabian StyleDelgadillo-González, Ruth K., Nailea Mar-Abundis, René F. Domínguez-Cruz, Federico Ampudia-Ramírez, Yadira A. Fuentes-Rubio, and José R. Guzmán-Sepúlveda. 2025. "The Thermo-Optic Discrimination of an Aqueous Solution Composition Using a Multimodal Interference Fiber Optic Sensor" Engineering Proceedings 87, no. 1: 54. https://doi.org/10.3390/engproc2025087054
APA StyleDelgadillo-González, R. K., Mar-Abundis, N., Domínguez-Cruz, R. F., Ampudia-Ramírez, F., Fuentes-Rubio, Y. A., & Guzmán-Sepúlveda, J. R. (2025). The Thermo-Optic Discrimination of an Aqueous Solution Composition Using a Multimodal Interference Fiber Optic Sensor. Engineering Proceedings, 87(1), 54. https://doi.org/10.3390/engproc2025087054

