Isothermal and Thermo-Mechanical Fatigue Life Prediction Using the Total Strain Energy Density-Based Approach †
Abstract
:1. Introduction
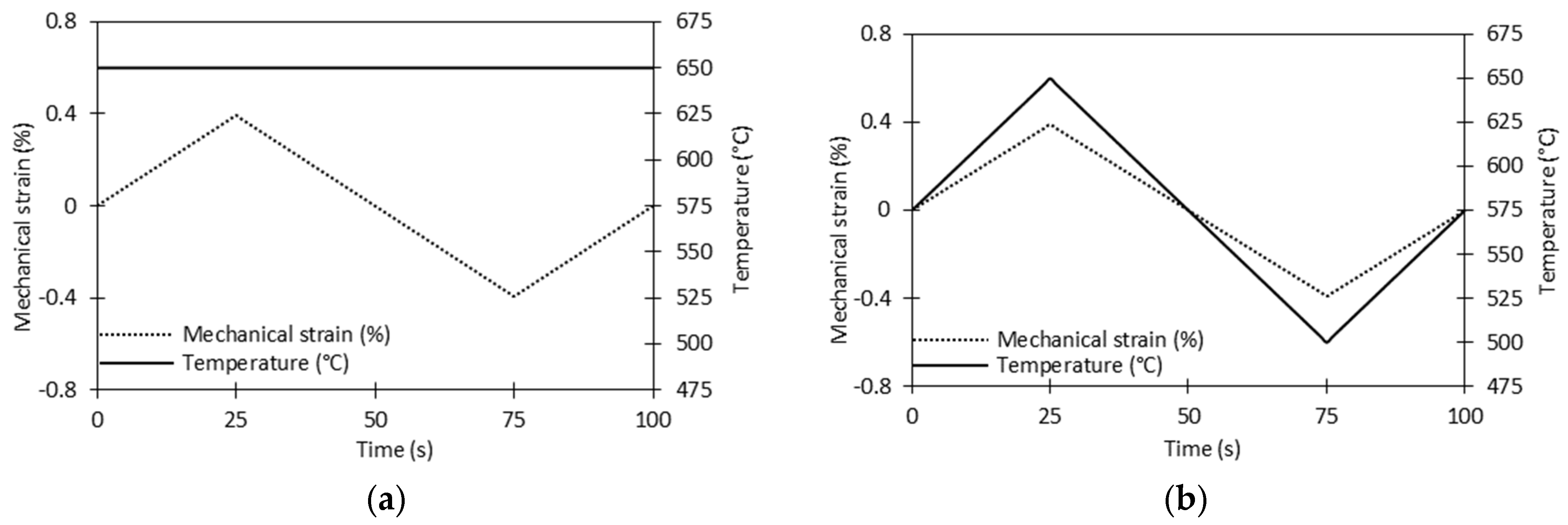
2. Experimental Setup
3. Finite Element Analysis
4. Results & Discussion
4.1. Cyclic Stress–Strain Behavior
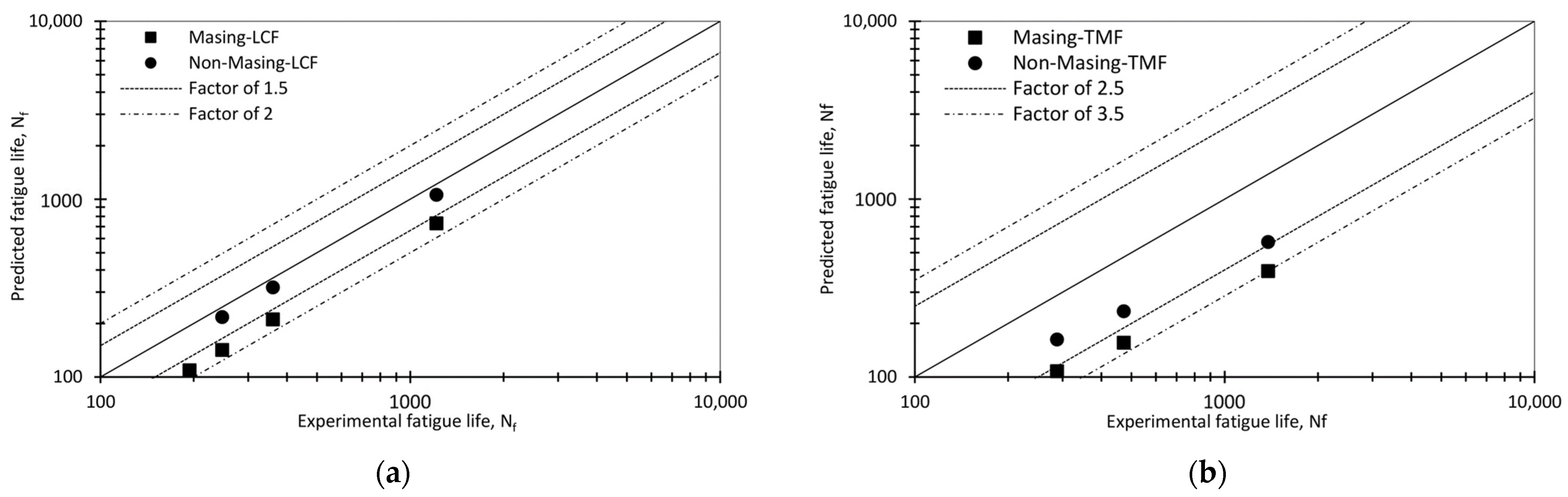
4.2. Total Strain Energy Density-Based Fatigue Life Prediction
5. Conclusions
Funding
Institutional Review Board Statement
Informed Consent Statement
Data Availability Statement
Conflicts of Interest
References
- Taira, S. Lifetime of structures subjected to varying load and temperature. In Creep in Structures; Springer: Berlin/Heidelberg, Germany, 1962; pp. 96–124. [Google Scholar]
- Priest, R.H.; Ellison, E.G. A combined deformation map-ductility exhaustion approach to creep-fatigue analysis. Mater. Sci. Eng. 1981, 49, 7–17. [Google Scholar] [CrossRef]
- Coffin, L.F. Concept of Frequency Separation in Life Prediction for Time-Dependent Fatigue; No. CONF-761107-14; General Electric Co.: Schenectady, NY, USA, 1976. [Google Scholar]
- Manson, S.S.; Halford, G.R.; Hirschberg, M.H. Creep Fatigue Analysis by Strain-Range Partitioning; NASA: Washington, DC, USA, 1971.
- He, J.; Duan, Z.; Ning, Y.; Zhao, D. Strain Energy Partitioning and Its Application to GH33A Ni-Base Superalloy and 1Cr18Ni9Ti Stainless steel. Acta Metall. Sin. 1985, 21, 54–63. [Google Scholar]
- Golos, K.; Ellyin, F. Total strain energy density as a fatigue damage parameter. In Advances in Fatigue Science and Technology; Springer: Dordrecht, The Netherlands, 1989; Volume 159, pp. 849–858. [Google Scholar]
- Hormozi, R. Experimental and Numerical Simulations of Type 316 Stainless Steel Failure under LCF/TMF Loading Conditions. Ph.D. Thesis, Imperial College, London, UK, 2014. [Google Scholar]
- Abarkan, I.; Shamass, R.; Achegaf, Z.; Khamlichi, A. Numerical and analytical studies of low cycle fatigue behavior of 316 LN austenitic stainless steel. J. Press. Vessel. Technol. 2020, 144, 061507. [Google Scholar] [CrossRef]
- Abarkan, I.; Khamlichi, A.; Shamass, R. A Study on low cycle fatigue life assessment of notched specimens made of 316 LN austenitic stainless steel. J. Press. Vessel. Technol. 2022, 144, 021503. [Google Scholar] [CrossRef]
- Roy, S.C.; Goyal, S.; Sandhya, R.; Ray, S. Low cycle fatigue life prediction of 316 L(N) stainless steel based on cyclic elasto-plastic response. Nucl. Eng. Des. 2012, 253, 219–225. [Google Scholar] [CrossRef]
- Dutta, A.; Dhar, S.; Acharyya, S.K. Material characterization of SS 316 in low-cycle fatigue loading. J. Mater. Sci. 2010, 45, 1782–1789. [Google Scholar] [CrossRef]
- Abarkan, I.; Khamlichi, A.; Shamass, R. A Numerical Analysis on the Cyclic Behavior of 316 FR Stainless Steel and Fatigue Life Prediction. Eng. Proc. 2021, 11, 28. [Google Scholar]
- ABAQUS/Standard, version 6.14; Dassault Systèmes Simulia Corp.: Providence, RI, USA, 2014.
- Coffin, L.F., Jr. A Study of the Effects of Cyclic Thermal Stresses on a Ductile Metal; Knolls Atomic Power Laboratory: Schenectady, NY, USA, 1953. [Google Scholar]
- Manson, S.S. Behavior of Materials Under Conditions of Thermal Stress; NASA: Washington, DC, USA, 1954.
- Basquin, O.H. The exponential law of endurance tests. Proc. Am. Soc. Test. Mater. 1910, 10, 625–630. [Google Scholar]
- Morrow, J. Cyclic plastic strain energy and fatigue of metals. In Internal Friction, Damping, and Cyclic Plasticity; ASTM International: West Conshohocken, PA, USA, 1965. [Google Scholar]








| Temperature (°C) | Young’s Modulus (GPa) | Yield Strength (MPa) | Thermal Conductivity (Wm−1 °C−1) | Thermal Expansion (10−6 °C−1) |
|---|---|---|---|---|
| 500 | 165 | 145 | 20.8 | 20.21 |
| 650 | 160 | 100 | 20 | 21 |
| Strain Amplitude (%) | LCF | TMF | ||||
|---|---|---|---|---|---|---|
| %Error | %Error | |||||
| 0.4 | 2.14 | 1.75 | 22.29 | 3.64 | 3.63 | 0.27 |
| 0.8 | 6.29 | 5.78 | 8.82 | 8.21 | 7.39 | 11.10 |
| 1 | 8.90 | 8.39 | 6.08 | 11.44 | 8.68 | 31.80 |
| 1.2 | 11.31 | 10.21 | 10.77 | - | - | - |
| Cyclic Strength Coefficient | Cyclic Strain Hardening Exponent | Fatigue Strength Coefficient | Fatigue Strength Exponent | Fatigue Ductility Coefficient | Fatigue Ductility Exponent |
|---|---|---|---|---|---|
| 1171.2 | 0.3006 | 791.05 | −0.178 | 0.5361 | −0.767 |
Disclaimer/Publisher’s Note: The statements, opinions and data contained in all publications are solely those of the individual author(s) and contributor(s) and not of MDPI and/or the editor(s). MDPI and/or the editor(s) disclaim responsibility for any injury to people or property resulting from any ideas, methods, instructions or products referred to in the content. |
© 2023 by the author. Licensee MDPI, Basel, Switzerland. This article is an open access article distributed under the terms and conditions of the Creative Commons Attribution (CC BY) license (https://creativecommons.org/licenses/by/4.0/).
Share and Cite
Abarkan, I. Isothermal and Thermo-Mechanical Fatigue Life Prediction Using the Total Strain Energy Density-Based Approach. Eng. Proc. 2023, 56, 52. https://doi.org/10.3390/ASEC2023-15406
Abarkan I. Isothermal and Thermo-Mechanical Fatigue Life Prediction Using the Total Strain Energy Density-Based Approach. Engineering Proceedings. 2023; 56(1):52. https://doi.org/10.3390/ASEC2023-15406
Chicago/Turabian StyleAbarkan, Ikram. 2023. "Isothermal and Thermo-Mechanical Fatigue Life Prediction Using the Total Strain Energy Density-Based Approach" Engineering Proceedings 56, no. 1: 52. https://doi.org/10.3390/ASEC2023-15406
APA StyleAbarkan, I. (2023). Isothermal and Thermo-Mechanical Fatigue Life Prediction Using the Total Strain Energy Density-Based Approach. Engineering Proceedings, 56(1), 52. https://doi.org/10.3390/ASEC2023-15406
