Investigating the Role of Subaerial Biofilms in Cultural Heritage Conservation with Infrared Thermography †
Abstract
:1. Introduction
2. Materials and Methods
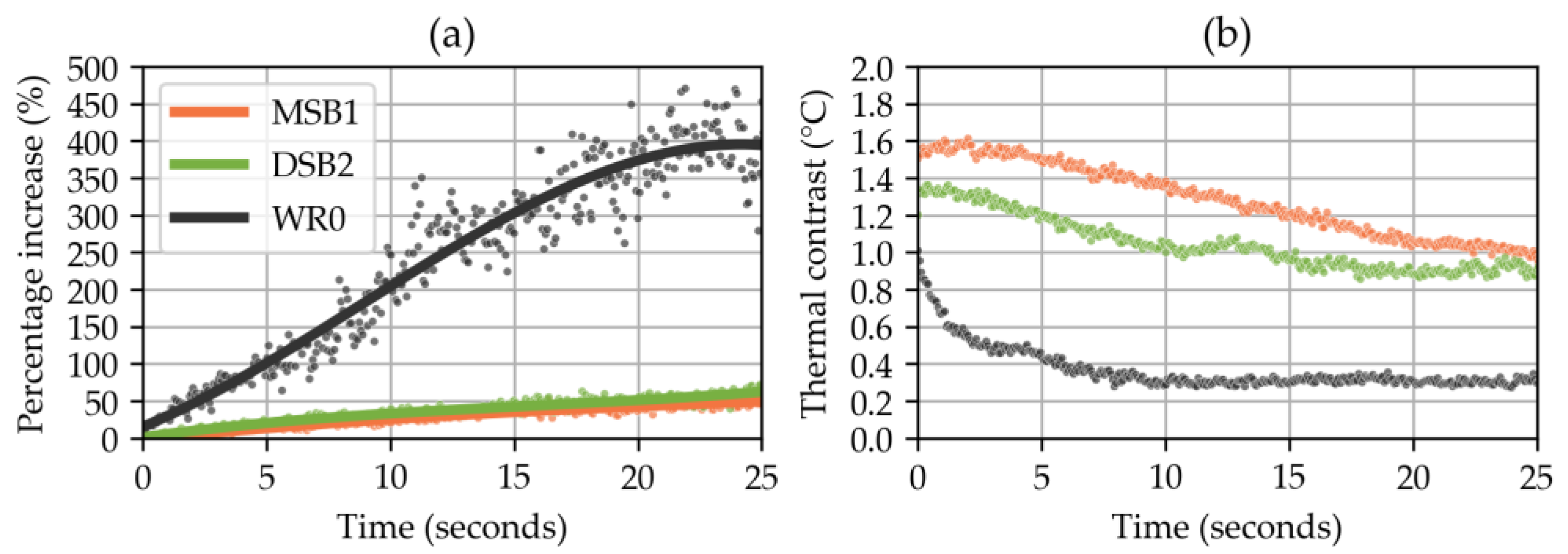
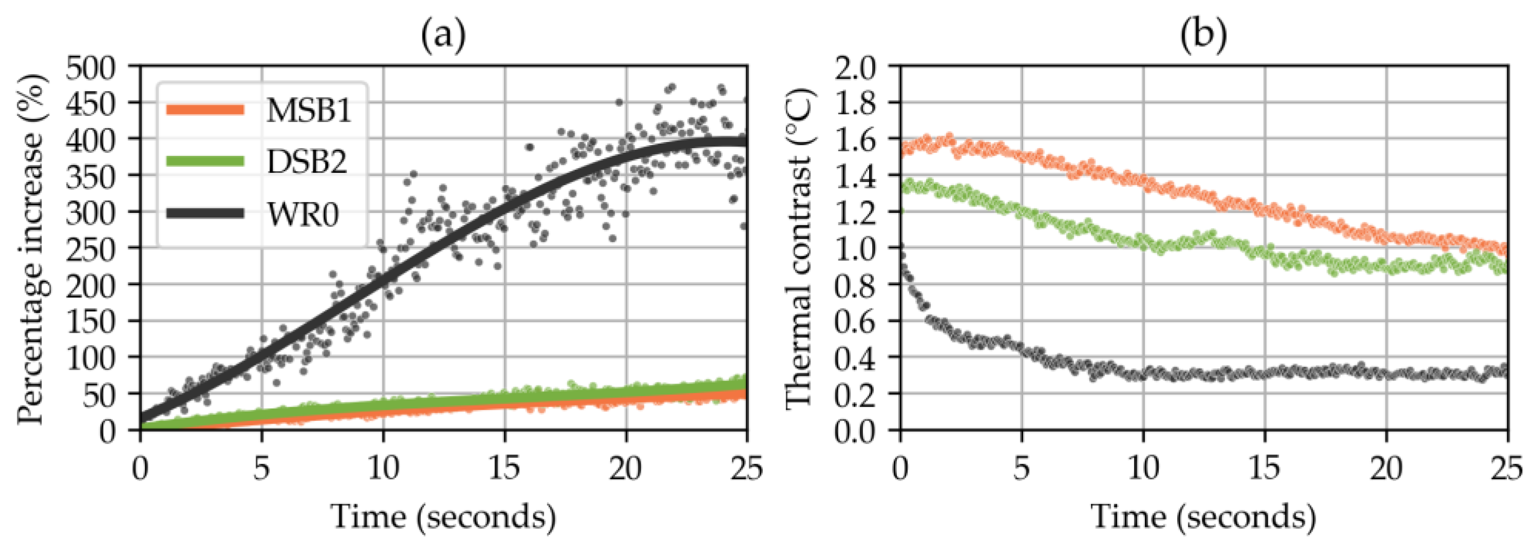
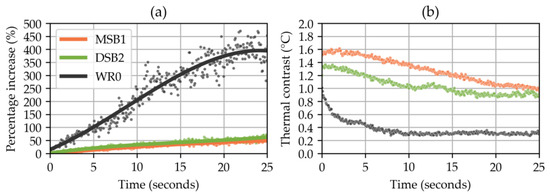
3. Results and Conclusions
Author Contributions
Funding
Institutional Review Board Statement
Informed Consent Statement
Data Availability Statement
Acknowledgments
Conflicts of Interest
References
- Vázquez-Nion, D.; Rodríguez-Castro, J.; López-Rodríguez, M.C.; Fernández-Silva, I.; Prieto, B. Subaerial Biofilms on Granitic Historic Buildings: Microbial Diversity and Development of Phototrophic Multi-Species Cultures. Biofouling 2016, 32, 657–669. [Google Scholar] [CrossRef] [PubMed]
- Villa, F.; Cappitelli, F. The Ecology of Subaerial Biofilms in Dry and Inhospitable Terrestrial Environments. Microorganisms 2019, 7, 380. [Google Scholar] [CrossRef] [PubMed]
- Li, Y.-H.; Gu, J.-D. A More Accurate Definition of Water Characteristics in Stone Materials for an Improved Understanding and Effective Protection of Cultural Heritage from Biodeterioration. Int. Biodeterior. Biodegrad. 2022, 166, 105338. [Google Scholar] [CrossRef]
- Favero-Longo, S.E.; Viles, H.A. A Review of the Nature, Role and Control of Lithobionts on Stone Cultural Heritage: Weighing-up and Managing Biodeterioration and Bioprotection. World J. Microbiol. Biotechnol. 2020, 36, 100. [Google Scholar] [CrossRef] [PubMed]
- Villa, F.; Ludwig, N.; Mazzini, S.; Scaglioni, L.; Fuchs, A.L.; Tripet, B.; Copié, V.; Stewart, P.S.; Cappitelli, F. A Desiccated Dual-Species Subaerial Biofilm Reprograms Its Metabolism and Affects Water Dynamics in Limestone. Sci. Total Environ. 2023, 868, 161666. [Google Scholar] [CrossRef]
- Negi, A.; Sarethy, I.P. Microbial Biodeterioration of Cultural Heritage: Events, Colonization, and Analyses. Microb. Ecol. 2019, 78, 1014–1029. [Google Scholar] [CrossRef] [PubMed]
- Bison, P.; Cadelano, G.; Ferrarini, G.; Girotto, M.; Gomez Serito, M.; Peron, F.; Volinia, M. Evaluation of Moisture Diffusion by IR Thermography. Eng. Proc. 2021, 8, 23. [Google Scholar] [CrossRef]
- Melada, J.; Gargano, M.; Veronese, I.; Ludwig, N. Does Electro-Osmosis Work in Moisture Damage Prevention? Applicability of Infrared-Based Methods to Verify Water Distribution under Electric Fields. J. Cult. Herit. 2018, 31, S38–S45. [Google Scholar] [CrossRef]
- Garrido, I.; Lagüela, S.; Sfarra, S.; Madruga, F.J.; Arias, P. Automatic Detection of Moistures in Different Construction Materials from Thermographic Images. J. Therm. Anal. Calorim. 2019, 138, 1649–1668. [Google Scholar] [CrossRef]
- Eyssautier-Chuine, S.; Mouhoubi, K.; Reffuveille, F.; Bodnar, J.-L. Thermographic Imaging for Early Detection of Biocolonization on Buildings. Build. Res. Inf. 2020, 48, 856–865. [Google Scholar] [CrossRef]
- Ramachandran, D.; George, R.P.; Vishwakarma, V.; Kamachi Mudali, U. Strength and Durability Studies of Fly Ash Concrete in Sea Water Environments Compared with Normal and Superplasticizer Concrete. KSCE J. Civ. Eng. 2017, 21, 1282–1290. [Google Scholar] [CrossRef]
- Pappalardo, G.; Mineo, S.; Caliò, D.; Bognandi, A. Evaluation of Natural Stone Weathering in Heritage Building by Infrared Thermography. Heritage 2022, 5, 2594–2614. [Google Scholar] [CrossRef]
- Schwarz, K.; Heitkötter, J.; Heil, J.; Marschner, B.; Stumpe, B. The Potential of Active and Passive Infrared Thermography for Identifying Dynamics of Soil Moisture and Microbial Activity at High Spatial and Temporal Resolution. Geoderma 2018, 327, 119–129. [Google Scholar] [CrossRef]
- Villa, F.; Pitts, B.; Lauchnor, E.; Cappitelli, F.; Stewart, P.S. Development of a Laboratory Model of a Phototroph-Heterotroph Mixed-Species Biofilm at the Stone/Air Interface. Front. Microbiol. 2015, 6, 1251. [Google Scholar] [CrossRef] [PubMed]
- Ludwig, N.; Rosina, E.; Sansonetti, A. Evaluation and Monitoring of Water Diffusion into Stone Porous Materials by Means of Innovative IR Thermography Techniques. Measurement 2018, 118, 348–353. [Google Scholar] [CrossRef]
- Tavukçuoğlu, A.; Grinzato, E. Determination of Critical Moisture Content in Porous Materials by IR Thermography. Quant. InfraRed Thermogr. J. 2006, 3, 231–245. [Google Scholar] [CrossRef]
- Melada, J.; Arosio, P.; Gargano, M.; Ludwig, N. Automatic Thermograms Segmentation, Preliminary Insight into Spilling Drop Test. Quant. InfraRed Thermogr. J. 2023, 1–15. [Google Scholar] [CrossRef]
- Sezgin, M.; Sankur, B. Survey over Image Thresholding Techniques and Quantitative Performance Evaluation. J. Electron. Imaging 2004, 13, 146–165. [Google Scholar] [CrossRef]


Disclaimer/Publisher’s Note: The statements, opinions and data contained in all publications are solely those of the individual author(s) and contributor(s) and not of MDPI and/or the editor(s). MDPI and/or the editor(s) disclaim responsibility for any injury to people or property resulting from any ideas, methods, instructions or products referred to in the content. |
© 2023 by the authors. Licensee MDPI, Basel, Switzerland. This article is an open access article distributed under the terms and conditions of the Creative Commons Attribution (CC BY) license (https://creativecommons.org/licenses/by/4.0/).
Share and Cite
Melada, J.; Villa, F.; Giudici, M.; Battaglia, I.; Carangelo, E.; Marzanni, A.; Ripamonti, D.; Ludwig, N. Investigating the Role of Subaerial Biofilms in Cultural Heritage Conservation with Infrared Thermography. Eng. Proc. 2023, 51, 18. https://doi.org/10.3390/engproc2023051018
Melada J, Villa F, Giudici M, Battaglia I, Carangelo E, Marzanni A, Ripamonti D, Ludwig N. Investigating the Role of Subaerial Biofilms in Cultural Heritage Conservation with Infrared Thermography. Engineering Proceedings. 2023; 51(1):18. https://doi.org/10.3390/engproc2023051018
Chicago/Turabian StyleMelada, Jacopo, Federica Villa, Mauro Giudici, Ilenia Battaglia, Enrico Carangelo, Alessia Marzanni, Davide Ripamonti, and Nicola Ludwig. 2023. "Investigating the Role of Subaerial Biofilms in Cultural Heritage Conservation with Infrared Thermography" Engineering Proceedings 51, no. 1: 18. https://doi.org/10.3390/engproc2023051018
APA StyleMelada, J., Villa, F., Giudici, M., Battaglia, I., Carangelo, E., Marzanni, A., Ripamonti, D., & Ludwig, N. (2023). Investigating the Role of Subaerial Biofilms in Cultural Heritage Conservation with Infrared Thermography. Engineering Proceedings, 51(1), 18. https://doi.org/10.3390/engproc2023051018

