Abstract
Voltage instability is a serious condition that can occur in a power system. An imbalance in reactive power, inadequate utilization of voltage control devices, loss of a component or an abrupt rise in load demand can cause this entire disturbance which leads a system to blackout, either partial or complete. In order to avoid the condition of voltage collapse, we need to predict the state of buses in the system so that we can prevent the occurrence of major outages. This research puts forward two methods for voltage collapse prediction. The first one is to compute a new line stability index (NLSI_1) through an artificial neural network, and the other one is to present a normalized power change index (NPCI) for the prediction. These indices are applied and examined on the IEEE-14 bus system; they check the state of the buses and tell us about the stability of the system. A detailed methodology and explanation are given in the following sections. According to the neural network outcomes, the normalized power change index (NPCI) proves to be more accurate than NLSI_1 for the test system.
1. Introduction
Existing electrical power systems face challenges due to the rising demand for electricity and limitations in adding new infrastructure like generation units and transmission line capacity. These limitations are a result of operational and economic constraints. The dynamic nature of power demand poses a risk of voltage collapse within electrical networks. When a line outage happens, the power flow is redistributed to other lines, potentially causing overload and triggering cascaded outages. These sudden outages can lead to a chain reaction, resulting in a widespread blackout in the system [1].
Voltage collapse refers to the instability experienced by a heavily loaded electrical power system, resulting in a decline in voltages and potentially leading to a blackout. This phenomenon is primarily associated with the reactive power limitations of the power system. However, in a practical power system, voltage instability is influenced by several other factors, including the transmission capacity of the network and limitations of the generator reactive power. Voltage stability entails maintaining a system’s voltage in a manner that allows for an increase in load admittance, thereby increasing both the load power and controllability of both the power and voltage. It is the responsibility of the utility to ensure voltage stability within the power system network.
The voltage collapse issue holds importance as it directly impacts the security and reliability of the power system. The diagnosis of instability and the continuous monitoring of power system performance under various operating conditions are crucial aspects within the network. Given that voltage stability is closely tied to system load and transmission line parameters, voltage indices have become valuable tools for power system operators in monitoring voltage stability. These indices can be employed for both online and offline tracking of the power system network. By keeping track of these indices, the operators can be made aware of the states of buses and the condition of the power system before any mishaps, meaning they can take actions to prevent such occurrences. One effective approach involves utilizing neural networks to predict stability indices and prevent voltage collapse.
2. Background
The task of overseeing and controlling power systems has become increasingly challenging due to increasing demand, and maintaining a reliable power system over an extended period is crucial. The examination of voltage stability encompasses both stable and changing aspects and researchers have employed various approaches to investigate this phenomenon. The steady-state approach utilizes the steady-state model in an analysis, resembling a power flux model or a simplified dynamic model based on a steady-state operation.
The Q–V curve is a commonly used method for assessing voltage stability [2]. It focuses on how machine voltages react and adjust when reactive power is injected. They are widely employed by utilities to estimate the risk of voltage collapse, thereby ensuring system stability.
The evaluation of voltage security heavily relies on the active power–voltage curve, commonly known as the P–V curve, which is widely recognized as the primary method in use. It calculates the distance in megawatts (MW) between the operating point and the critical voltage.
The Modal or Eigen value analysis method [3] serves the purpose of identifying the smallest eigenvalues and their corresponding eigenvectors from the load flow solution by examining the reduced Jacobian matrix. These eigenvalues provide a relative indication of the closeness to voltage instability and are associated with modes of voltage and reactive power variation.
Voltage stability indices are crucial for understanding how electric power systems behave. These indices include a line stability index (Lmn), fast voltage stability index (FVSI), line stability factor (LQP), and line voltage stability index (LVSI).
A combination of the Lmn and FVSI gives a new line stability index whose value lies between zero and one [4]. It has been seen that the NLSI performs online stability analysis faster than the previous methods discussed.
The proposed NPCI (normalized power change index) is compared to known grid voltage stability indices (Lmn, FV SI, LQP, NLSI, and VSLI) under various operating scenarios within the system. All line voltage stability indices are based on the same theoretical basis, differing only in the assumptions used in each index. The NPCI has been proposed to predict the risk of voltage dips and stresses in transmission lines. The NLSI only takes the values of the reactive power, so we have designed a new index that gives the best result. We have designed the new index of the system considering all those parameters that contribute to voltage collapse, with the NPCI being one of them. The NPCI takes the reactive power by also considering the active power in collapsing to prevent all unnecessary turnings of the system.
In contrast to the indices mentioned above, the proposed method considers all sensitive assumptions affecting the accurate diagnosis of collapse problems in order to accurately predict stress instabilities.
3. Methodology
The methodology is based on voltage stability indices, NLSI_1, and the NPCI. The indices are predicted by forming a neural network. An online collapse prediction model was developed, and the results of the superior index have been shown.
3.1. System Modelling
The test system that is taken for the computation of the voltage stability indicator is the IEEE-14 bus system. The system has been modeled on MATLAB’s Simulink environment. The system values such as bus and generator voltages, power rating of the generators, and line reactance and impedance are set according to the data given online. After modeling the system, it is subjected to load flow to compute power ratings at load buses. If the results of the load flow show no errors this means the system is modeled correctly.
3.2. Nlsi Calculation
For the voltage collapse prediction using an ANN, we calculated the stability index for both, i.e., the base case and contingency case. NLSI_1 is a voltage stability indicator that falls within the range of zero to one. If the value is close to zero then the bus will be considered stable; if the value is close to one, then the bus will be considered as a critical bus upon which the voltage can collapse [5]. We calculated the stability index for the base case when the system was running under normal operating conditions as well as for the contingency case, where the system was applied to a reactive power loading, which meant that we changed the reactive power of the buses to check whether the voltage collapse had occurred on the system or not.
3.3. Artificial Neural Network
We used the ANN approach that was carried on the MATLAB neural toolbox. This approach is based on the multilayer perceptron feed-forward neural network whose inputs are the variables of NLSI_1.
3.4. Generating and Training of Input Data
MLPNN, which stands for Multilayer Perceptron Neural Network, is composed of a minimum of three layers: an input layer, one or more hidden layers, and an output layer. The input layer has 1 neuron, the hidden has 5, and the output layer has 1. Our training was successful with 5 neurons, so we did not need to increase the hidden layers of neurons. Twenty input output data sets were selected for the base and contingency cases. In the context of this paper, the inputs for the MLPNN were chosen based on the necessary variables for calculating NLSI_1. These are the reactive power flows in the lines (q), sending-end voltage (vs), line reactance (x), transmission line angle (θ)), delta (δ), and switching function (σ). In the MATLAB neural network toolbox, the min and max values of the total input data are taken for the range of training. Activation functions for the network are used, such as transig, logsig, and purelin. The maximum limit of the network-training iteration process is set as 1000 epochs (iterations) and the stopping criteria limit or threshold of the network is set as 1 × 10−12. The next step is the transformation of all these inputs into a single input, then the data set of these inputs is placed in the neural network by applying the Levenberg–Marquardt algorithm. After training of the network, we checked the performance and regression plots. The value of the regression plots must be close to 1—that indicates our model is trained perfectly. After the testing of the inputs, the values for the base case come out close to zero, and for the contingency case the increment in the reactive power for the NSLO buses being close to one indicates that a voltage collapse has occurred on the system. The difference between the actual values (i.e., from the NSLI calculations) and predicted values through use of the ANN for both the base and contingency case is the smallest, meaning the neural network seems successful in the prediction of voltage collapse.
3.5. Npci Calculation
Here we carried out the voltage collapse prediction for both the base and contingency cases on the software python version 3.9.7. The NPCI is also a voltage stability indicator whose values lie between zero and one. For the prediction of voltage collapse, first we have to install the following libraries in the python environment pandas: NumPy and pip. The initial step involves data collection, where the inputs for computing the NPCI are chosen based on the necessary variables. These variables send and receive active power and reactive power, as well as send and receive end voltages. We imported this simple data file that contained the variables (Ps, Pr, Qs, Qr, Vs, Vr) into the pandas data frame in python. After that, we scaled the input data using Scaler and split the data into input and target variables (NPCI sending and receiving). The input layer is defined implicitly by specifying the input shape parameter in the first Dense layer. The input shape corresponds to the shape of the input data (X_train_scaled), which determines the number of input features.
The code snippet includes 2 hidden layers with 64 units each. These layers are defined using the Dense layer with the ‘relu’ activation function. The output of each hidden layer serves as the input for the subsequent layer and the output layer is a single Dense layer with 1 unit. It does not have an activation function specified, which means it will output the raw predicted values. The code assumes the training data (X_train_scaled and y_train) and the new data (new_data_scaled) have been appropriately preprocessed and loaded before training and prediction. Then, we normalized this input data and built ANN model for sending and receiving the NPCI. We evaluated these values from our data file, and this gave us the NPCI sending and receiving figures with the prediction libraries, which were tensor flow and sk learn. The difference between the actual and predicted value was minimal in the base case prediction for the NCPI, as NCPI came out close to zero, indicating the stability of the system. For the contingency case analysis, the NPCI values were greater than 0 but not 1 because we performed NPCI calculations on the existing system that was used for NLSI_1, since we only increased the load reactive power for the NLSI contingency case prediction. So, we increased the system parameters like voltage, reactive power, and active power and observed that when any of these parameters increased to their maximum range, the greater the chance of the system collapsing and entering a critical state.
4. Results and Discussion
The NLSI_1 and NPCI values were calculated and predicted using the artificial neural network. The base and contingency cases were both evaluated. The results displayed show the proposed normalized power change index (NPCI).
The NPCI base case was computed as seen in Table 1. The index values were close to 0, showing that the buses were stable. When the system is running on normal operating conditions, the system is stated as stable, as seen from the NPCI computations in Table 1.
Table 1.
Base case values of NPCI.
Our first contingency test index values were greater than 0 but not close to 1. In Table 2, the values of the NPCI are shown as being close to 1. Since the NPCI takes all system parameters that can be responsible for collapse in a power system network and not only specific parameters, it is a better approach to predict collapse condition in power system networks. Figure 1 and Figure 2 show the base case differences, while Figure 3 and Figure 4 show the improved contingency case differences.
Table 2.
Improved contingency case values of NPCI.
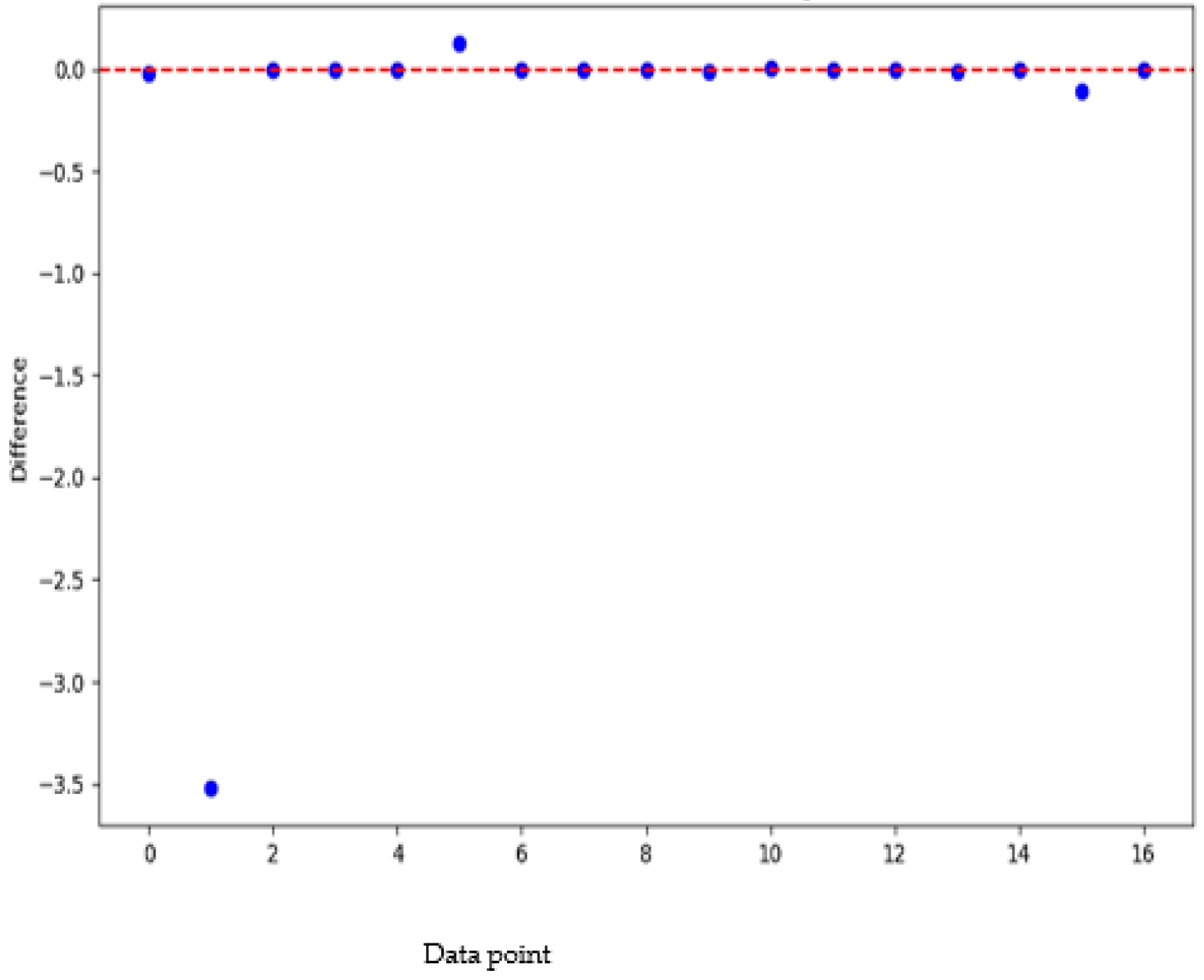
Figure 1.
Differences for NPCI sending base case.
Figure 2.
Differences for NPCI receiving base case.
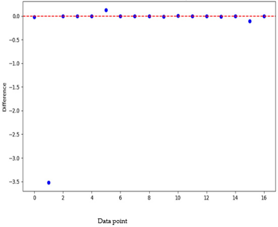
Figure 3.
Differences for NPCI (sending) improved contingency case.
Figure 4.
Differences for NPCI (receiving) improved contingency case.
When the system is running on normal operating conditions, the system is stated as stable, as seen from the NPCI computations in Table 1.
Figure 1, Figure 2, Figure 3 and Figure 4 show the scatter plots used to visualize the differences between the predicted NPCI values and the actual values. The x-axis represents the data points, and the y-axis represents the differences.
The red dashed line indicates zero difference, with the predicted values matching the actual values. The improved contingency case shows that the actual and predicted values have almost zero differences.
5. Conclusions
This research presented an overview of voltage stability analysis techniques. Two indices, new line stability (NLSI_1) and the normalized power change index (NPCI), were employed to predict the voltage collapse in an IEEE-14 bus system. A neural network was developed and trained for a successful network. The results and performance of both indices were discussed. The results suggest that the NPCI is a better approach as compared to NLSI_1 in predicting voltage collapse because it takes all the system parameters that could cause collapse in the system, while NLSI_1 only takes specific parameters.
Author Contributions
A.A. and A.I. have performed the modelling and simulation. A.A. and A.I. have performed the calculations of both the indices. T.K. has implemented the framework for artificial neural network. A.U. have performed the project report writing and formatting work. A.M. conducted a comprehensive literature review and played a pivotal role in shaping the idea behind this study. All authors have read and agreed to the published version of the manuscript.
Funding
This research received no external funding.
Institutional Review Board Statement
Not applicable.
Informed Consent Statement
Not applicable.
Data Availability Statement
Not applicable.
Conflicts of Interest
The authors declare no conflict of interest.
References
- Shakerighadi, B.; Aminifar, F.; Afsharnia, S. Power systems wide-area voltage stability assessment considering dissimilar load variations and credible contingencies. J. Mod. Power Syst. Clean Energy 2019, 7, 78–87. [Google Scholar] [CrossRef]
- Ibrahim, M.H.; Jasim, A.H. Voltage Collapse Prediction of IEEE 30-Bus system. Tikrit J. Eng. Sci. 2021, 28, 98–112. [Google Scholar] [CrossRef]
- Mokred, S.; Wang, Y.; Chen, T. A novel collapse prediction index for voltage stability analysis and contingency ranking in power systems. Prot. Control. Mod. Power Syst. 2023, 8, 7. [Google Scholar] [CrossRef]
- Samuel, I.A.; Katende, J.; Awosope, C.O.; Awelewa, A.A. Awosope Claudius Prediction of Voltage Collapse in Electrical Power System Networks using a New Voltage Stability Index. Int. J. Appl. Eng. Res. 2017, 12, 190–199. [Google Scholar]
- Isaac, S.; Adebola, S.; Ayokunle, A.; Katende, J.; Claudius, A. Awosope Claudius Voltage collapse prediction using artificial neural network. Int. J. Electr. Comput. Eng. 2021, 11, 124–132. [Google Scholar]
Disclaimer/Publisher’s Note: The statements, opinions and data contained in all publications are solely those of the individual author(s) and contributor(s) and not of MDPI and/or the editor(s). MDPI and/or the editor(s) disclaim responsibility for any injury to people or property resulting from any ideas, methods, instructions or products referred to in the content. |
© 2023 by the authors. Licensee MDPI, Basel, Switzerland. This article is an open access article distributed under the terms and conditions of the Creative Commons Attribution (CC BY) license (https://creativecommons.org/licenses/by/4.0/).



