Abstract
A BODIPY derivative functionalized with a phenyl group at the meso-position was synthesized and characterized through 1H NMR and UV–Vis absorption/emission spectroscopies. The compound showed an absorption band at 497 nm and a fluorescence band at 513 nm, with a ΦF = 0.68 in acetonitrile. The evaluation of the chemosensing ability of the BODIPY was investigated in the presence of several ions with environmental and biomedical relevance. A highly selective fluorimetric response was observed for Fe3+ through fluorescence quenching upon successive additions of this cation.
1. Introduction
The development of molecular sensors for the detection of metal ions is an active research field with great potential for biomedical applications. It is well-known that metal ions display a fundamental role in biochemical processes, including cell metabolism regulation and cell signaling. Moreover, iron is a cofactor of several proteins and enzymes involved in important processes such as oxygen transport, neurotransmission, the regulation of gene expression, and energy production. However, its abnormal levels in human tissues have been related to diabetes mellitus and neurodegenerative disease, namely Alzheimer’s disease. Therefore, the efficient detection of these species is a timeless topic in several areas of investigation [1,2,3,4].
Briefly, 3-difluoroborodipyrromethene (BODIPY) derivatives have become a cornerstone in the optical sensor field because of their advantageous features: high molar absorptivity, high quantum fluorescence yields, intense and narrow absorption/emission bands in the visible region of the electromagnetic spectrum, and good photochemical stability. Moreover, the BODIPY core can be chemically modified to fine-tune its optical properties and to attach suitable receptor groups selective to a particular target [5,6,7].
Considering the above-mentioned facts as well as our research interest in BODIPY derivatives for several applications [8,9,10,11,12,13,14,15], particularly as optical chemosensors, we report herein a BODIPY fluorophore functionalized with a phenyl group at the meso-position for a selective response towards Fe3+. The chemosensory ability of the BODIPY derivative was investigated in acetonitrile in the presence of different ions, showing a selective fluorescence quenching upon Fe3+ interaction.
2. Materials and Method
All reagents were purchased from Sigma-Aldrich (St. Louis, MO, USA), Acros (Geel, Belgium), and Fluka (Buchs, Switzerland) and used as received. TLC analyses were carried out on 0.25 mm thick pre-coated silica plates (Merck Fertigplatten Kieselgel 60F254), and spots were visualized under UV light. Chromatography on silica gel was carried out on Merck Kieselgel (230–400 mesh).
NMR spectra were obtained on a Bruker Avance III 400 at an operating frequency of 400 MHz for 1H at 25 °C, using the solvent peak as an internal reference. All chemical shifts are given in ppm using δH Me4Si = 0 ppm as a reference. The synthesis of BODIPY derivative 1 has been reported elsewhere [16]. UV–visible absorption spectra were obtained using a Shimadzu UV/2501PC spectrophotometer. Fluorescence spectra were collected using a Horiba FluoroMax-4 spectrofluorometer in quartz cells. The relative fluorescence quantum yield was calculated using a 1 × 10−5 M solution of Rhodamine 6G in ethanol as a reference (ΦF = 0.95) [17,18].
2.1. Synthesis of the BODIPY Derivative 1
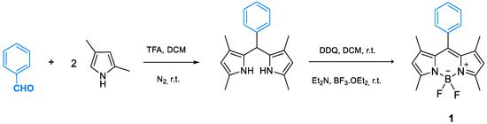
Briefly, 2,4-dimethylpyrrole (3.0 mmol) and benzaldehyde (1.5 mmol) were dissolved in dry dichloromethane (80 mL). Two drops of trifluoroacetic acid were added, and the mixture was allowed to stir for 50 min at room temperature under a nitrogen atmosphere. A solution of 2,3-dichloro-5,6-dicyano-1,4-benzoquinone (DDQ) (3.0 mmol) in dry dichloromethane (100 mL) was added to the mixture. Stirring was continued for another 50 min, and then triethylamine (25.5 mmol) was added. After stirring for 15 min, boron trifluoride diethyl etherate (43.3 mmol) was added and further stirred for 30 min. The solvent was evaporated under reduced pressure, and the crude residue was purified by dry flash chromatography (petroleum ether/dichloromethane, 2:1). BODIPY 1 (Figure 1) was obtained as an orange solid (0.106 g, 21%).
Figure 1.
Structure of BODIPY derivative 1.
1H NMR (400 MHz, CDCl3): 𝛿 = 1.12 (s, 6H, CH3-1 and CH3-7), 2.28 (s, 6H, CH3-3 and CH3-5), 5.73 (s, 2H, H-2 and H-6), 6.99–7.02 (m, 2H, H-3′ and H-5′), 7.21–7.24 (m, 3H, H-2′, H-4′ and H-6′) ppm.
2.2. Chemosensing Studies of BODIPY Derivative 1
The evaluation of the BODIPY derivative 1 as an optical chemosensor was carried out in the presence of several cations (Ag+, K+, Li+, Na+, Cu+, TBT+, Hg2+, Ca2+, Co2+, Fe2+, Zn2+, Pb2+, Mn2+, Ni2+, Cd2+, Cu2+, Pd2+, Cs2+, Fe3+, and Al3+) and anions (HSO4−, NO3−, H2PO4−, CN−, BzO−, ClO4−, Br−, F−, I−, and CH3CO2−) with environmental and biomedical relevance. The solutions of the BODIPY derivative were prepared in acetonitrile at a final concentration of 1×10−5 M, and the solutions of ions were prepared in acetonitrile at a concentration of 1 × 10−2 M. The preliminary study was performed by the addition of 50 equivalents of each ion to the solution of the BODIPY derivative.
The spectrofluorimetric titration was performed for the ion, which induced a fluorimetric response in the preliminary study. The solution of BODIPY derivative 1 and the ion were prepared as in the previous study. A certain number of equivalents (eq) of the ion were successively added to the compound solution, and the fluorescence spectra were plotted after each addition.
3. Results and Discussion
3.1. Synthesis and Photophysical Characterization of BODIPY Derivative 1
The BODIPY derivative 1 was synthesized following the well-known Lindsey’s method [18]. In the first step, benzaldehyde reacts with 2,4-dimethylpyrrole in the presence of trifluoroacetic acid (TFA) as a catalyst under a nitrogen atmosphere. The oxidation of the dipyrromethane to dipyrromethene occurred through the addition of a solution of 2,3-dichloro-5,6-diciano-1,4-benzoquinone (DDQ), followed by complexation with boron trifluoride diethyl etherate in the presence of triethylamine, giving rise to BODIPY bearing a phenyl group at the meso-position. The product was obtained after purification by chromatography as an orange solid with a 21% yield (Scheme 1). The 1H NMR of the compound was in accordance with the literature [16].
Scheme 1.
Synthetic route of BODIPY derivative 1.
The photophysical features of BODIPY derivative 1 were studied in an aprotic solvent (acetonitrile). The compound exhibited an absorption band centered at 497 nm with a logarithmic molar absorption coefficient of 5.44 and an emission band with a maximum of 513 nm. The relative fluorescence quantum yield was found to be 0.68.
3.2. Chemosensing Studies of BODIPY Derivative 1
Having in mind the application of BODIPY derivative 1 as a chemosensor of ions with biological and environmental importance, a preliminary study was carried out in acetonitrile solution in the presence of selected cations (Ag+, K+, Li+, Na+, Cu+, TBT+, Hg2+, Ca2+, Co2+, Fe2+, Zn2+, Pb2+, Mn2+, Ni2+, Cd2+, Cu2+, Pd2+, Cs2+, Fe3+, and Al3+) and anions (HSO4−, NO3−, H2PO4−, CN−, BzO−, ClO4−, Br−, F−, I−, and CH3CO2−).
As shown in Figure 2, although no color change was observed in the presence of the different cations (Figure 2a), the fluorimetric response of the compound was remarkably selective for Fe3+ (Figure 2b), showing a fluorescence quenching upon the interaction between the compound and the cation.

Figure 2.
(a) Evaluation of BODIPY derivative 1 as colorimetric (top) and fluorimetric (bottom) chemosensor for several cations (50 equivalents) in acetonitrile solution. (b) Fluorescence quenching in the presence of Fe3+.
On the other hand, the interaction with the anions did not induce any perceptible changes, neither colorimetric nor fluorimetric.
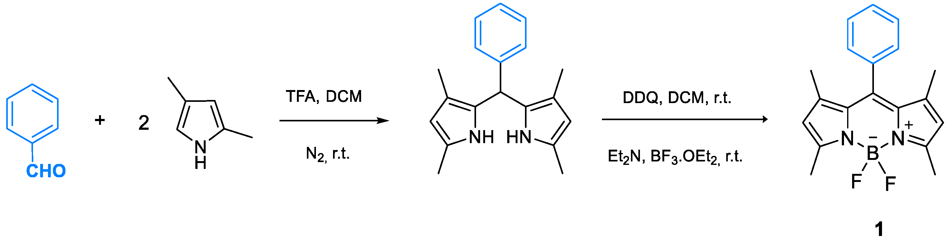
The spectrofluorimetric titration of BODIPY derivative 1 was performed in acetonitrile with Fe3+, as a result of the preliminary study, which revealed the highly selective response towards this cation. The fluorescence spectra demonstrated that the intensity of the emission band at 513 nm decreased progressively upon the addition of the cation, and the number of Fe3+ equivalents to achieve a plateau was around 15 equivalents (Figure 3).
Figure 3.
Spectrofluorimetric titration spectra of BODIPY derivative 1 upon the addition of increasing quantities of Fe3+ (0 eq.—black line, to 30 eq.—red line) in acetonitrile. Inset: normalized emission intensity at 513 nm as a function of [Fe3+]/[1].
4. Conclusions
This work describes the synthesis, the photophysical properties and chemosensing studies toward several ions in acetonitrile, of a BODIPY derivative bearing a phenyl unit at the meso-position. The highly selective detection of Fe3+ in a solution of acetonitrile among other ions was observed through the fluorescence quenching of the compound’s emission band at 513 nm. This result might be of interest for applications of the BODIPY derivative 1 as a fluorimetric chemosensor of Fe3+.
Author Contributions
R.C.R.G.—Performed the synthesis of the compound, spectroscopic characterization, photophysical characterization, chemosensing studies, formal analysis, writing of original draft; M.L.B.—performed the synthesis of the compound, spectroscopic characterization, photophysical characterization, chemosensing studies; S.P.G.C.—methodology, supervision, formal analysis; M.M.M.R.—methodology, supervision, formal analysis, writing—original draft. All authors have read and agreed to the published version of the manuscript.
Funding
The authors acknowledge Fundação para a Ciência e Tecnologia—FCT (Portugal) for funding through CQUM (UID/QUI/00686/2020) and a PhD grant to R.C.R. Gonçalves (SFRH/BD/05278/2020). The NMR spectrometer Bruker Avance III 400 is part of the National NMR Network and was purchased within the framework of the National Program for Scientific Re-equipment, contract REDE/1517/RMN/2005 with funds from POCI 2010 (FEDER) and FCT.
Institutional Review Board Statement
Not applicable.
Informed Consent Statement
Not applicable.
Data Availability Statement
Not applicable.
Conflicts of Interest
The authors declare no conflict of interest.
References
- Zheng, X.; Cheng, W.; Ji, C.; Zhang, J.; Yin, M. Detection of metal ions in biological systems: A review. Rev. Anal. Chem. 2020, 39, 231–246. [Google Scholar] [CrossRef]
- Barnham, K.J.; Bush, A.I. Biological metals and metal-targeting compounds in major neurodegenerative diseases. Chem. Soc. Rev. 2014, 43, 6727–6749. [Google Scholar] [CrossRef] [PubMed]
- Stroh, M.; Swerdlow, R.H.; Zhu, H. Common defects of mitochondria and iron in neurodegeneration and diabetes (MIND): A paradigm worth exploring. Biochem. Pharmacol. 2014, 88, 573–583. [Google Scholar] [CrossRef] [PubMed]
- Kwon, N.; Hu, Y.; Yoon, J. Fluorescent chemosensors for various analytes including reactive oxygen species, biothiol, metal ions, and toxic gases. ACS Omega 2018, 3, 13731–13751. [Google Scholar] [CrossRef] [PubMed]
- Boens, N.; Leen, V.; Dehaen, W. Fluorescent indicators based on BODIPY. Chem. Soc. Rev. 2012, 41, 1130–1172. [Google Scholar] [CrossRef] [PubMed]
- Bañuelos, J. BODIPY dye, the most versatile fluorophore ever? Chem. Rec. 2016, 16, 335–348. [Google Scholar] [CrossRef]
- Boens, N.; Verbelen, B.; Dehaen, W. Postfunctionalization of the BODIPY core: Synthesis and spectroscopy. Eur. J. Org. Chem. 2015, 2015, 6577–6595. [Google Scholar] [CrossRef]
- Presti, M.L.; Martínez-Máñez, R.; Ros-Lis, J.V.; Batista, R.M.F.; Costa, S.P.G.; Raposo, M.M.M.; Sancenón, F. A dual channel sulphur-containing macrocycle functionalised BODIPY probe for the detection of Hg(II) in mixed aqueous solution. New J. Chem. 2018, 42, 7863–7868. [Google Scholar] [CrossRef]
- Gonçalves, R.C.R.; Pinto, S.C.S.; Costa, S.P.G.; Raposo, M.M.M. Synthesis, characterization and evaluation of a novel BODIPY derivative as a colorimetric chemosensor for Fe3+ recognition. Proceedings 2019, 41, 40. [Google Scholar] [CrossRef]
- Gonçalves, R.C.R.; Pinto, S.C.S.; Costa, S.P.G.; Raposo, M.M.M. A meso-triphenylamine-BODIPY derivative for the optical chemosensing of metal ions. Chem. Proc. 2021, 3, 65. [Google Scholar] [CrossRef]
- Pinto, S.C.S.; Gonçalves, R.C.R.; Costa, S.P.G.; Raposo, M.M.M. Synthesis, characterization and evaluation of a carbazolyl-BODIPY as a fluorimetric chemosensor for F−. Chem. Proc. 2022, 8, 20. [Google Scholar] [CrossRef]
- Gonçalves, R.; Pina, J.; Costa, S.P.G.; Raposo, M.M.M. Synthesis and characterization of aryl-substituted BODIPY dyes displaying distinct solvatochromic singlet oxygen photosensitization efficiencies. Dyes Pigm. 2021, 196, 109784. [Google Scholar] [CrossRef]
- Collado, D.; Casado, J.; González, S.R.; Navarrete, J.T.L.; Suau, R.; Perez-Inestrosa, E.; Pappenfus, T.M.; Raposo, M.M.M. Enhanced functionality for donor-acceptor oligothiophenes by means of inclusion of BODIPY: Synthesis, electrochemistry, photophysics and model chemistry. Chem. Eur. J. 2011, 17, 498–507. [Google Scholar] [CrossRef] [PubMed]
- Gonçalves, R.; Nogueira, M.; Costa, S.P.G.; Raposo, M.M.M. BODIPY derivatives: Synthesis and evaluation of their optical properties. Proceedings 2019, 9, 10. [Google Scholar] [CrossRef]
- Gonçalves, R.; Nogueira, M.; Costa, S.P.G.; Raposo, M.M.M. Functionalized BODIPY derivatives as potential fluorescent labels. Proceedings 2019, 9, 36. [Google Scholar] [CrossRef]
- Kollmannsberger, M.; Rurack, K.; Resch-genger, U.; Daub, J. Ultrafast charge transfer in amino-substituted boron dipyrromethene dyes and its inhibition by cation complexation: A new design concept for highly sensitive fluorescent probes. Chem. Soc. 1998, 102, 10211–10220. [Google Scholar] [CrossRef]
- Montalti, M.; Credi, A.; Prodi, L.; Gandolfi, M.T. Handbook of Photochemistry, 3rd ed.; CRC Press: Boca Raton, FL, USA, 2006. [Google Scholar]
- Demas, J.N.; Crosby, G.A. Measurement of photoluminescence quantum yields. J. Phys. Chem. 1971, 75, 991–1024. [Google Scholar] [CrossRef]
Publisher’s Note: MDPI stays neutral with regard to jurisdictional claims in published maps and institutional affiliations. |
© 2022 by the authors. Licensee MDPI, Basel, Switzerland. This article is an open access article distributed under the terms and conditions of the Creative Commons Attribution (CC BY) license (https://creativecommons.org/licenses/by/4.0/).




