Magnetic Thin Film Inductor Characteristics and Packaging Stress †
Abstract
1. Introduction
2. Materials and Methods
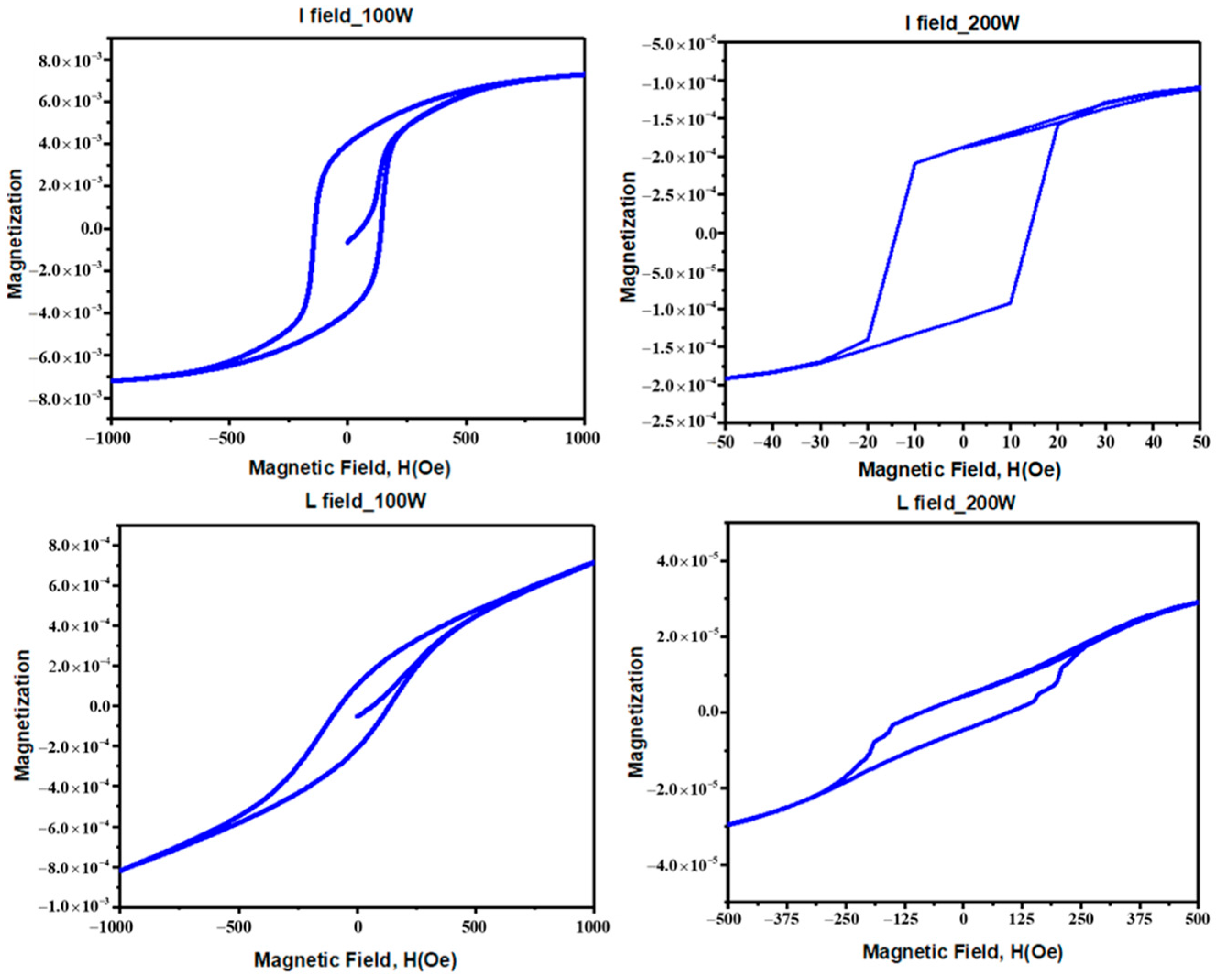
2.1. Magnetic Properties of Materials
2.2. Mechanical Properties of Materials
3. Results and Discussion
3.1. Thermal Stress Simulation of Magnetic Thin-Film Inductor Structure
3.2. Electromagnetic Simulation
4. Conclusions
Author Contributions
Funding
Institutional Review Board Statement
Informed Consent Statement
Data Availability Statement
Conflicts of Interest
References
- Chen, W.; Bottoms, W.R. Chapter 10 Integrated Power Electronics, Sec. I Embedded Integrated Voltage Regulators, November version 2021. In Heterogeneous Integration Roadmap; IEEE: New York, NY, USA, 2021; pp. 9–10. Available online: https://eps.ieee.org/technology/heterogeneous-integration-roadmap/2021-edition.html (accessed on 25 January 2026).
- Burton, E.A.; Schrom, G.; Paillet, F.; Douglas, J.; Lambert, W.J.; Radhakrishnan, K.; Hill, M. FIVR—Fully integrated voltage regulators on 4th generation Intel® Core™ SoCs. In Proceedings of the 2014 IEEE Applied Power Electronics Conference and Exposition—APEC 2014, Fort Worth, TX, USA, 16–20 March 2014; pp. 432–439. [Google Scholar]
- Ahmed, F.U.; Sandhie, Z.T.; Ali, L.; Chowdhury, M.H. A Brief Overview of On-Chip Voltage Regulation in High-Performance and High-Density Integrated Circuits. IEEE Access 2021, 9, 813–826. [Google Scholar] [CrossRef]
- Radhakrishnan, K.; Swaminathan, M.; Bhattacharyya, B.K. Power delivery for high-performance microprocessors—Challenges, solutions, and future trends. IEEE Trans. Compon. Packag. Manuf. Technol. 2021, 11, 655–671. [Google Scholar] [CrossRef]
- Ding, Y.; Fang, X.; Wu, R.; Sin, J.K. Fan-out-package-embedded coupled inductors for integrated voltage conversion. In Proceedings of the 32nd International Symposium on Power Semiconductor Devices and ICs (ISPSD), Vienna, Austria, 13–18 September 2020. [Google Scholar]
- Gardner, D.S.; Schrom, G.; Hazucha, P.; Paillet, F.; Karnik, T.; Borkar, S. Integrated On Chip Inductors With Magnetic Film. In Proceedings of the 2006 International Electron Devices Meeting, IEDM 2006, San Francisco, CA, USA, 11–13 December 2006. [Google Scholar] [CrossRef]
- Sturcken, N.; O’Sullivan, E.; Wang, N.; Herget, P.; Webb, B.; Romankiw, L.; Petracca, M.; Davies, R.; Fontan, R.; Decad, G.; et al. A 2.5D integrated voltage regulator using coupled-magnetic-core inductors on silicon interposer delivering 10.8A/mm2. In Proceedings of the 2012 IEEE International Solid-State Circuits Conference, San Francisco, CA, USA, 19–23 February 2012; pp. 400–402. [Google Scholar]
- Sturcken, N.; O’Sullivan, E.J.; Wang, N.; Herget, P.; Webb, B.C.; Romankiw, L.T.; Petracca, M.; Davies, R.; Fontana, R.E.; Decad, G.M.; et al. A 2.5 D integrated voltage regulator using coupled magnetic-core inductors on silicon interposer. IEEE J. Solid-State Circuits 2013, 48, 244–254. [Google Scholar] [CrossRef]
- Lambert, W.J.; Hill, M.J.; O’Brien, K.P.; Radhakrishnan, K.; Fischer, P. Study of Thin-Film Magnetic Inductors Applied to Integrated Voltage Regulators. IEEE Trans. Power Electron. 2020, 35, 6208–6220. [Google Scholar] [CrossRef]
- Lee, D.W.; Hwang, K.-P.; Wang, S.X. Fabrication and analysis of high-performance integrated solenoid inductor with magnetic core. IEEE Trans. Magn. 2008, 44, 4089–4095. [Google Scholar] [CrossRef]
- Krishnamurthy, H.K.; Vaidya, V.; Kumar, P.; Jain, R.; Weng, S.; Kim, S.T.; Matthew, G.E.; Desai, N.; Liu, X.; Ravichandran, K.; et al. A digitally controlled fully integrated voltage regulator with on-die solenoid inductor with planar magnetic core in 14-nm tri-gate CMOS. IEEE J. Solid-State Circuits 2017, 53, 8–19. [Google Scholar] [CrossRef]
- Gardner, D.S.; Schrom, G.; Hazucha, P.; Paillet, F.; Karnik, T.; Borkar, S.; Hallstein, R.; Dambrauskas, T.; Hill, C.; Linde, C.; et al. Integrated on-chip inductors using magnetic material. J. Appl. Phys. 2008, 103, 07E927. [Google Scholar] [CrossRef]
- Gardner, D.S.; Schrom, G.; Paillet, F.; Jamieson, B.; Karnik, T.; Borkar, S. Review of On-Chip Inductor Structures With Magnetic Films. IEEE Trans. Magn. 2009, 45, 4760–4766. [Google Scholar] [CrossRef]
- Burghartz, J.N.; Rejaei, B. On the design of RF spiral inductors on silicon. IEEE Trans. Electron Devices 2003, 50, 718–729. [Google Scholar] [CrossRef]
- Beraki, M.; Trovão, J.P.; Perdigão, M. Comprehensive comparison and selection of magnetic materials for powertrain DC–DC converters. IET Electr. Syst. Transp. 2020, 10, 125–134. [Google Scholar] [CrossRef]
- Liang, X.; Dong, C.; Chen, H.; Wang, J.; Wei, Y.; Zaeimbashi, M.; He, Y.; Matyushov, A.; Sun, C.; Sun, N. A Review of Thin-Film Magnetoelastic Materials for Magnetoelectric Applications. Sensors 2020, 20, 1532. [Google Scholar] [CrossRef] [PubMed]
- Wu, H.; Gardner, D.S.; Xu, W.; Yu, H. Integrated RF on-chip inductors with patterned CZT B films. IEEE Trans. Magn. 2012, 48, 4123–4126. [Google Scholar] [CrossRef]
- Cheng, C.; Davies, R.; Sturcken, N.; Shepard, K.; Bailey, W.E. Optimization of ultra-soft CoZrTa/SiO2/CoZrTa trilayer elements for integrated inductor structures. J. Appl. Phys. 2013, 113, 17A343. [Google Scholar] [CrossRef]
- Oliver, W.C.; Pharr, G.M. An improved technique for determining hardness and elastic modulus using load and displacement sensing indentation experiments. J. Mater. Res. 1992, 7, 1564–1583. [Google Scholar] [CrossRef]




| Measurement Point | Er (GPa) | E (GPa) |
|---|---|---|
| 1 | 93.875 | 92.637 |
| 2 | 95.547 | 94.429 |
| 3 | 94.170 | 92.953 |
| 4 | 94.256 | 93.045 |
| 5 | 95.081 | 93.929 |
Disclaimer/Publisher’s Note: The statements, opinions and data contained in all publications are solely those of the individual author(s) and contributor(s) and not of MDPI and/or the editor(s). MDPI and/or the editor(s) disclaim responsibility for any injury to people or property resulting from any ideas, methods, instructions or products referred to in the content. |
© 2026 by the authors. Licensee MDPI, Basel, Switzerland. This article is an open access article distributed under the terms and conditions of the Creative Commons Attribution (CC BY) license.
Share and Cite
Chao, Y.; Chang, T.; Liu, D. Magnetic Thin Film Inductor Characteristics and Packaging Stress. Eng. Proc. 2025, 120, 50. https://doi.org/10.3390/engproc2025120050
Chao Y, Chang T, Liu D. Magnetic Thin Film Inductor Characteristics and Packaging Stress. Engineering Proceedings. 2025; 120(1):50. https://doi.org/10.3390/engproc2025120050
Chicago/Turabian StyleChao, Yungching, Tingsheng Chang, and Deshin Liu. 2025. "Magnetic Thin Film Inductor Characteristics and Packaging Stress" Engineering Proceedings 120, no. 1: 50. https://doi.org/10.3390/engproc2025120050
APA StyleChao, Y., Chang, T., & Liu, D. (2025). Magnetic Thin Film Inductor Characteristics and Packaging Stress. Engineering Proceedings, 120(1), 50. https://doi.org/10.3390/engproc2025120050

