Study of Organic Radicals Generated upon Naphthoquinone-Hydantoins Reactions in Basic Aqueous Solution †
Abstract
1. Introduction
2. Methods
2.1. Thiohydantoins Synthesis
2.2. Naphthoquinone-Hydantoins Hybrids Synthesis
2.3. Product Characterization
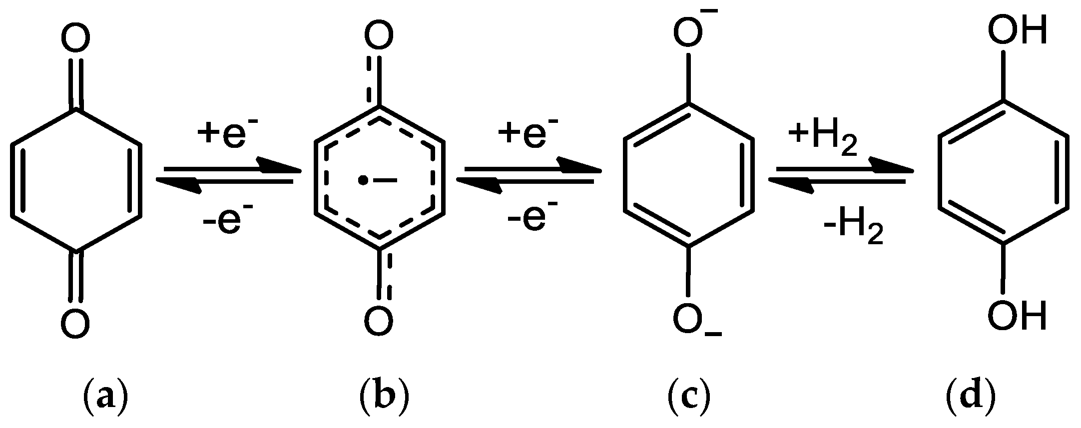
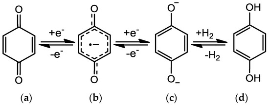
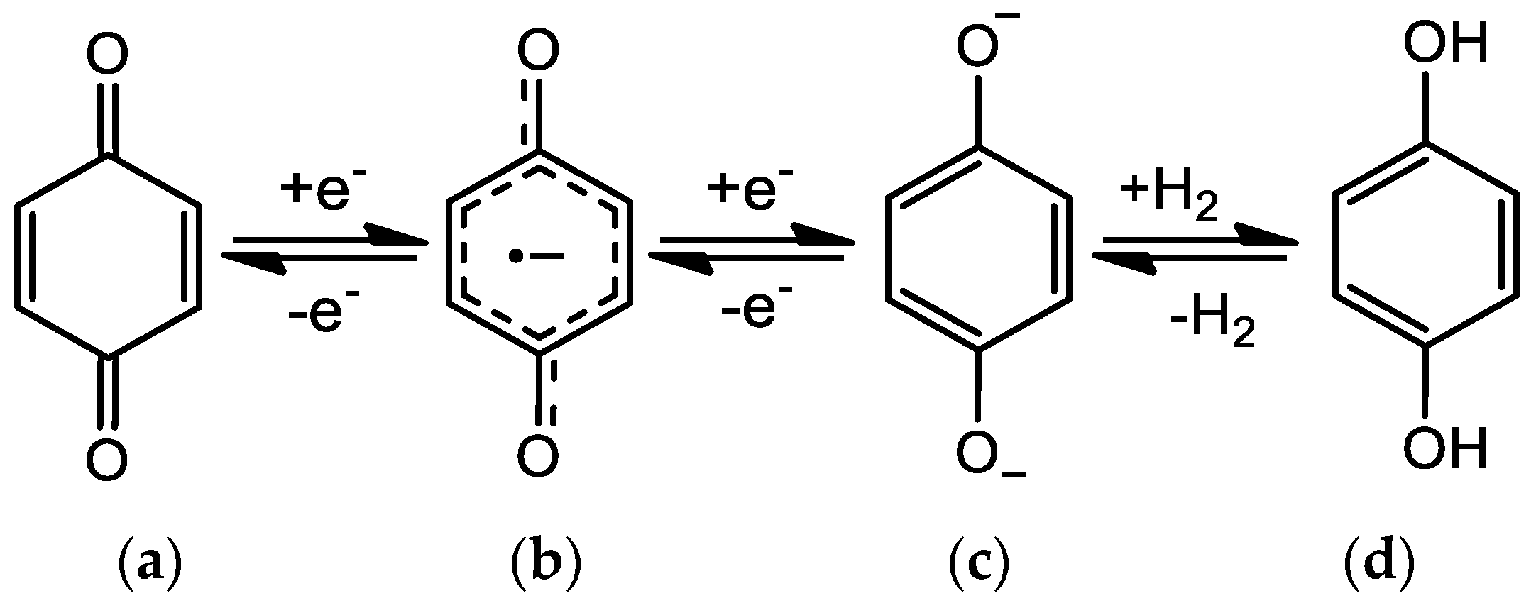
3. Results and Discussion
3.1. Thiohydantoin Synthesis
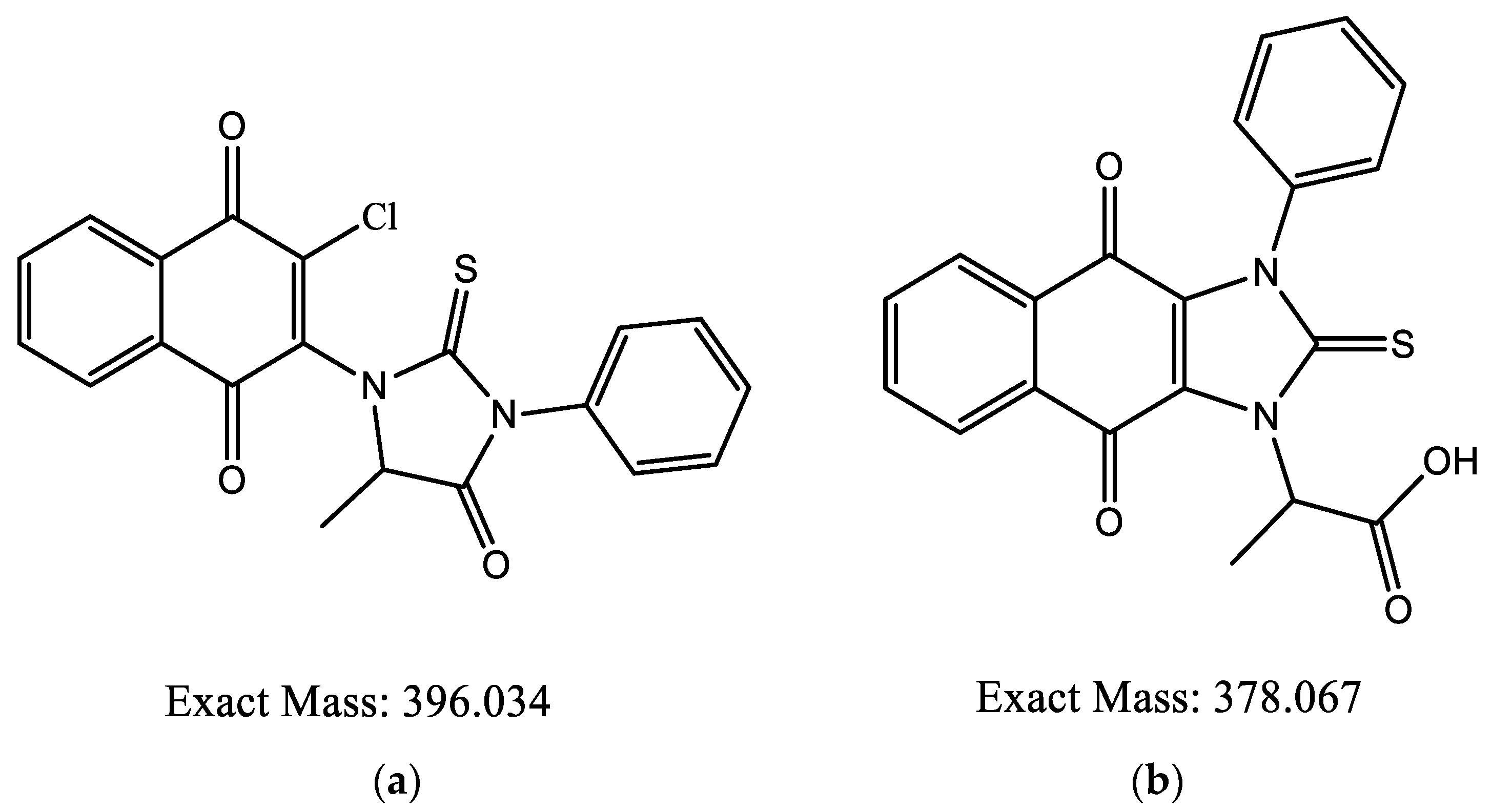
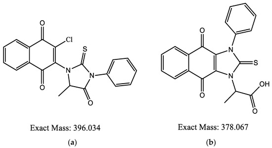
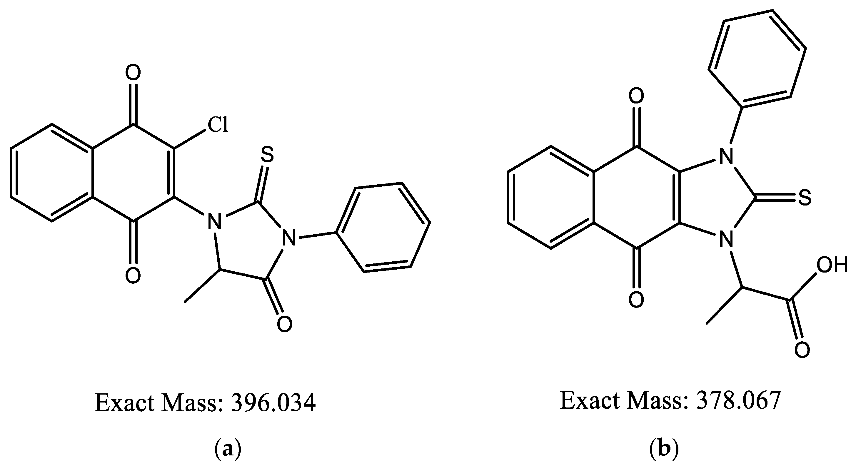
3.2. Naphthoquinone-Hydantoins Hybrids Synthesis
4. Conclusions
Funding
Institutional Review Board Statement
Informed Consent Statement
Data Availability Statement
Acknowledgments
Conflicts of Interest
References
- Safari, J.; Javaian, L. Montmorillonite K-10 as a catalyst in the synthesis of 5, 5-disubstituted hydantoins under ultrasound irradiation. J. Chem. Sci. 2013, 125, 981–987. [Google Scholar] [CrossRef]
- Majumdar, P.; Bathula, C.; Basu, S.M.; Das, S.K.; Agarwal, R.; Hati, S.; Singh, A.; Sen, S.; Das, B.B. Design, synthesis and evaluation of thiohydantoin derivatives as potent topoisomerase I (Top1) inhibitors with anticancer activity. Eur. J. Med. Chem. 2015, 102, 540–551. [Google Scholar] [CrossRef] [PubMed]
- Evdokimova, N.M.; Magedovb, I.V.; McBrayerb, D.; Kornienko, A. Isatin derivatives with activity against apoptosis-resistant cancer cells. Bioorg. Med. Chem. Lett. 2015, 26, 1558–1560. [Google Scholar] [CrossRef] [PubMed]
- Caturelli, J.; Martini, M.F.; Fabian, L.; Moltrasio, G.Y.; Moglioni, A.G. Synthesis and spectroscopic characterization of cyclobutyl hydantoins. J. Mol. Struct. 2018, 1171, 495–502. [Google Scholar] [CrossRef]
- Leyva, E.; López, L.I.; Loredo-Carrillo, S.E.; Rodríguez-Kessler, M.; Montes-Rojas, A. Synthesis, spectral and electrochemical characterization of novel 2-(fluoroanilino)-1,4-naphthoquinones. J. Fluor. Chem. 2011, 132, 94–101. [Google Scholar] [CrossRef]
- Su, C.; Liu, Z.; Wang, Y.; Wang, Y.; Song, E.; Song, Y. The electrophilic character of quinones is essential for the suppression of. Toxicology 2017, 387, 17–26. [Google Scholar] [CrossRef] [PubMed]
- Lopez-Lopez, L.I.; Garcia, J.J.V.; Saenz-Galindo, A.; Silva-Belmares, S.Y. Ultrasonic and Microwave Assisted Synthesis of Nitrogen-Containing Derivatives of Juglone as Potential Antibacterial Agents. Lett. Org. Chem. 2014, 11, 573–582. [Google Scholar] [CrossRef]
- Rivera-Avalos, E.; de Loera, D.; Araujo-Huitrado, J.G.; Escalante-García, I.L.; Muñoz-Sánchez, M.A.; Hernández, H.; López, J.A.; López, L. Synthesis of Amino Acid–Naphthoquinones and In Vitro Studies on Cervical and Breast Cell Lines. Molecules 2019, 24, 4285. [Google Scholar] [CrossRef] [PubMed]
- Duin, E. Electron Paramagnetic Resonance Theory. Available online: http://webhome.auburn.edu/~duinedu/epr/1_theory.pdf (accessed on 10 November 2020).
- Yang, S.J.; Lee, J.M.; Lee, G.H.; Kim, N.Y.; Kim, Y.S.; Gong, Y.D. Microwave assisted synthesis of 1,3,4-oxadiazole/thiohydantoin hybrid derivatives via dehydrative cycliztion of semicarbazide. Bull. Korean Chem. Soc. 2014, 35, 3609–3617. [Google Scholar] [CrossRef][Green Version]
- Elguero, M.D.; Alkorta, J.; Pardo, I.; Claramunto, C.; María, R.M.S. Resonancia Magnética Nuclear de Protón: Aplicaciones en Química Orgánica. Available online: http://www.are.iqm.csic.es/cursos/rmn_parte1.pdf (accessed on 10 November 2020).
- Edward, J.; Nielsen, S. Thiohydantoins. Part II Alkaline Hydrolyses. J. Chem. Soc. (Resumed) 1955, 5080–5083. [Google Scholar]
- Edward, J.; Nielsen, S. Thiohydantoins. Part I. Ionisation and Ultraviolet Absorption. J. Chem. Soc. (Resumed) 1957, 5075–5079. [Google Scholar] [CrossRef]









| Compound 1 | Yield (%) |
|---|---|
| 4ac | 65 |
| 4ad | 73 |
| 4ae | 62 |
| 4af | 69 |
| 4ag | 58 |
| 4bd | 55 |
| 4be | 56 |
| 4bf | 52 |
Publisher’s Note: MDPI stays neutral with regard to jurisdictional claims in published maps and institutional affiliations. |
© 2020 by the authors. Licensee MDPI, Basel, Switzerland. This article is an open access article distributed under the terms and conditions of the Creative Commons Attribution (CC BY) license (https://creativecommons.org/licenses/by/4.0/).
Share and Cite
Flores, E.; Rivera-Avalos, E.; Rodríguez-Molina, B.; Frontana, C.; López, L.; Loera, D.d. Study of Organic Radicals Generated upon Naphthoquinone-Hydantoins Reactions in Basic Aqueous Solution. Chem. Proc. 2021, 3, 58. https://doi.org/10.3390/ecsoc-24-08415
Flores E, Rivera-Avalos E, Rodríguez-Molina B, Frontana C, López L, Loera Dd. Study of Organic Radicals Generated upon Naphthoquinone-Hydantoins Reactions in Basic Aqueous Solution. Chemistry Proceedings. 2021; 3(1):58. https://doi.org/10.3390/ecsoc-24-08415
Chicago/Turabian StyleFlores, Enrique, Ernesto Rivera-Avalos, Braulio Rodríguez-Molina, Carlos Frontana, Lluvia López, and Denisse de Loera. 2021. "Study of Organic Radicals Generated upon Naphthoquinone-Hydantoins Reactions in Basic Aqueous Solution" Chemistry Proceedings 3, no. 1: 58. https://doi.org/10.3390/ecsoc-24-08415
APA StyleFlores, E., Rivera-Avalos, E., Rodríguez-Molina, B., Frontana, C., López, L., & Loera, D. d. (2021). Study of Organic Radicals Generated upon Naphthoquinone-Hydantoins Reactions in Basic Aqueous Solution. Chemistry Proceedings, 3(1), 58. https://doi.org/10.3390/ecsoc-24-08415

