Electrical Conductivity and Nyquist Plot of C4C1Im BF4 at Room Temperature by Impedance Spectroscopy †
Abstract
:1. Introduction
2. Materials and Methods
Chemicals
3. Experimental
3.1. LCR Precision Meter
3.2. Electrical Conductivity
3.3. Temperature Stabilization
4. Methodology
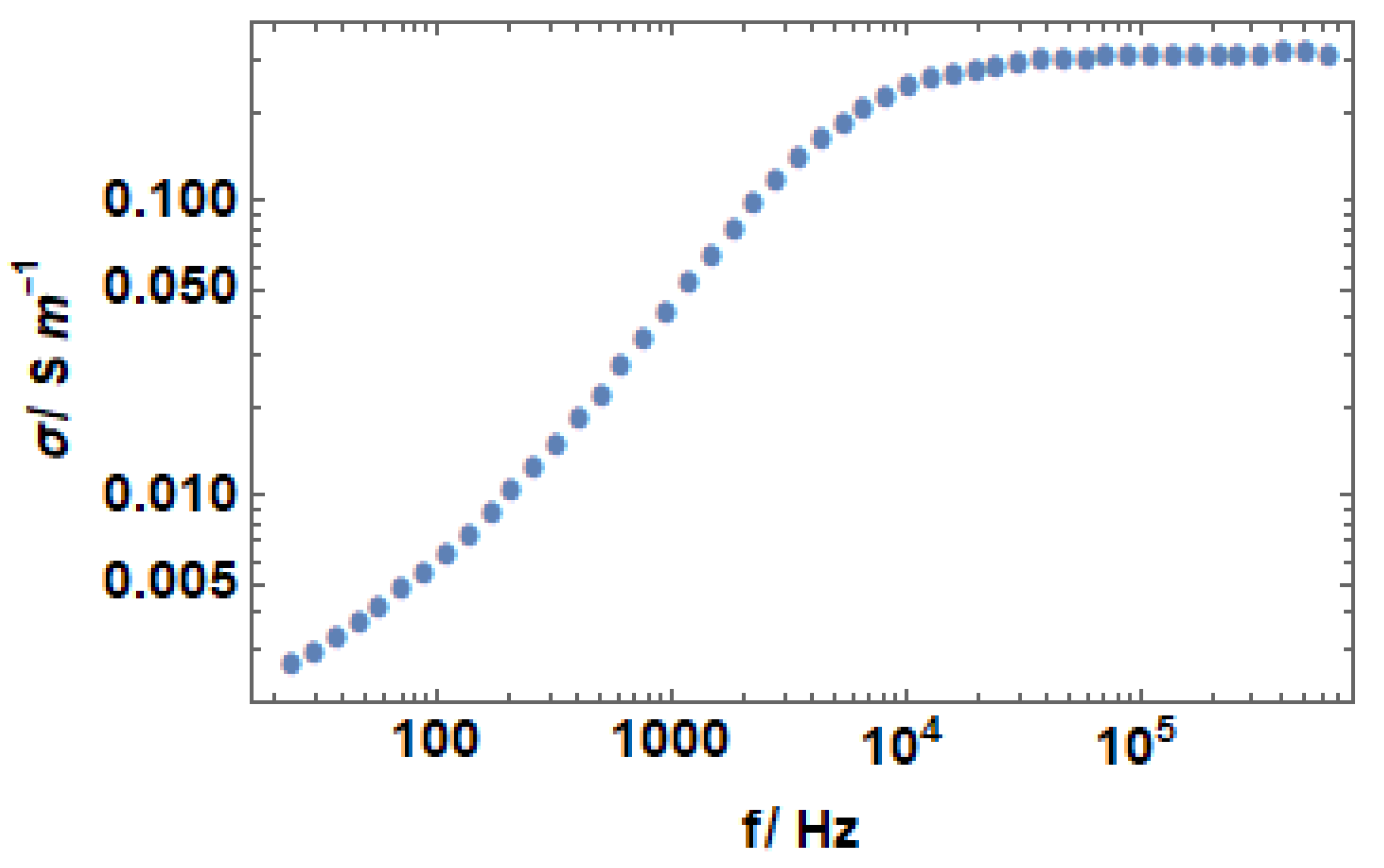
5. Results
6. Conclusions
Author Contributions
Funding
References
- Salgado, J.; Villanueva, M.; Parajó, J.J.; Fernández, J. Long-term thermal stability of five imidazolium ionic liquids. J. Chem. Thermodyn. 2013, 65, 184–190. [Google Scholar] [CrossRef]
- Sangoro, J.; Iacob, C.; Serghei, A.; Naumov, S.; Galvosas, P.; Kärger, J.; Wespe, C.; Bordusa, F.; Stoppa, A.; Hunger, J.; et al. Electrical conductivity and translational diffusion in the 1-butyl-3-methylimidazolium tetrafluoroborate ionic liquid. J. Chem. Phys. 2008, 128, 214509. [Google Scholar] [CrossRef] [PubMed]
- Earle, M.J.; Seddon, K.R. Ionic liquids. Green solvents for the future. Pure Appl. Chem. 2000, 1391–1398. [Google Scholar] [CrossRef]
- Wilkes, J.S. Properties of ionic liquid solvents for catalysis. J. Mol. Catal. A Chem. 2004, 214, 11–17. [Google Scholar] [CrossRef]
- Shimada, J.; Tsunashima, K.; Ue, M.; Iwasaki, K.; Tsuda, T.; Kuwabata, S.; Kanematsu, H.; Hirai, N.; Kogo, T.; Ogawa, A. Physical and Electrochemical Properties of Ionic Liquids Based on Quaternary Phosphonium Cations and Carboxylate Anions as Electrolytes. ECS Trans. 2017, 75, 105–111. [Google Scholar] [CrossRef]
- Plechkova, N.V.; Seddon, K.R. Applications of ionic liquids in the chemical industry. Chem. Soc. Rev. 2008, 37, 123–150. [Google Scholar] [CrossRef] [PubMed]
- de Azevedo, R.G.; Esperança, J.M.S.S.; Najdanovic-Visak, V.; Visak, Z.P.; Guedes, H.J.R.; da Ponte, M.N.; Rebelo, L.P.N. Thermophysical and thermodynamic properties of 1-butyl-3-methylimidazolium tetrafluoroborate and 1-butyl-3-methylimidazoliuin hexafluorophosphate over an extended pressure range. J. Chem. Eng. Data 2005, 50, 997–1008. [Google Scholar] [CrossRef]
- Leys, J.; Wübbenhorst, M.; Menon, C.P.; Rajesh, R.; Thoen, J.; Glorieux, C.; Nockemann, P.; Thijs, B.; Binnemans, K.; Longuemart, S. Temperature dependence of the electrical conductivity of imidazolium ionic liquids. J. Chem. Phys. 2008, 128. [Google Scholar] [CrossRef] [PubMed]
- Galiński, M.; Lewandowski, A.; Stepniak, I. Ionic liquids as electrolytes. Electrochim. Acta 2006, 51, 5567–5580. [Google Scholar] [CrossRef]
- Vila, J.; Ginés, P.; Pico, J.M.; Franjo, C.; Jiménez, E.; Varela, L.M.; Cabeza, O. Temperature dependence of the electrical conductivity in EMIM-based ionic liquids: Evidence of Vogel-Tamman-Fulcher behavior. Fluid Phase Equilib. 2006, 242, 141–146. [Google Scholar] [CrossRef]
- Menne, S.; Pires, J.; Anouti, M.; Balducci, A. Protic ionic liquids as electrolytes for lithium-ion batteries. Electrochem. Commun. 2013, 31, 39–41. [Google Scholar] [CrossRef]
- Hewlett-Packard. Operation Manual; HP 4284A Precisicion LCR Meter; Hewlett Packard: Tokyo, Japan, 1998. [Google Scholar]
- Harris, K.R.; Kanakubo, M.; Tsuchihashi, N.; Ibuki, K.; Ueno, M. Effect of pressure on the transport properties of ionic liquids: 1-alkyl-3-methylimidazolium salts. J. Phys. Chem. B 2008, 112, 9830–9840. [Google Scholar] [CrossRef] [PubMed]
- Rilo, E.; Vila, J.; Pico, J.; García-Garabal, S.; Segade, L.; Varela, L.M.; Cabeza, O. Electrical conductivity and viscosity of aqueous binary mixtures of 1-alkyl-3-methyl imidazolium tetrafluoroborate at four temperatures. J. Chem. Eng. Data 2010, 639–644. [Google Scholar] [CrossRef]




| Name | Molecular Weight (g·mol−1) | Structure | Abbreviation CAS Number | Provenance |
|---|---|---|---|---|
| 1-Butyl-3-methylimidazolium tetrafluoroborate | 226.02 | ![]() | C4C1Im BF4 174501-65-6 | ACROS ORGANICS |
Publisher’s Note: MDPI stays neutral with regard to jurisdictional claims in published maps and institutional affiliations. |
© 2020 by the authors. Licensee MDPI, Basel, Switzerland. This article is an open access article distributed under the terms and conditions of the Creative Commons Attribution (CC BY) license (https://creativecommons.org/licenses/by/4.0/).
Share and Cite
Vallet, P.; Parajó, J.J.; Sotuela, F.; Morcillo, A.; Villanueva, M.; Cabeza, O.; Varela, L.M.; Salgado, J. Electrical Conductivity and Nyquist Plot of C4C1Im BF4 at Room Temperature by Impedance Spectroscopy. Chem. Proc. 2021, 3, 119. https://doi.org/10.3390/ecsoc-24-08369
Vallet P, Parajó JJ, Sotuela F, Morcillo A, Villanueva M, Cabeza O, Varela LM, Salgado J. Electrical Conductivity and Nyquist Plot of C4C1Im BF4 at Room Temperature by Impedance Spectroscopy. Chemistry Proceedings. 2021; 3(1):119. https://doi.org/10.3390/ecsoc-24-08369
Chicago/Turabian StyleVallet, Pablo, Juan José Parajó, Félix Sotuela, Angel Morcillo, María Villanueva, Oscar Cabeza, Luís Miguel Varela, and Josefa Salgado. 2021. "Electrical Conductivity and Nyquist Plot of C4C1Im BF4 at Room Temperature by Impedance Spectroscopy" Chemistry Proceedings 3, no. 1: 119. https://doi.org/10.3390/ecsoc-24-08369
APA StyleVallet, P., Parajó, J. J., Sotuela, F., Morcillo, A., Villanueva, M., Cabeza, O., Varela, L. M., & Salgado, J. (2021). Electrical Conductivity and Nyquist Plot of C4C1Im BF4 at Room Temperature by Impedance Spectroscopy. Chemistry Proceedings, 3(1), 119. https://doi.org/10.3390/ecsoc-24-08369


