Synthesis and In Silico Evaluation 7-Hydroxycoumarin-4-Acetic Acid as Possible Cytochromes P450 Substrate
Abstract
1. Introduction
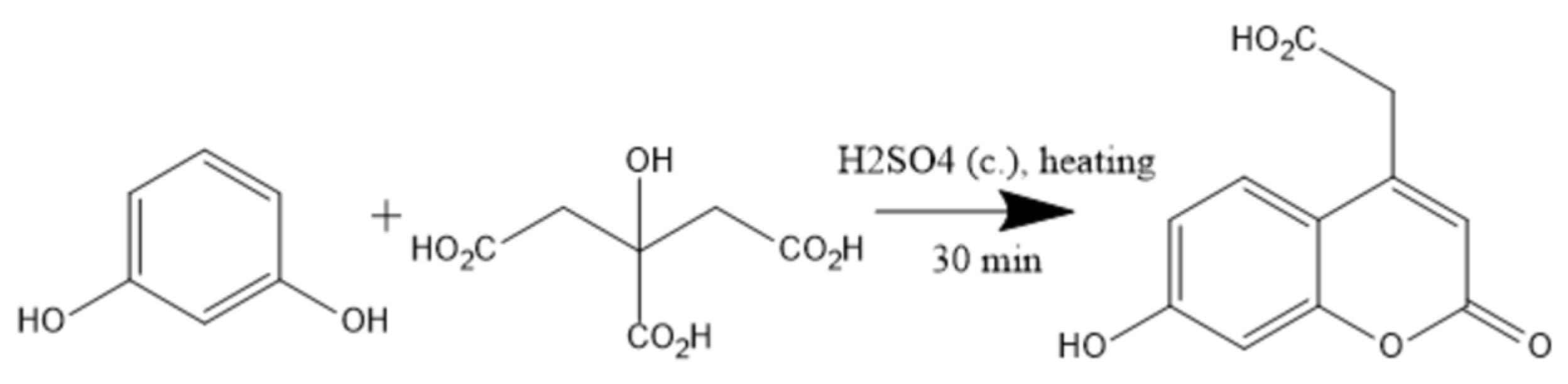
2. Materials and Methods
3. Results and Discussion
4. Conclusions
Author Contributions
Funding
Institutional Review Board Statement
Informed Consent Statement
Data Availability Statement
Conflicts of Interest
References
- Omar, S.; Webb, A.J. Nitrite reduction and cardiovascular protection. J. Mol. Cell Cardiol. 2014, 73, 57–69. [Google Scholar] [CrossRef] [PubMed]
- Nelson, D.R. Progress in tracing the evolutionary paths of cytochrome P450. Biochim. Biophys. Acta 2011, 1814, 14–18. [Google Scholar] [CrossRef] [PubMed]
- Manikandan, P.; Nagini, S. Cytochrome P450 Structure, Function and Clinical Significance: A Review. Curr. Drug Targets 2018, 19, 38–54. [Google Scholar] [CrossRef] [PubMed]
- Annunziata, F.; Pinna, C.; Dallavalle, S.; Tamborini, L.; Pinto, A. An Overview of Coumarin as a Versatile and Readily Accessible Scaffold with Broad-Ranging Biological Activities. Int. J. Mol. Sci. 2020, 21, 4618. [Google Scholar] [CrossRef] [PubMed]
- Borges, F.; Roleira, F.; Milhanzes, N.; Santana, L.; Uriarte, E. Simple coumarins and analogues in medicinal chemistry: Occurrence, synthesis and biological activity. Curr. Med. Chem. 2005, 12, 887–916. [Google Scholar] [CrossRef] [PubMed]
- Srikrishna, D.; Godugu, C.; Dubey, P.K. A Review on Pharmacological Properties of Coumarins. Mini Rev. Med. Chem. 2018, 18, 113–141. [Google Scholar] [CrossRef] [PubMed]
- Erland, J.F. Demant Bovine Serum Albumin–(7-Hydroxycoumarin-4-acetic Acid) Complex: Applications to the Fluorometric Measurement of Fatty Acid Concentrations. Anal. Biochem. 1998, 267, 366–372. [Google Scholar]
- Foroozesh, M.; Sridhar, J.; Goyal, N.; Liu, J. Coumarins and P450s, Studies Reported to-Date. Molecules 2019, 24, 1620. [Google Scholar] [CrossRef] [PubMed]
- Zavalinich, V.; Glinskaya, L.; Yakovets, P.; Faletrov, Y.; Shkumatov, V. Potential Fluorescent Ligands for Zn-Containing Bacterial Enzymes: In Silico Evaluation, Synthesis and Optical Properties. Chem. Proc. 2022, 12, 82. [Google Scholar] [CrossRef]
- Manwar, A.; Malde, A.; Verma, J.; Virsodia, V.; Mishra, A.; Upadhyay, K.; Acharya, H.; Coutinho, E.; Shah, A. Synthesis anti-tubercular activity 3D-QSARstudy of coumarin-4-acetic acid benzylidene hydrazides. Eur. J. Med. Chem 2008, 43, 2395–2403. [Google Scholar]
- Sethi, P.; Bansal, Y.; Bansal, G. Synthesis and PASS-assisted evaluation of coumarin–benzimidazole derivatives as potential anti-inflammatory and anthelmintic agents. Med. Chem. Res. 2018, 27, 61–71. [Google Scholar] [CrossRef]
- Basanagouds, M.; Jadhav, V.B.; Kulkarni, M.V.; Nagendra Rao, R. Computer Aided Prediction of Biological Activity Spectra: Study of Correlation between Predicted and Observed Activities for Coumarin-4-Acetic Acids. Indian J. Pharm. Sci. 2011, 73, 88–92. [Google Scholar]
- Al Anshori, J.; Rahayu, D.S.; Hidayat, A.T.; Hidayat, I.W.; Zainuddin, A. Synthesis of fluorescent compound, 7-Hydroxy-4-methyl-2H-chroman-2-one via Pechmann condensation of citric acid and resorcinol. Res. J. Chem. Environ. 2018, 22, 91–96. [Google Scholar]




Disclaimer/Publisher’s Note: The statements, opinions and data contained in all publications are solely those of the individual author(s) and contributor(s) and not of MDPI and/or the editor(s). MDPI and/or the editor(s) disclaim responsibility for any injury to people or property resulting from any ideas, methods, instructions or products referred to in the content. |
© 2025 by the authors. Licensee MDPI, Basel, Switzerland. This article is an open access article distributed under the terms and conditions of the Creative Commons Attribution (CC BY) license (https://creativecommons.org/licenses/by/4.0/).
Share and Cite
Eremin, N.; Yakovets, P.; Frolova, N.; Faletrov, Y. Synthesis and In Silico Evaluation 7-Hydroxycoumarin-4-Acetic Acid as Possible Cytochromes P450 Substrate. Chem. Proc. 2025, 18, 126. https://doi.org/10.3390/ecsoc-29-26922
Eremin N, Yakovets P, Frolova N, Faletrov Y. Synthesis and In Silico Evaluation 7-Hydroxycoumarin-4-Acetic Acid as Possible Cytochromes P450 Substrate. Chemistry Proceedings. 2025; 18(1):126. https://doi.org/10.3390/ecsoc-29-26922
Chicago/Turabian StyleEremin, Nikita, Polina Yakovets, Nina Frolova, and Yaroslav Faletrov. 2025. "Synthesis and In Silico Evaluation 7-Hydroxycoumarin-4-Acetic Acid as Possible Cytochromes P450 Substrate" Chemistry Proceedings 18, no. 1: 126. https://doi.org/10.3390/ecsoc-29-26922
APA StyleEremin, N., Yakovets, P., Frolova, N., & Faletrov, Y. (2025). Synthesis and In Silico Evaluation 7-Hydroxycoumarin-4-Acetic Acid as Possible Cytochromes P450 Substrate. Chemistry Proceedings, 18(1), 126. https://doi.org/10.3390/ecsoc-29-26922

