Studies on the Synthesis, Physical Properties, and Stability of Benzyl Ethers as Potential Heat Transfer Fluids †
Abstract
1. Introduction
2. Experimental
3. Results and Discussion
3.1. Typical Synthesis of the Studied Dibenzyl Ethers
3.2. Estimated and Measured Physical Properties of Benzyl Ethers
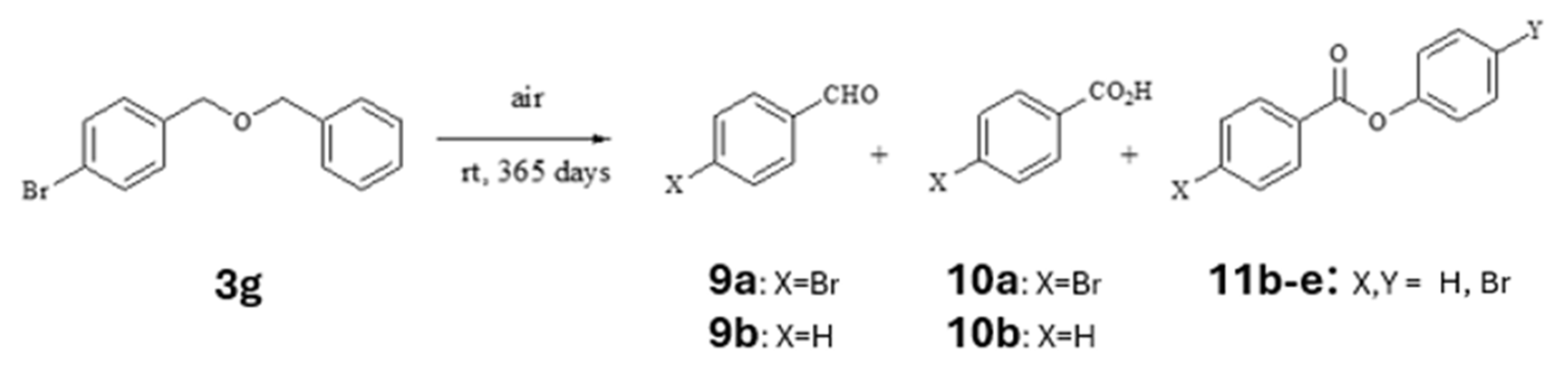
3.3. Long-Time Stability of the Compounds at Room Temperature
Author Contributions
Funding
Institutional Review Board Statement
Informed Consent Statement
Data Availability Statement
Conflicts of Interest
References
- Thiemann, T.; Al Jasem, Y.; Butt, H.; Al Hindawi, B.; Barkhad, M.; Al Khazali, M.; Al Azani, M. New heat transfer fluids (HTF) for solar thermal applications. In Proceedings of the 3rd World Sustainability Forum, Sciforum Electronic Conference Series, Online, 1–30 November 2013; Volume 3, p. d-002. [Google Scholar]
- Tumuluri, K.; Alvarado, J.L.; Taherian, H.; Marsh, C. Thermal performance of a novel heat transfer fluid containing multiwalled carbon nanotubes and microencapsulated phase change materials. Int. J. Heat Mass Transf. 2011, 54, 5554–5567. [Google Scholar] [CrossRef]
- Ritwik, A.P.D.; Ali, M.S.; Shavik, S.M.; Hasan, M.N. Heat transfer dynamics of liquid sodium: Nanoscale insights into phase change characteristics and Leidenfrost effects. Nanoscale Microscale Thermophys. Eng. 2025, 29, 118–138. [Google Scholar] [CrossRef]
- Zhang, P.; Cheng, J.; Jin, Y.; An, X. Evaluation of thermal physical properties of molten nitrate salts with low melting temperature. Sol. Energy Mater. Sol. Cells 2018, 176, 36–41. [Google Scholar] [CrossRef]
- Tataroglu, F.S.; Mansoori, Y. Synthetic heat carrier oil compositions based on polyalkylene glycols. Energy Convers. Manag. 2007, 48, 703–708. [Google Scholar] [CrossRef]
- Duffie, J.A.; Backman, W.A. Solar Engineering of Thermal Processes, 3rd ed.; John Wiley & Sons, Inc.: Hoboken, NJ, USA, 2006; p. 375. [Google Scholar]
- Hall, S. Rules of Thumb for Chemical Engineers, 5th ed.; Butterworth, Heinemann: Waltham, MA, USA, 2012; pp. 203–219. [Google Scholar]
- Murphy, L.M.; Keneth, E. Steam Generation in Line-Forced Solar Collectors: A Comparative Assessment of Thermal Performance, Operating Stability, and Cost Issues; SERI/TR-1311; Solar Energy Research Inst. (SERI): Golden, CO, USA, 1982. [Google Scholar]
- Al Jasem, Y.; Thiemann, T. A System for Converting Thermal Energy into Electrical Energy. U.S. Patent 20150179910 (A1), 25 June 2015. [Google Scholar]
- Thiemann, T. Etherification of (E)-1,3-diaryl- and (E)-1,3-diheteroarylprop-2-en-1-ols with primary and secondary alcohols over platinum on carbon. J. Chem. Res. 2007, 31, 528–534. [Google Scholar] [CrossRef]
- Al Nawah, A.A.A.; Al Marri, F.A.S.; Al Jasem, Y. Production of dibenzyl ether, Graduation Project, UAEU. 2014. [Google Scholar]
- Essen, M.; Metzger, J.O.; Schmidt, E.; Schneidewind, U. 10 years after Rio—Concepts of the contribution of chemistry to a sustainable development. Angew. Chem. Int. Ed. Engl. 2002, 41, 414–436. [Google Scholar] [CrossRef]
- Liu, J.; Shao, C.; Zhang, Y.; Shi, S.; Pan, S. Copper catalyzed high efficient ester formation from carboxylic acids/esters and formates. Org. Biol. Chem. 2014, 12, 2637–2640. [Google Scholar] [CrossRef] [PubMed]
- Fuhrmann, E.; Talbiersky, J. Synthesis of aryl alkyl ethers by catalytic Williamson ether synthesis with alkylating agents. Org. Process Res. Dev. 2005, 9, 206–211. [Google Scholar] [CrossRef]
- Rao, H.S.P.; Senthilkumar, S.P. A convenient procedure for the synthesis of allyl and benzyl ethers from alcohols and phenols. Proc. Indian Acad. Sci. 2001, 113, 191–196. [Google Scholar] [CrossRef]
- Joback, K.G.; Reid, R.C. Estimation of pure-component properties from group-contributions. Chem. Eng. Commun. 1987, 57, 233–243. [Google Scholar] [CrossRef]
- Lydersen, A.L. Estimation of Critical Properties of Organic Compounds; Engineering Experimental Station Report 3; College Engineering University Wisconsin: Madison, WI, USA, 1955. [Google Scholar]
- Ambrose, D. Correlation and Estimation of Vapor–Liquid Critical Properties. I. Critical Temperatures of Organic Compounds; National Physical Laboratory: Teddington, UK, 1978; NPL Re-port Chem.; Volume 92. [Google Scholar]
- Klincewicz, K.M.; Reid, R.C. Estimation of critical properties with group contribution methods. AIChE J. 1984, 30, 137–142. [Google Scholar] [CrossRef]
- Lyman, W.J.; Reehl, W.F.; Rosenblatt, D.H. Handbook of Chemical Property Estimation Methods; American Chemical Society: Washington, DC, USA, 1990. [Google Scholar]
- Horvath, A.L. Molecular Design; Elsevier: Amsterdam, The Netherlands, 1992. [Google Scholar]
- Marrero, J.; Gani, R. Group-contribution based estimation of pure component properties. Fluid Phase Equilibria 2001, 183, 183–208. [Google Scholar] [CrossRef]
- Kolská, Z.; Kukal, J.; Zábranský, M.; Růžička, V. Estimation of the heat capacity of organic liquids as a function of temperature by a Three-Level Group contribution method. Ind. Eng. Chem. Res. 2008, 47, 2075–2085. [Google Scholar] [CrossRef]
- Becker, L.; Aufderhaar, O.; Gmehling, J. Measurement of heat capacities for nine organic substances by Tian-Calvet calorimetry. J. Chem. Eng. Data 2000, 45, 661–664. [Google Scholar] [CrossRef]
- Cabaleiro, D.; Gracia-Fernández, C.; Lugo, L. (Solid + liquid) phase equilibria and heat capacity of (diphenyl ether + biphenyl) mixtures used as thermal energy storage materials. J. Chem. Thermodyn. 2014, 74, 43–50. [Google Scholar] [CrossRef]
- Rieche, A.; Meister, R. Modellversuche zur Autoyxdation der Äther. Angew. Chem. 1936, 49, 101–103. [Google Scholar] [CrossRef]
- Liu, X.; Zhang, Q.; Ito, S.; Wada, Y. Oxidation characteristics and products of five ethers at low temperature. Fuel 2016, 165, 513–525. [Google Scholar] [CrossRef]
- Angibeaud, P.; Defaye, J.; Gadelle, A.; Utille, J.-P. Mild deprotection of benzyl ether protective groups with ozone. Synthesis 1985, 1985, 1123–1125. [Google Scholar] [CrossRef]









![]() | Compound | T(K) | Cp [J/g·K] (J/mole·K) | |||
| Kolská et al. [22] | Joback and Reid [15] | Measured | ||||
| (NH) Approach | (H) Approach | |||||
| E1 | 323 | 1.84 (391.1) | 1.74 (370.3) | 1.28 (271.0) | 1.81 (384.2) | |
| 348 | 1.89 (400.3) | 1.80 (383.1) | 1.37 (290.5) | 1.88 (399.9) | ||
| 373 | 1.92 (407.3) | 1.86 (495.8) | 1.46 (309.4) | 1.95 (414.8) | ||
| E2 | 323 | 2.13 (678.9) | 1.69 (538.7) | 1.26 (402.6) | 1.81 (577.4) | |
| 348 | 2.09 (666.9) | 1.75 (558.3) | 1.35 (430.5) | 1.90 (603.5) | ||
| 373 | 2.05 (653.6) | 1.81 (577.2) | 1.44 (457.5) | 1.93 (615.9) | ||
| E3 | 323 | 2.27 (963.6) | 1.66 (704.5) | 1.27 (538.4) | 1.72 (731.8) | |
| 348 | 2.19 (929.0) | 1.73 (732.7) | 1.35 (574.3) | 1.77 (752.4) | ||
| 373 | 2.09 (888.4) | 1.79 (759.6) | 1.43 (609.1) | 1.78 (757.0) | ||
Disclaimer/Publisher’s Note: The statements, opinions and data contained in all publications are solely those of the individual author(s) and contributor(s) and not of MDPI and/or the editor(s). MDPI and/or the editor(s) disclaim responsibility for any injury to people or property resulting from any ideas, methods, instructions or products referred to in the content. |
© 2025 by the authors. Licensee MDPI, Basel, Switzerland. This article is an open access article distributed under the terms and conditions of the Creative Commons Attribution (CC BY) license (https://creativecommons.org/licenses/by/4.0/).
Share and Cite
Al Jasem, Y.; Thiemann, T. Studies on the Synthesis, Physical Properties, and Stability of Benzyl Ethers as Potential Heat Transfer Fluids. Chem. Proc. 2025, 18, 121. https://doi.org/10.3390/ecsoc-29-26695
Al Jasem Y, Thiemann T. Studies on the Synthesis, Physical Properties, and Stability of Benzyl Ethers as Potential Heat Transfer Fluids. Chemistry Proceedings. 2025; 18(1):121. https://doi.org/10.3390/ecsoc-29-26695
Chicago/Turabian StyleAl Jasem, Yosef, and Thies Thiemann. 2025. "Studies on the Synthesis, Physical Properties, and Stability of Benzyl Ethers as Potential Heat Transfer Fluids" Chemistry Proceedings 18, no. 1: 121. https://doi.org/10.3390/ecsoc-29-26695
APA StyleAl Jasem, Y., & Thiemann, T. (2025). Studies on the Synthesis, Physical Properties, and Stability of Benzyl Ethers as Potential Heat Transfer Fluids. Chemistry Proceedings, 18(1), 121. https://doi.org/10.3390/ecsoc-29-26695

