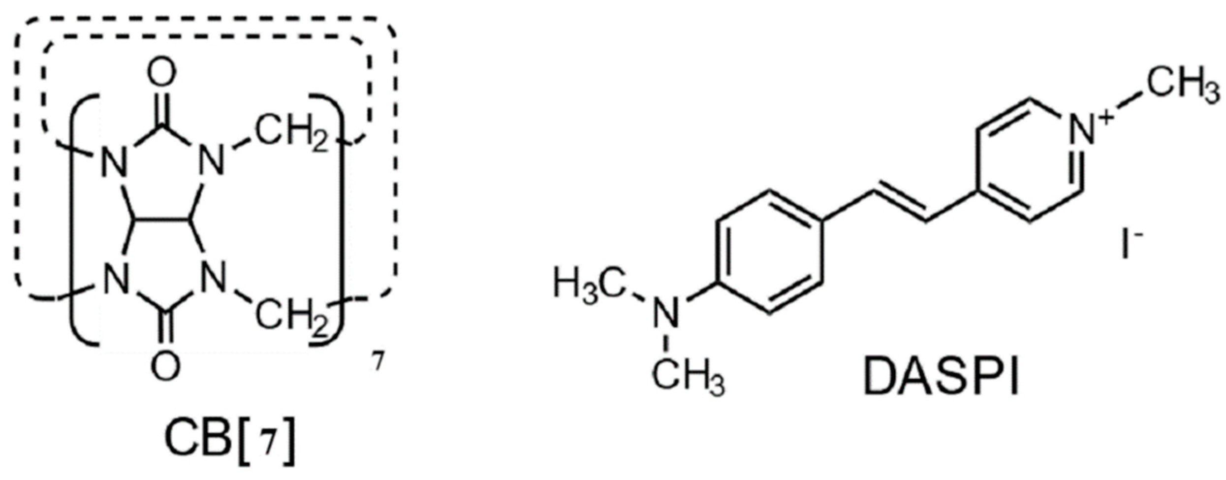
The Influence of Cucurbit[7]uril on the Photophysical Properties of Encapsulated Styryl Dye †
Abstract
1. Introduction
2. Materials and Methods
3. Results
4. Conclusions
Author Contributions
Funding
Institutional Review Board Statement
Informed Consent Statement
Data Availability Statement
Conflicts of Interest
Abbreviations
| DASPI | the styryl dye 4-{(E)-2-[4-(dimethylamino)phenyl]vinyl}-1-methylpyridinium iodide |
| CB[7] | Cucurbit[7]uril |
References
- Lagona, J.; Mukhopadhyay, P.; Chakrabarti, S.; Isaacs, L. The cucurbit[n]uril family. Angew. Chem. Int. Ed. Engl. 2005, 44, 4844–4870. [Google Scholar] [CrossRef] [PubMed]
- Isaacs, L. Cucurbit[n]urils: From mechanism to structure and function. Chem. Commun. 2009, 619–629. [Google Scholar] [CrossRef] [PubMed]
- Assaf, K.I.; Nau, W.M. Cucurbiturils: From synthesis to high-affinity binding and catalysis. Chem. Soc. Rev. 2015, 44, 394–418. [Google Scholar] [CrossRef] [PubMed]
- Walker, S.; Oun, R.; McInnes, F.J.; Wheate, N.J. The potential of Cucurbit[n]urils in drug delivery. Isr. J. Chem. 2011, 51, 616–624. [Google Scholar] [CrossRef]
- Jon, S.Y.; Ko, Y.H.; Park, S.H.; Kim, H.-J.; Kim, K. A facile, stereoselective [2 + 2] photoreaction mediated by cucurbit[8]uril. Chem. Commun. 2001, 19, 1938–1939. [Google Scholar] [CrossRef] [PubMed]
- Kim, K.; Murray, J.; Selvapalam, N.; Ho Ko, Y.; Hwang, J. Cucurbiturils: Chemistry, Supramolecular Chemistry and Applications; World Scientific: Hackensack, NJ, USA, 2018. [Google Scholar]
- Ivanov, D.A.; Kolesnikova, O.P.; Kryukov, I.V.; Petrov, N.K. Features of complexation of a styryl dye dimethylamino derivative with Cucurbit[7]uril. High Energy Chem. 2025, 59, 222–226. [Google Scholar] [CrossRef]
- Sun, S.; Yuan, Y.; Li, Z.; Zhang, S.; Zhanga, H.; Peng, X. Interaction of a hemicyanine dye and its derivative with DNA and cucurbit[7]uril. New J. Chem. 2014, 38, 3600–3605. [Google Scholar] [CrossRef]
- Autschbach, J. Why the particle-in-a-box model works well for cyanine dyes but not for conjugated polyenes. J. Chem. Educ. 2007, 84, 1840. [Google Scholar] [CrossRef]



Disclaimer/Publisher’s Note: The statements, opinions and data contained in all publications are solely those of the individual author(s) and contributor(s) and not of MDPI and/or the editor(s). MDPI and/or the editor(s) disclaim responsibility for any injury to people or property resulting from any ideas, methods, instructions or products referred to in the content. |
© 2025 by the authors. Licensee MDPI, Basel, Switzerland. This article is an open access article distributed under the terms and conditions of the Creative Commons Attribution (CC BY) license (https://creativecommons.org/licenses/by/4.0/).
Share and Cite
Kolesnikova, O.P.; Ivanov, D.A.; Kryukov, I.V.; Petrov, N.K. The Influence of Cucurbit[7]uril on the Photophysical Properties of Encapsulated Styryl Dye. Chem. Proc. 2025, 18, 120. https://doi.org/10.3390/ecsoc-29-26963
Kolesnikova OP, Ivanov DA, Kryukov IV, Petrov NK. The Influence of Cucurbit[7]uril on the Photophysical Properties of Encapsulated Styryl Dye. Chemistry Proceedings. 2025; 18(1):120. https://doi.org/10.3390/ecsoc-29-26963
Chicago/Turabian StyleKolesnikova, Olga P., Denis A. Ivanov, Igor V. Kryukov, and Nikolai Kh. Petrov. 2025. "The Influence of Cucurbit[7]uril on the Photophysical Properties of Encapsulated Styryl Dye" Chemistry Proceedings 18, no. 1: 120. https://doi.org/10.3390/ecsoc-29-26963
APA StyleKolesnikova, O. P., Ivanov, D. A., Kryukov, I. V., & Petrov, N. K. (2025). The Influence of Cucurbit[7]uril on the Photophysical Properties of Encapsulated Styryl Dye. Chemistry Proceedings, 18(1), 120. https://doi.org/10.3390/ecsoc-29-26963

