Structural Insights into Plasmepsin Inhibition by Phenolic Compounds from African Mistletoe (Tapinanthus globiferus) Parasitizing Vitex Doniana †
Abstract
1. Introduction
2. Materials and Methods
2.1. Software, Hardware, and Databases
Protein Crystal Structures
2.2. Computational Studies
2.2.1. Evaluation of Theoretical Oral Bioavailability
2.2.2. Preparation of Protein
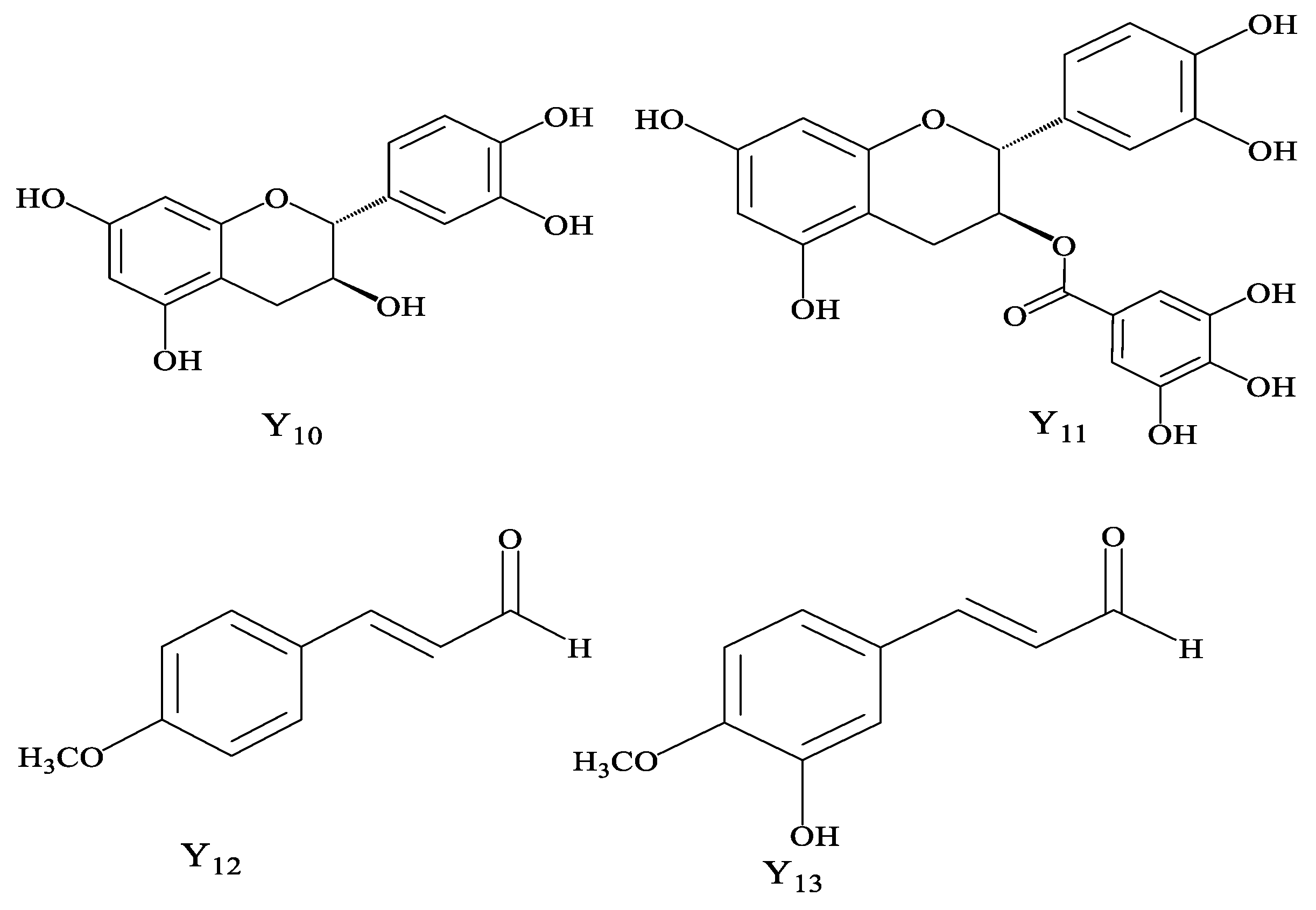
2.2.3. Ligand Structure Preparation
2.2.4. Molecular Docking Analysis
3. Results
3.1. Analysis of Theoretical Oral Bioavailability
3.2. Molecular Docking Studies
3.2.1. Grid Box
3.2.2. Validation of Docking Procedures
3.2.3. The Binding Energies of the Co-Crystallized Ligands and Isolated Compounds Against P. falciparum Targes
3.2.4. The Binding Poses and Binding Interactions Analysis of the Top Isolated Compound Against Plasmodium falciparum Enzymes
4. Discussion
- Analysis of Theoretical Oral Bioavailability
- Molecular Docking Studies
- Binding Affinity Analysis
- Binding Poses and Binding Interactions Analysis of Isolated Compounds against P. falciparum Enzymes
- Binding Poses and Binding Interactions Analysis of catechin-3-gallate against plasmepsin-I
- Binding Poses and Binding Interactions Analysis of catechin-3-gallate against Plasmepsin-II
5. Conclusions
Author Contributions
Funding
Institutional Review Board Statement
Informed Consent Statement
Data Availability Statement
Acknowledgments
Conflicts of Interest
References
- World Health Organization. World Malaria Report (2022); World Health Organization: Geneva, Switzerland, 2022. [Google Scholar]
- Bassey, M.E. Phytochemical Investigations of Tapinanthus Globiferus (Loranthaceae) from Two Hosts and the Taxonomic Implications. Int. J. Pharm. Res. 2012, 3, 174–177. [Google Scholar]
- Celestine, J.; Katsayal, U.A.; Nuhu, A.; Nuhu, H.D. Pharmacognostic and Elemental Analysis of the Leaves of Tapinanthus globifer (A. Rich). Tiegh. Res. J. Pharmacogn. (RJP) 2018, 6, 11–18. [Google Scholar]
- Adekunle, A.S.; Aline, A.B.; Afolabi, O.K.; Rocha, J.B.T. Determination of free phenolic, flavonoid contents and antioxidant capacity of ethanolic extracts obtained from leaves of mistletoe (Tapinanthus globiferus). Asian J. Pharm. Clin. Res. 2013, 5, 36–41. [Google Scholar]
- Oche, J.-R.I.; Johnson, T.O.; Akinsanmi, A.O.; Jaryum, K.H.; Francis, T. In vitro Antioxidant Activity and Inhibition of Fe2+ and SNP Lipid Peroxidation of African Mistletoes (Tapinanthus globiferus) from Three Selected Host Plants in Jos Plateau State Nigeria. J. Appl. Life Sci. Int. 2019, 20, 1–10. [Google Scholar] [CrossRef]
- Trott, O.; Olson, A.J. AutoDock Vina: Improving the speed and accuracy of docking with a new scoring function, efficient optimization, and multithreading. J. Comput Chem. 2010, 31, 455–461. [Google Scholar] [CrossRef]
- Pettersen, E.F.; Goddard, T.D.; Huang, C.C.; Couch, G.S.; Greenblatt, D.M.; Meng, E.C.; Ferrin, T.E. UCSF Chimera—A visualiza tion system for exploratory research and analysis. J. Comput. Chem. 2004, 25, 1605–1612. [Google Scholar] [CrossRef]
- Bhaumik, P.; Horimoto, Y.; Xiao, H.; Miura, T.; Hidaka, K.; Kiso, Y.; Wlodawer, A.; Yada, R.Y.; Gustchina, A. Crystal structures of the free and inhibited forms of plasmepsin I (PMI) from Plasmodium falciparum. J. Struct. Biol. 2011, 175, 73–84. [Google Scholar] [CrossRef] [PubMed]
- Asojo, O.A.; Gulnik, S.V.; Afonina, E.; Yu, B.; Ellman, J.A.; Haque, T.S.; Silva, A.M. Novel uncomplexed and complexed structures of plasmepsin II, an aspartic protease from Plasmodium falciparum. J. Mol. Biol. 2003, 327, 173–181. [Google Scholar] [CrossRef] [PubMed]
- DeOliveira, M.E.; Cenzi, G.; Nunes, R.R.; Andrighetti, C.R.; de Sousa Valadão, D.M.; Dos Reis, C.; Simões, C.M.; Nunes, R.J.; Júnior, M.C.; Taranto, A.G.; et al. Antimalarial activity of 4-metoxychalcones: Docking studies as falcipain/plasmepsin inhibitors, ADMETandlipophilic efficiency analysis to identify a putative oral lead candidate. Molecules 2013, 18, 5276–5287. [Google Scholar]
- Lipinski, C.A. Lead-anddrug-like compounds: Therule-of-five revolution. Drug Discov. Today Technol. 2004, 1, 337–341. [Google Scholar] [CrossRef] [PubMed]
- Akar, S.; Çırak, T.; Hüsunet, M.T.; Turkdonmez, I.; Kenger, İ.H.; Aslan, F.; Kardöl, A.; Yıldız, H.; Zencir, S.; Emek, A.G.; et al. Determination of mutagenic potentials of diarylmethylamine based imine compounds by ames test and computational molecular docking. Exp. Appl. Med. Sci. 2003, 4, 610–620. [Google Scholar] [CrossRef]
- Garba, D.; Ali, B.H.; Bawa, B.; Maryam, A.; Nasiru, H.A.; Sani, Y.M.; Magaji, M.G.; Abdullahi, M.I.; Musa, A.M.; Sadiya, H.H. Phytochemical Constituents from Globimetula oreophila as Plasmepsin I and II Inhibitors in Antimalarial Drug Discovery: An In Silico Approach. Chem. Proc. 2024, 16, 42. [Google Scholar] [CrossRef]



| Compound ID | Lipinski’s Rule of Five b | |||||||
|---|---|---|---|---|---|---|---|---|
| Mol.Wt a | HbA | HbD | MLogP | GI | Inference | LD50 (mg/kg) | Toxicity Class | |
| Y12 | 290.27 | 6 | 5 | 0.24 | High | Pass | 10,000 | 6 |
| Y13 | 442.37 | 10 | 7 | 0.32 | Low | Pass | 1000 | 4 |
| Y17 | 178.18 | 3 | 1 | 1.59 | High | Pass | 2980 | 5 |
| Y18 | 178.18 | 3 | 1 | 1.04 | High | Pass | 2500 | 5 |
| Enzyme | Grid Box Size | Center | ||||
|---|---|---|---|---|---|---|
| X | Y | Z | X | Y | Z | |
| Plasmepsin I | 44 | 40 | 40 | 27.55 | −9.925 | 4.252 |
| Plasmepsin II | 40 | 40 | 40 | 16.215 | 6.85 | 27.605 |
| Enzyme Code and Name | Crystal Structure Complex (Enzyme and Native Ligand) | Crystal Structure Complex (Apo) Validation |
|---|---|---|
| Plasmepsin I (3QSI) | ![]() | ![]() |
| Plasmepsin II (1LF3) | ![]() | ![]() |
| COMPOUND CODE | (3QS1) Plasmepsin1 | (1LF3) Plasmepsin2 |
|---|---|---|
| 006 | −9.4 | _ |
| EH5 | _ | −10.1 |
| Y12 | −6.3 | −7.4 |
| Y13 | −6.7 | −8.1 |
| Y17 | −5.0 | −6.0 |
| Y18 | −5.5 | −5.6 |
Disclaimer/Publisher’s Note: The statements, opinions and data contained in all publications are solely those of the individual author(s) and contributor(s) and not of MDPI and/or the editor(s). MDPI and/or the editor(s) disclaim responsibility for any injury to people or property resulting from any ideas, methods, instructions or products referred to in the content. |
© 2025 by the authors. Licensee MDPI, Basel, Switzerland. This article is an open access article distributed under the terms and conditions of the Creative Commons Attribution (CC BY) license (https://creativecommons.org/licenses/by/4.0/).
Share and Cite
Hassanah, M.; Yusuf, J.; Garba, D.; Jamilu, Y.; Sule, M.I.; Sani, Y.M. Structural Insights into Plasmepsin Inhibition by Phenolic Compounds from African Mistletoe (Tapinanthus globiferus) Parasitizing Vitex Doniana. Chem. Proc. 2025, 18, 114. https://doi.org/10.3390/ecsoc-29-27270
Hassanah M, Yusuf J, Garba D, Jamilu Y, Sule MI, Sani YM. Structural Insights into Plasmepsin Inhibition by Phenolic Compounds from African Mistletoe (Tapinanthus globiferus) Parasitizing Vitex Doniana. Chemistry Proceedings. 2025; 18(1):114. https://doi.org/10.3390/ecsoc-29-27270
Chicago/Turabian StyleHassanah, Momoh, Jimoh Yusuf, Dauda Garba, Yau Jamilu, Mohammed Ibrahim Sule, and Yahaya Mohammed Sani. 2025. "Structural Insights into Plasmepsin Inhibition by Phenolic Compounds from African Mistletoe (Tapinanthus globiferus) Parasitizing Vitex Doniana" Chemistry Proceedings 18, no. 1: 114. https://doi.org/10.3390/ecsoc-29-27270
APA StyleHassanah, M., Yusuf, J., Garba, D., Jamilu, Y., Sule, M. I., & Sani, Y. M. (2025). Structural Insights into Plasmepsin Inhibition by Phenolic Compounds from African Mistletoe (Tapinanthus globiferus) Parasitizing Vitex Doniana. Chemistry Proceedings, 18(1), 114. https://doi.org/10.3390/ecsoc-29-27270





