Acetone Sensor Based on a Composite of Calcium Itaconate and Graphene Oxide
Abstract
1. Introduction
2. Materials and Methods
2.1. Chemicals
2.2. Characterization
2.3. Synthesis of Calcium Itaconate
2.4. Synthesis of Graphene Oxide
2.5. Synthesis of Calcium Itaconate–Graphene Oxide Composite
2.6. Manufacturing of the Active Layer of the Sensor
2.7. Preparation of Mixtures of Acetone Vapors with Air
3. Results and Discussion
3.1. Characterization of Calcium Itaconate
3.2. Characterization of Graphene Oxide
3.3. Synthesis and Characterization of Calcium Itaconate–Graphene Oxide Composite
3.4. Manufacturing of a Composite-Based Touch-Sensitive Multilayer Film
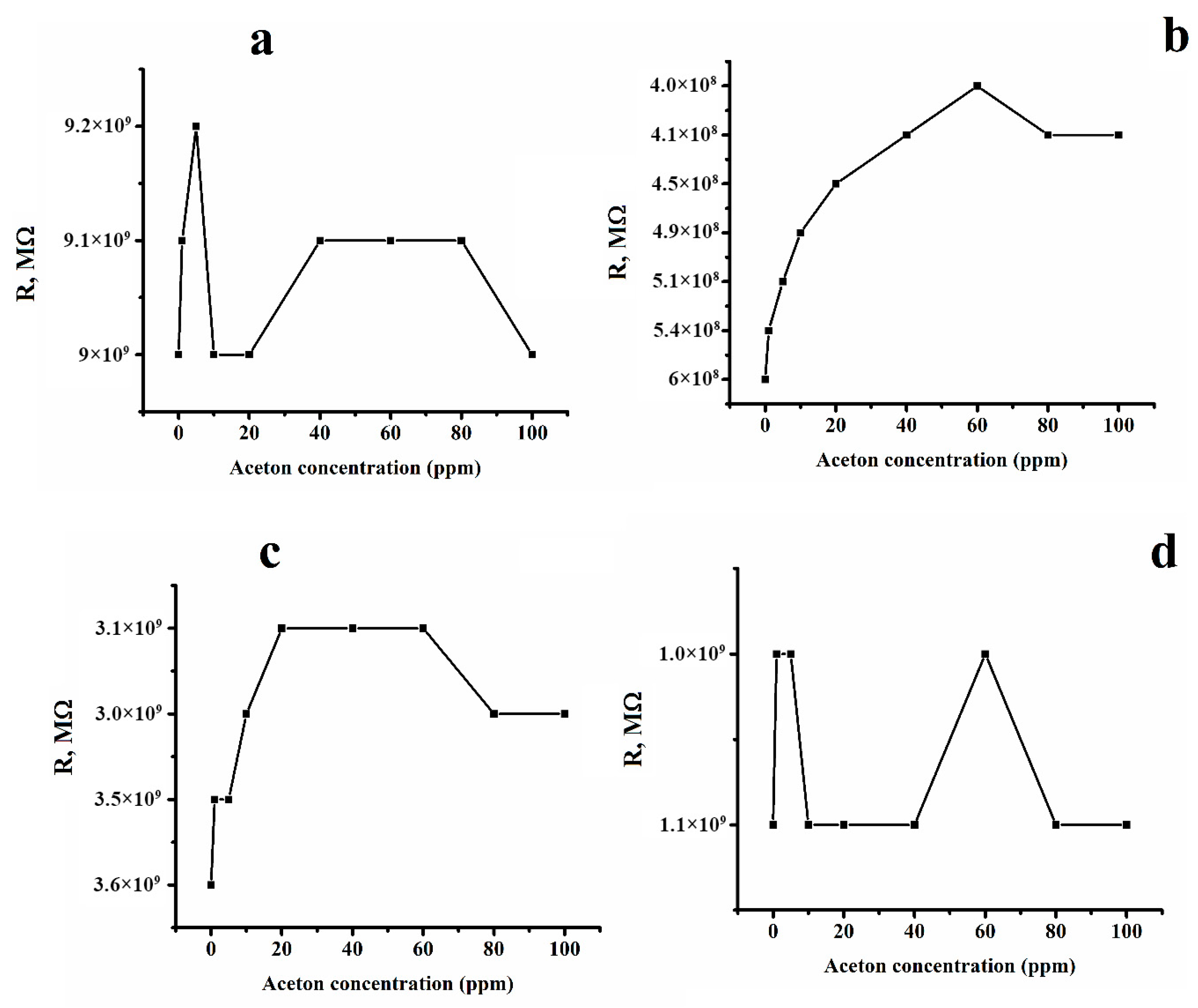
3.5. Conducting an Experiment to Determine the Content of Acetone in the Air
3.6. Determining the Response and Relaxation Time of the Sensor
3.7. Determining the Sensitivity and Duration of the Sensor Operation
3.8. Sensing Mechanism
4. Conclusions
Author Contributions
Funding
Data Availability Statement
Conflicts of Interest
References
- Mallya, A.N.; Kottokkaran, R.; Ramamurthy, P.C. Conducting polymer–carbon black nanocomposite sensor for volatile organic compounds and correlating sensor response by molecular dynamics. Sens. Actuators B Chem. 2014, 201, 308–320. [Google Scholar] [CrossRef]
- Zhou, X.; Zhou, X.; Wang, C.; Zhou, H. Environmental and human health impacts of volatile organic compounds: A perspective review. Chemosphere 2023, 313, 137489. [Google Scholar] [CrossRef]
- Lee, H.E.; Yoon, S.J.; Kim, J.H. Analysis of VOC Emission Characteristics in the Petrochemical Industry and Study on Fenceline Monitoring Techniques. Atmosphere 2025, 16, 543. [Google Scholar] [CrossRef]
- Moura, P.C.; Raposo, M.; Vassilenko, V. Breath volatile organic compounds (VOCs) as biomarkers for the diagnosis of pathological conditions: A review. Biomed. J. 2023, 46, 100623. [Google Scholar] [CrossRef] [PubMed]
- Mangotra, A.; Singh, S.K. Volatile organic compounds: A threat to the environment and health hazards to living organisms—A review. J. Biotechnol. 2024, 382, 51–69. [Google Scholar] [CrossRef] [PubMed]
- Xuan, L.; Ma, Y.; Xing, Y.; Meng, Q.; Song, J.; Chen, T.; Wang, H.; Wang, P.; Zhang, Y.; Gao, P. Source, temporal variation and health risk of volatile organic compounds (VOCs) from urban traffic in Harbin, China. Environ. Pollut. 2021, 270, 116074. [Google Scholar] [CrossRef]
- Luttrell, W.E.; LaGrow, A.L. Acetone. J. Chem. Health Saf. 2014, 21, 29–31. [Google Scholar] [CrossRef]
- Yan, J.; Kang, Y.; Fang, W.; Zhu, B.; Song, Z. Tuning Gas Sensing Properties through Metal-Nanocluster Functionalization of 3D SnO2 Nanotube Arrays for Selective Gas Detection. ACS Sens. 2025, 10, 6084–6094. [Google Scholar] [CrossRef]
- Sampath, D.; Narasimhan, V. One-Dimensional Defect Layer Photonic Crystal Sensor for Purity Assessment of Organic Solvents. ACS Omega 2024, 9, 9625–9632. [Google Scholar] [CrossRef] [PubMed]
- Wu, H.; Zhu, H.; Zhang, J.; Yu, J.; Tang, Z.; Yao, G.; Zhao, W.; Wu, G.; Jin, X. Enhanced Acetone-Sensing Performance of a Bilayer Structure Gas Sensor Composed of a ZnO Nanorod Top Layer and a ZnFe2O4 Nanoparticle Decorated ZnO Nanorod Bottom Layer. Sensors 2024, 24, 7851. [Google Scholar] [CrossRef]
- Nagare, A.; Dhadage, A.; Ghare, P.; Naval, R.; Athare, A.; Gogoi, P.; Datir, A.; Navgire, M. Room temperature acetone sensing activity of β-Cyclodextrin coated MoO3-ZrO2 nanocomposite. Surf. Interfaces 2024, 53, 105068. [Google Scholar] [CrossRef]
- Litra, D.; Chiriac, M.; Ababii, N.; Lupan, O. Acetone Sensors Based on Al-Coated and Ni-Doped Copper Oxide Nanocrystalline Thin Films. Sensors 2024, 24, 6550. [Google Scholar] [CrossRef]
- Cho, S.H.; Suh, J.M.; Eom, T.H.; Kim, T.; Jang, H.W. Colorimetric sensors for toxic and hazardous gas detection: A review. Electron. Mater. Lett. 2021, 17, 1–17. [Google Scholar] [CrossRef]
- Srinivasan, P.; Kulandaisamy, A.J.; Mani, G.K.; Babu, K.J.; Tsuchiya, K.; Rayappan, J.B.B. Development of an acetone sensor using nanostructured Co3O4 thin films for exhaled breath analysis. RSC Adv. 2019, 9, 30226–30239. [Google Scholar] [CrossRef]
- Longo, V.; Forleo, A.; Ferramosca, A.; Notari, T.; Pappalardo, S.; Siciliano, P.; Capone, S.; Montano, L. Blood, urine and semen Volatile Organic Compound (VOC) pattern analysis for assessing health environmental impact in highly polluted areas in Italy. Environ. Pollut. 2021, 286, 117410. [Google Scholar] [CrossRef]
- Halder, S.; Xie, Z.; Nantz, M.H.; Fu, X.-A. Integration of a Micropreconcentrator with Solid-phase Microextraction for Analysis of Trace Volatile Organic Compounds by Gas Chromatography-Mass Spectrometry. J. Chromatogr. A 2022, 1673, 463083. [Google Scholar] [CrossRef] [PubMed]
- Singh, A.; Sikarwar, S.; Verma, A.; Yadav, B.C. The recent development of metal oxide heterostructures based gas sensor, their future opportunities and challenges: A review. Sens.Actuators A 2021, 332, 113127. [Google Scholar] [CrossRef]
- Catelani, M.; Ciani, L.; Venzi, M. Failure modes, mechanisms and effect analysis on temperature redundant sensor stage. Reliab. Eng. Syst. Saf. 2018, 180, 425–433. [Google Scholar] [CrossRef]
- Rana, K.; Sonker, R.K. Gas Sensors Based on Metal Oxide. In Smart Nanostructure Materialsand Sensor Technology; Sonker, R.K., Singh, K., Sonkawade, R., Eds.; Springer: Singapore, 2022; pp. 179–199. [Google Scholar]
- Verma, A.; Yadav, D.; Singh, A.; Gupta, M.; Thapa, K.B.; Yadav, B.C. Detection of acetone via exhaling human breath for regular monitoring of diabetes by low-cost sensing device based on perovskite BaSnO3 nanorods. Sens. Actuators B 2022, 361, 131708. [Google Scholar] [CrossRef]
- Teymourian, H.; Tehrani, F.; Mahato, K.; Wang, J. Lab under the Skin: Microneedle Based Wearable Devices. Adv. Healthc. Mater. 2021, 10, 2002255. [Google Scholar] [CrossRef]
- Wang, J.; Shen, H.; Xia, Y.; Komarneni, S. Light-activated room-temperature gas sensors based on metal oxide nanostructures: A review on recent advances. Ceram. Int. 2021, 47, 7353–7368. [Google Scholar] [CrossRef]
- Chen, T.; Liu, T.; Li, T.; Zhao, H.; Chen, Q. Exhaled breath analysis in disease detection. Clin. Chim. Acta 2021, 515, 61–72. [Google Scholar] [CrossRef]
- Buckley, D.J.; Black, N.C.G.; Castanon, E.G.; Melios, C.; Hardman, M.; Kazakova, O. Frontiers of graphene and 2D material-based gas sensors for environmental monitoring. 2D Mater. 2020, 7, 32002. [Google Scholar] [CrossRef]
- Amiri, V.; Roshan, H.; Mirzaei, A.; Neri, G.; Ayesh, A.I. Nanostructured Metal Oxide-Based Acetone Gas Sensors: A Review. Sensors 2020, 20, 3096. [Google Scholar] [CrossRef]
- Ward, S.J.; Layouni, R.; Arshavsky-Graham, S.; Segal, E.; Weiss, S.M. Signal processing techniques to reduce the limit of detection for thin film biosensors. ACS Sens. 2021, 6, 2967–2978. [Google Scholar] [CrossRef] [PubMed]
- Poluektov, P.P.; Kashcheev, V.A.; Ustinov, O.A.; Musatov, N.D.; Yakunin, S.A.; Karlina, O.K.; Diordii, M.N. Physicochemical Aspects of Reactor Graphite Incineration. At. Energy 2014, 116, 105–109. [Google Scholar] [CrossRef]
- Uflyand, I.E.; Zhinzhilo, V.A.; Kugabaeva, G.D.; Kydralieva, K.K.; Dzhardimalieva, G.I. Synthesis of nickel-containing metal-polymer nanocomposites and their use as a humidity sensor. Synth. Met. 2024, 307, 117709. [Google Scholar] [CrossRef]
- Malaichamy, K. Transmission Electron Microscope—Principle, Components and Applications Illumination system (Electron gun and condenser lenses) Electron gun. In A Textbook on Fundamentals and Applications of Nanotechnology; Ramasamy, K., Ed.; Daya Publishing House: New Delhi, India, 2018; pp. 93–101. [Google Scholar]
- Nasrollahzadeh, M.; Babaei, F.; Fakhri, P.; Jaleh, B. Synthesis, characterization, structural, optical properties and catalytic activity of reduced graphene oxide/copper nanocomposites. RSC Adv. 2015, 5, 10782–10789. [Google Scholar] [CrossRef]
- Sadek, R.; Sharawi, M.S.; Dubois, C.; Tantawy, H.; Chaouki, J. Superior quality chemically reduced graphene oxide for high performance EMI shielding materials. RSC Adv. 2022, 12, 22608–22622. [Google Scholar] [CrossRef]
- Sadek, R.; Sharawi, M.S.; Dubois, C.; Tantawy, H.; Chaouki, J. Reduced Graphene Oxide/Barium Ferrite Ceramic Nanocomposite Synergism for High EMI Wave Absorption. ACS Omega 2023, 8, 15099–15113. [Google Scholar] [CrossRef]
- Wang, H.; Zhang, L.; Li, C. Ultrathin and Flexible ANF/APP/PRGO Composite Films for High-Performance Electromagnetic Interference Shielding and Joule Heating. Ind. Eng. Chem. Res. 2023, 62, 6425–6433. [Google Scholar] [CrossRef]
- Davoudi, M.; Nezhad, F.K.; Rahdar, S.; Igwegbe, C.A. Current applications of functionalized reduced graphene oxide-based semiconductors for photocatalytic removal of pollutants from wastewater: A review. Chem. Pap. 2025, 79, 637. [Google Scholar] [CrossRef]
- Eigler, S.; Dotzer, C.; Hof, F.; Bauer, W.; Hirsch, A. Sulfur Species in Graphene Oxide. Chem.–Eur. J. 2013, 19, 9490–9496. [Google Scholar] [CrossRef]
- Aliyev, E.; Filiz, V.; Khan, M.M.; Lee, Y.J.; Abetz, C.; Abetz, V. Structural Characterization of Graphene Oxide: Surface Functional Groups and Fractionated Oxidative Debris. Nanomaterials 2019, 9, 1180. [Google Scholar] [CrossRef]
- Brusko, V.; Khannanov, A.; Rakhmatullin, A.; Dimiev, A.M. Unraveling the infrared spectrum of graphene oxide. Carbon 2024, 229, 119507. [Google Scholar] [CrossRef]
- Castro Neto, A.H.; Guinea, F.; Peres, N.M.R.; Novoselov, K.S.; Geim, A.K. The electronic properties of grapheme. Rev. Mod. Phys. 2009, 81, 109–162. [Google Scholar] [CrossRef]
- Choi, S.-H. Unique properties of graphene quantum dots and their applications in photonic/electronic devices. J. Phys. D Appl. Phys. 2017, 50, 103002–103012. [Google Scholar] [CrossRef]
- Dimeev, A.M.; Eigler, S. Graphite Oxide: Fundamentals and Applications; John Wiley and Sons: West Sussex, UK, 2017; 438p. [Google Scholar]
- Enoki, T.; Ando, T. Physics and Chemistry of Graphene: Graphene to Nanographene; Pan Stanford Pub.: Singapore, 2013; 476p. [Google Scholar]
- Chakraborty, S.; Pal, M. Improved sensitivity of CdS nanoparticles by virtue of calcium doping: Promising candidate for monitoring alcohol in exhale human breath. Mater. Des. 2017, 126, 18–28. [Google Scholar] [CrossRef]
- Chakraborty, S.; Pal, M. Improved ethanol sensing behaviour of cadmium sulphide nanoflakes: Beneficial effect of morphology. Sens. Actuators B Chem. 2017, 242, 1155–1164. [Google Scholar] [CrossRef]
- Zhang, Y.; Xu, H.; Dong, S.; Han, R.; Liu, X.; Wang, Y.; Li, S.; Bu, Q.; Xiang, X.L. A fast response & recovery acetone gas sensor based on BiFeO3 nanomaterials with high sensitivity and low detection limit. J. Mater. Sci. Mater. Electron. 2018, 29, 2193–2200. [Google Scholar]
- Alipour, S.; Hassani, M.; Hosseini, S.M.H.; Mousavi-Khoshdel, S.M. Facile preparation of covalently functionalized graphene with 2,4-dinitrophenylhydrazine and investigation of its characteristics. RSC Adv. 2023, 13, 558–569. [Google Scholar] [CrossRef] [PubMed]
- Zhou, T.; Zhang, T.; Deng, J.; Zhang, R.; Lou, Z.; Wang, L. P-type Co3O4 nanomaterials-based gas sensor: Preparation and acetone sensing performance. Sens. Actuators B Chem. 2017, 242, 369–377. [Google Scholar] [CrossRef]
- Liang, S.; Li, J.; Wang, F.; Qin, J.; Lai, X.; Jiang, X. Highly sensitive acetone gas sensor based on ultrafine α-Fe2O3 nanoparticles. Sens. Actuators B Chem. 2017, 238, 923–927. [Google Scholar] [CrossRef]
- Chakraborty, S.; Pal, M. Highly selective and stable acetone sensor based on chemically prepared bismuth ferrite nanoparticles. J. Alloys Compd. 2019, 787, 1204–1211. [Google Scholar] [CrossRef]
- Khan, S.B.; Faisal, M.; Rahman, M.M.; Jamal, A. Low temperature growth of ZnO nanoparticles: Photocatalyst and acetone sensor. Talanta 2011, 85, 943. [Google Scholar] [CrossRef]
- Kao, K.W.; Hsu, M.C.; Chang, H.Y.; Gwo, S.; Yeh, J.A. A sub-ppm acetone gas sensor for diabetes detection using 10 nm thick ultrathin InN FETs. Sensors 2012, 12, 7157–7168. [Google Scholar] [CrossRef] [PubMed]


























| Element | App | Intensity | Weight % | Weight % | Atomic % |
|---|---|---|---|---|---|
| Conc. | Corrn. | Sigma | |||
| C K | 19.83 | 1.4478 | 39.42 | 0.89 | 45.36 |
| O K | 15.56 | 0.8250 | 45.87 | 1.42 | 46.89 |
| Ca K | 7.58 | 0.9704 | 14.71 | 0.64 | 7.75 |
| Totals | 100.00 |
| Elemental Analysis Data, % | X, mmol/g, P = 0.95; n = 5 | ||||
|---|---|---|---|---|---|
| Chemical Method | EDX | ||||
| C | H | S | C | O | |
| 69.36 | 0.76 | - | 69.27 | 29.88 | 1.97 ± 0.12 |
| C(acetone), ppm | 5 | 20 | 50 | 100 |
| Deviation from nominal resistance value, % no more than | 0.13 | 0.15 | 0.5 | 1.7 |
| S. No. | Material | Acetone Conc. ppm | Temp. (°C) | Response | Res./Rec. Time | Ref. |
|---|---|---|---|---|---|---|
| 1. | Co3O4 | 500 | RT | 4.88 | 2 s/5 s | [46] |
| 2. | α-Fe2O3 | 100 | RT | 8.8 | -/- | [47] |
| 3. | Bismuth ferrite | 1 | 350 | 1.8 | 25 s/17 s | [48] |
| 4. | ZnO | 100 | RT | 10 | -/- | [49] |
| 5. | InN | 1 | 200 | 150 s/2000 s | [50] | |
| 6. | Calcium itaconate–GO composite | 100 | RT | 7.6 | 7.66 s/9.26 s | Present Work |
Disclaimer/Publisher’s Note: The statements, opinions and data contained in all publications are solely those of the individual author(s) and contributor(s) and not of MDPI and/or the editor(s). MDPI and/or the editor(s) disclaim responsibility for any injury to people or property resulting from any ideas, methods, instructions or products referred to in the content. |
© 2026 by the authors. Licensee MDPI, Basel, Switzerland. This article is an open access article distributed under the terms and conditions of the Creative Commons Attribution (CC BY) license.
Share and Cite
Uflyand, I.E.; Zarubina, A.O.; Shcherbatykh, A.A.; Zhinzhilo, V.A. Acetone Sensor Based on a Composite of Calcium Itaconate and Graphene Oxide. Analytica 2026, 7, 8. https://doi.org/10.3390/analytica7010008
Uflyand IE, Zarubina AO, Shcherbatykh AA, Zhinzhilo VA. Acetone Sensor Based on a Composite of Calcium Itaconate and Graphene Oxide. Analytica. 2026; 7(1):8. https://doi.org/10.3390/analytica7010008
Chicago/Turabian StyleUflyand, Igor E., Anastasiya O. Zarubina, Aleksandr A. Shcherbatykh, and Vladimir A. Zhinzhilo. 2026. "Acetone Sensor Based on a Composite of Calcium Itaconate and Graphene Oxide" Analytica 7, no. 1: 8. https://doi.org/10.3390/analytica7010008
APA StyleUflyand, I. E., Zarubina, A. O., Shcherbatykh, A. A., & Zhinzhilo, V. A. (2026). Acetone Sensor Based on a Composite of Calcium Itaconate and Graphene Oxide. Analytica, 7(1), 8. https://doi.org/10.3390/analytica7010008

