Physicochemical, Structural, Thermal, and Rheological Properties of Mango Seed Starch from Five Cultivars
Abstract
1. Introduction
2. Materials and Methods
2.1. Materials
2.2. Starch Isolation
2.3. Starch Characterization
2.3.1. Proximal Analysis, Tristimulus Color, and Apparent Amylose Content
2.3.2. Scanning Electron Microscopy (SEM)
2.3.3. Fourier Transform Infrared Spectrometry (FTIR)
2.3.4. Thermal Properties
2.3.5. X-Ray Diffraction
2.3.6. Functional Properties
2.3.7. Rheological Properties
Flow Curves
Viscoelastic Properties
2.3.8. Statistical Analysis
3. Results
3.1. Yield, Proximal Analysis, Color, and Apparent Amylose Content
3.2. Morphology and Particle Size of Starch Granules by Scanning Electron Microscopy (SEM)
3.3. Fourier Transform Infrared Spectrometry (FTIR)
3.4. Thermal Properties by DSC
3.5. X-Ray Diffraction (XRD)
3.6. Functional Properties
3.7. Rheological Properties
3.7.1. Flow Curves
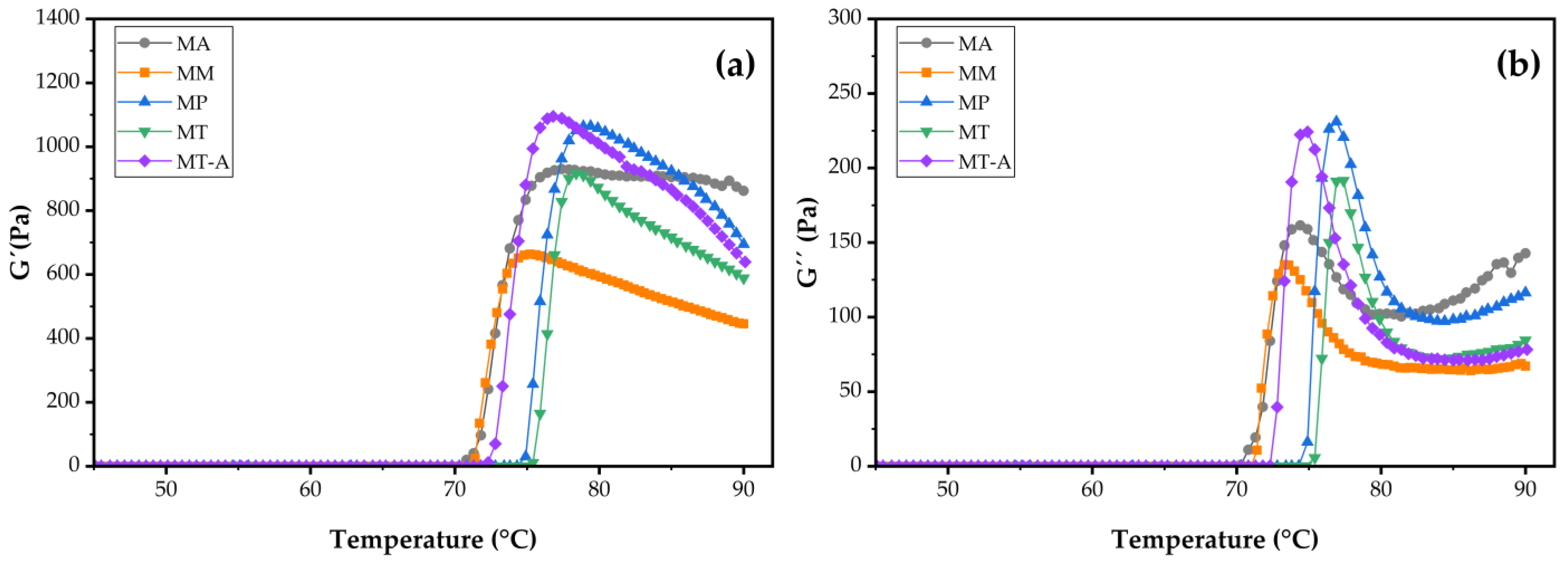
3.7.2. Viscoelastic Tests
4. Conclusions
Author Contributions
Funding
Institutional Review Board Statement
Data Availability Statement
Acknowledgments
Conflicts of Interest
References
- SAGARPA. Servicio de Información Agroalimentaria y Pesquera. Available online: https://nube.siap.gob.mx/cierreagricola/ (accessed on 30 April 2024).
- Punia, B.S.; Kumar, M.; Whiteside, W.S. Mango seed starch: A sustainable and eco-friendly alternative to increasing industrial requirements. Int. J. Biol. Macromol. 2021, 183, 1807–1817. [Google Scholar] [CrossRef] [PubMed]
- Owino, W.O.; Ambuko, J.L. Mango fruit processing: Options for small-scale processors in developing countries. Agriculture. 2021, 11, 1105. [Google Scholar] [CrossRef]
- Yatnatti, S.; Vijayalakshmi, D. Study of soup mix incorporated with starch extract from mango “Mangifera indica” seed kernels. Curr. Res. Nutr. Food Sci. 2018, 6, 816–825. [Google Scholar] [CrossRef]
- Kittiphoom, S. Utilization of mango seed. Int. Food Res. J. 2012, 19, 1325–1335. [Google Scholar]
- Lebaka, V.R.; Wee, Y.-J.; Ye, W.; Korivi, M. Nutritional composition and bioactive compounds in three different parts of mango fruit. Int. J. Environ. Res. Public Health 2021, 18, 741. [Google Scholar] [CrossRef]
- El-Sanafawy, H.A.; Maggiolino, A.; El-Esawy, G.S.; Riad, W.A.; Zeineldin, M.; Abdelmegeid, M.; Seboussi, R.; EL-Nawasany, L.I.; Elghandour, M.M.M.Y.; De Palo, P.; et al. Effect of mango seeds as an untraditional source of energy on the productive performance of dairy Damascus goats. Front. Vet. Sci. 2023, 10, 1058915. [Google Scholar] [CrossRef]
- Sultana, B.; Ashraf, R. Mango (Mangifera indica L.) seed oil. In Fruit Oils: Chemistry and Functionality; Ramadan, M.F., Ed.; Springer: Cham, Switzerland, 2019; pp. 561–575. [Google Scholar]
- Correa, D.E.; Romero, B.M.; León, N. Extracción de taninos de semilla de mango criollo (Mangifera indica L.) y su aplicación como curtiente. J. Agro–Ind. Sci. 2019, 1, 51–55. [Google Scholar] [CrossRef]
- Torres-León, C.; Rojas, R.; Serna-Cock, L.; Belmares-Cerda, R.; Aguilar, C.N. Extraction of antioxidants from mango seed kernel: Optimization assisted by microwave. Food Bioprod. Process. 2017, 105, 188–196. [Google Scholar] [CrossRef]
- Torres-León, C.; de Azevedo Ramos, B.; dos Santos Correia, M.T.; Carneiro-da-Cunha, M.G.; Ramirez-Guzman, N.; Alves, L.C.; Brayner, F.A.; Ascacio-Valdes, J.; Álvarez-Pérez, O.B.; Aguilar, C.N. Antioxidant and anti-staphylococcal activity of polyphenolic-rich extracts from Ataulfo mango seed. LWT 2021, 148, 111653. [Google Scholar] [CrossRef]
- Kaur, M.; Singh, N.; Sandhu, K.S.; Guraya, H.S. Physicochemical, morphological, thermal and rheological properties of starches separated from kernels of some Indian mango cultivars (Mangifera indica L.). Food Chem. 2004, 85, 131–140. [Google Scholar] [CrossRef]
- Rodrigues, A.A.M.; Santos, L.F.D.; Costa, R.R.D.; Félix, D.T.; Nascimento, J.H.B.; Lima, M.A.C.d. Characterization of starch from different non-traditional sources and its application as coating in ‘Palmer’mango fruit. Ciênc. Agrotec. 2020, 44, e011220. [Google Scholar] [CrossRef]
- Thory, R.; Sandhu, K.S. A comparison of mango kernel starch with a novel starch from litchi (Litchi chinensis) kernel: Physicochemical, morphological, pasting, and rheological properties. Int. J. Food Prop. 2017, 20, 911–921. [Google Scholar] [CrossRef]
- Souza, J.C.A.d.; Macena, J.F.F.; Andrade, I.H.P.; Camilloto, G.P.; Cruz, R.S. Functional characterization of mango seed starch (Mangifera indica l.). Res. Soc. Dev. 2021, 10, e30310310118. [Google Scholar] [CrossRef]
- Saeaurng, K.; Kuakpetoon, D. A comparative study of mango seed kernel starches and other commercial starches: The contribution of chemical fine structure to granule crystallinity, gelatinization, retrogradation, and pasting properties. J. Food Meas. Charact. 2018, 12, 2444–2452. [Google Scholar] [CrossRef]
- Wang, H.; Yang, Q.; Gao, L.; Gong, X.; Qu, Y.; Feng, B. Functional and physicochemical properties of flours and starches from different tuber crops. Int. J. Biol. Macromol. 2020, 148, 324–332. [Google Scholar] [CrossRef]
- Golea, C.M.; Galan, P.M.; Leti, L.I.; Codină, G.G. Genetic Diversity and physicochemical characteristics of different wheat species (Triticum aestivum L., Triticum monococcum L., Triticum spelta L.) cultivated in Romania. Appl. Sci. 2023, 13, 4992. [Google Scholar] [CrossRef]
- Bustillos, R.J.C.; Tirado, G.J.M.; Ordonez, G.M.; Zamudio, F.P.B.; Ornelas, P.J.d.J.; Acosta, M.C.H.; Gallegos, M.G.; Páramo, C.D.E.; Rios, V.C. Physicochemical, thermal and rheological properties of three native corn starches. Food Sci. Technol. 2018, 39, 149–157. [Google Scholar] [CrossRef]
- Kumar, Y.; Shikha, D.; Guzmán-Ortiz, F.A.; Sharanagat, V.S.; Kumar, K.; Saxena, D.C. Starch: Current Production and Consumption Trends. In Starch: Advances in Modifications, Technologies and Applications; Sharanagat, V.S., Saxena, D.C., Kumar, K., Kumar, Y., Eds.; Springer: Berlin/Heidelberg, Germany, 2023; pp. 1–10. [Google Scholar]
- Burgaard, J. Sustainabulity Report 2021/22: A Circular Business Model. 2022. Available online: https://14541121.fs1.hubspotusercontent-na1.net/hubfs/14541121/KMC_CSR_2021_22_WEB_UK2.pdf?hsCtaTracking=489ba677-2c61-4d52-acce-3cc04285643c%7C49fa5e9b-3789-400c-8adf-a94886c21aae (accessed on 16 September 2024).
- De Dios, A.N.; Tirado, G.J.M.; Rios, V.C.; Luna, E.G.; Isiordia, A.N.; Zamudio, F.P.B.; Estrada, V.M.O.; Cambero, C.O.J. Physicochemical, structural, thermal and rheological properties of flour and starch isolated from avocado seeds of landrace and hass cultivars. Molecules 2022, 27, 910. [Google Scholar] [CrossRef]
- Kushwaha, R.; Singh, V.; Kaur, S.; Kaur, D. Characterization and Comparative Analysis of Starches from Seeds of Five Jackfruit Cultivars. Starch-Stärke 2023, 75, 2200208. [Google Scholar] [CrossRef]
- Tosif, M.M.; Bains, A.; Sadh, P.K.; Sarangi, P.K.; Kaushik, R.; Burla, S.V.S.; Chawla, P.; Sridhar, K. Loquat seed starch—Emerging source of non-conventional starch: Structure, properties, and novel applications. Int. J. Biol. Macromol. 2023, 244, 125230. [Google Scholar] [CrossRef]
- Hardiyanti, R.; Suharman, S.; Sinaga, M.Z.E.; Mahendra, I.P.; Hartanto, A. Physicochemical characteristics of modified starch granules from Durio zibethinus Murr. var. Bintana. AIP Conf. Proc. 2021, 2342, 080007. [Google Scholar] [CrossRef]
- Magallanes-Cruz, P.A.; Duque-Buitrago, L.F.; Martínez-Ruiz, N.d.R. Native and modified starches from underutilized seeds: Characteristics, functional properties and potential applications. Food Res. Int. 2023, 169, 112875. [Google Scholar] [CrossRef] [PubMed]
- Ferreira, S.; Araujo, T.; Souza, N.; Rodrigues, L.; Lisboa, H.M.; Pasquali, M.; Trindade, G.; Rocha, A.P. Physicochemical, morphological and antioxidant properties of spray-dried mango kernel starch. J. Agric. Res. 2019, 1, 100012. [Google Scholar] [CrossRef]
- Nayak, P.; Rayaguru, K. Studies on extraction of starch from dried and fresh mango seed kernel. Int. J. Agr. Sci. 2018, 10, 7192–7195. [Google Scholar]
- Ferraz, C.A.; Fontes, R.L.; Fontes-Sant’Ana, G.C.; Calado, V.; López, E.O.; Rocha-Leão, M.H. Extraction, modification, and chemical, thermal and morphological characterization of starch from the agro-industrial residue of mango (Mangifera indica L) var. Ubá. Starch-Stärke 2019, 71, 1800023. [Google Scholar] [CrossRef]
- Mieles, G.L.; Quintana, S.E.; García, Z.L.A. Ultrasound-assisted extraction of mango (Mangifera indica) kernel starch: Chemical, techno-functional, and pasting properties. Gels 2023, 9, 136. [Google Scholar] [CrossRef]
- do Nascimento Marques, N.; do Nascimento Garcia, C.S.; Madruga, L.Y.C.; Villetti, M.A.; de Souza Filho, M.d.S.; Ito, E.N.; de Carvalho Balaban, R. Turning industrial waste into a valuable bioproduct: Starch from mango kernel derivative to oil industry mango starch derivative in oil industry. J. Renewable Mater. 2019, 7, 139. [Google Scholar] [CrossRef]
- Cordeiro, E.M.S.; Nunes, Y.L.; Mattos, A.L.A.; Rosa, M.F.; de sá, M.; Sousa Filho, M.; Ito, E.N. Polymer biocomposites and nanobiocomposites obtained from mango seeds. Macromol. Symp. 2014, 344, 39–54. [Google Scholar] [CrossRef]
- Shahrim, N.A.; Sarifuddin, N.; Ismail, H. Extraction and characterization of starch from mango seeds. J. Phys. Conf. Ser. 2018, 1082, 012019. [Google Scholar] [CrossRef]
- Yadav, A.; Kumar, N.; Upadhyay, A.; Singh, A.; Anurag, R.K.; Pandiselvam, R. Effect of mango kernel seed starch-based active edible coating functionalized with lemongrass essential oil on the shelf-life of guava fruit. Qual. Assur. Saf. Crop 2022, 14, 103–115. [Google Scholar] [CrossRef]
- Mendes, M.L.M.; Ribeiro, A.P.L.; Almeida, E.C. Efeito da acidificação nas propriedades físico-químicas e funcionais do amido de sementes de manga (Mangifera indica L.), variedade Tommy Atkins. Rev. Ceres. 2015, 62, 225–232. [Google Scholar] [CrossRef]
- de Oliveira, M.A.L.; Madruga, L.Y.C.; de Lima, B.L.B.; Villetti, M.A.; de Souza Filho, M.S.M.; Kipper, M.J.; Marques, N.N.; Balaban, R.C. Agro-industrial waste valorization: Transformation of starch from mango kernel into biocompatible, thermoresponsive and high swelling nanogels. J. Braz. Chem. Soc. 2021, 32, 1607–1616. [Google Scholar] [CrossRef]
- Gálvez, L.D.; Salvador, F.M.; Adriano, A.M.; Mayek, P.N. Morphological characterization of native mangos from Chiapas, Mexico. Subtrop. Plant Sci. 2010, 62, 18–26. [Google Scholar]
- Bello-Pérez, L.A.; Aparicio-Saguilán, A.; MÉNdez-Montealvo, G.; Solorza-Feria, J.; Flores-Huicochea, E. Isolation and partial characterization of mango (Magnifera indica L.) Starch: Morphological, physicochemical and functional studies. Plant Foods Hum. Nutr. 2005, 60, 7–12. [Google Scholar] [CrossRef]
- Patiño, R.O.; Agama, A.E.; Ramos, L.G.; Bello, P.L.A. Unripe mango kernel starch: Partial characterization. Food Hydrocoll. 2020, 101, 105512. [Google Scholar] [CrossRef]
- AOAC (Association of Official Analytical Chemist). Official Methods of Analysis of AOAC International, 17th ed.; AOAC: Gaithersburg, MD, USA, 2002. [Google Scholar]
- Williams, P.; Kuzina, F.; Hlynka, I. Rapid colorimetric procedure for estimating the amylose content of starches and flours. Cereal Chem. 1970, 47, 411–420. [Google Scholar]
- Gunning, Y.M.; Gunning, P.A.; Kemsley, E.K.; Parker, R.; Ring, S.G.; Wilson, R.H.; Blake, A. Factors affecting the release of flavor encapsulated in carbohydrate matrixes. J. Agric. Food Chem. 1999, 47, 5198–5205. [Google Scholar] [CrossRef]
- Tirado-Gallegos, J.; Zamudio-Flores, P.; Ornelas-Paz, J.d.J.; Rios-Velasco, C.; Acosta-Muñiz, C.; Gutiérrez-Meraz, F.; Islas-Hernández, J.; Salgado-Delgado, R. Efecto del método de aislamiento y el estado de madurez en las propiedades fisicoquímicas, estructurales y reológicas de almidón de manzana. Rev. Mex. Ing. Quim. 2016, 15, 391–408. [Google Scholar] [CrossRef]
- Ye, J.; Liu, C.; Luo, S.; Hu, X.; McClements, D.J. Modification of the digestibility of extruded rice starch by enzyme treatment (β-amylolysis): An in vitro study. Food Res. Int. 2018, 111, 590–596. [Google Scholar] [CrossRef]
- Sánchez-Rivera, M.M.; Almanza-Benitez, S.; Bello-Perez, L.A.; Mendez-Montealvo, G.; Núñez-Santiago, M.C.; Rodriguez-Ambriz, S.L.; Gutierrez-Meráz, F. Acetylation of banana (Musa paradisiaca L.) and corn (Zea mays L.) starches using a microwave heating procedure and iodine as catalyst: II. Rheological and structural studies. Carbohydr. Polym. 2013, 92, 1256–1261. [Google Scholar] [CrossRef]
- Singh, N.; Inouchi, N.; Nishinari, K. Morphological, structural, thermal, and rheological characteristics of starches separated from apples of different cultivars. J. Agric. Food Chem. 2005, 53, 10193–10199. [Google Scholar] [CrossRef] [PubMed]
- Tesfaye, T.; Johakimu, J.K.; Chavan, R.; Sithole, B.; Ramjugernath, D. Valorisation of mango seed via extraction of starch: Preliminary techno-economic analysis. Clean Techn. Environ. Policy. 2018, 20, 81–94. [Google Scholar] [CrossRef]
- Nayak, P.; Rayaguru, K.; Brahma, S.; Routray, W.; Dash, S.K. Standardization of process protocol for isolation of starch from mango kernel and its characterization. J. Sci. Food Agric. 2022, 102, 2813–2825. [Google Scholar] [CrossRef] [PubMed]
- Bharti, I.; Singh, S.; Saxena, D.C. Exploring the influence of heat moisture treatment on physicochemical, pasting, structural and morphological properties of mango kernel starches from Indian cultivars. LTW 2019, 110, 197–206. [Google Scholar] [CrossRef]
- Zhu, K.; Yao, S.; Zhang, Y.; Liu, Q.; Xu, F.; Wu, G.; Dong, W.; Tan, L. Effects of in vitro saliva, gastric and intestinal digestion on the chemical properties, antioxidant activity of polysaccharide from Artocarpus heterophyllus Lam. (Jackfruit) pulp. Food Hidrocoll. 2019, 87, 952–959. [Google Scholar] [CrossRef]
- Jhan, F.; Gani, A.; Noor, N.; Ashraf, Z.U.; Gani, A.; Shah, A. Characterisation and utilisation of nano-reduced starch from underutilised cereals for delivery of folic acid through human GI tract. Sci. Rep. 2021, 11, 4873. [Google Scholar] [CrossRef]
- Dong, S.; Fang, G.; Luo, Z.; Gao, Q. Effect of granule size on the structure and digestibility of jackfruit seed starch. Food Hydrocoll. 2021, 120, 106964. [Google Scholar] [CrossRef]
- Pelissari, F.M.; Andrade-Mahecha, M.M.; Sobral, P.J.d.A.; Menegalli, F.C. Isolation and characterization of the flour and starch of plantain bananas (Musa paradisiaca). Starch-Stärke 2012, 64, 382–391. [Google Scholar] [CrossRef]
- Pozo, C.; Rodríguez-Llamazares, S.; Bouza, R.; Barral, L.; Castaño, J.; Müller, N.; Restrepo, I. Study of the structural order of native starch granules using combined FTIR and XRD analysis. J. Polym. Res. 2018, 25, 1–8. [Google Scholar] [CrossRef]
- Sevenou, O.; Hill, S.; Farhat, I.; Mitchell, J. Organisation of the external region of the starch granule as determined by infrared spectroscopy. Int. J. Biol. Macromol. 2002, 31, 79–85. [Google Scholar] [CrossRef]
- Tester, R.F.; Debon, S.J. Annealing of starch—A review. Int. J. Biol. Macromol. 2000, 27, 1–12. [Google Scholar] [CrossRef] [PubMed]
- Juárez-Barrientos, J.M.; Hernández-Santos, B.; Herman-Lara, E.; Martínez-Sánchez, C.E.; Torruco-Uco, J.G.; de Jesus Ramírez-Rivera, E.; Pineda-Pineda, J.M.; Rodríguez-Miranda, J. Effects of boiling on the functional, thermal and compositional properties of the Mexican jackfruit (Artocarpus heterophyllus) seed Jackfruit seed meal properties. Emir. J. Food Agric. 2017, 29, 1–9. [Google Scholar] [CrossRef]
- Zhang, Y.; Zhu, K.; He, S.; Tan, L.; Kong, X. Characterizations of high purity starches isolated from five different jackfruit cultivars. Food Hydrocoll. 2016, 52, 785–794. [Google Scholar] [CrossRef]
- Ai, Y.; Jane, J.L. Gelatinization and rheological properties of starch. Starch-Stärke 2015, 67, 213–224. [Google Scholar] [CrossRef]
- Shevkani, K.; Singh, N.; Bajaj, R.; Kaur, A. Wheat starch production, structure, functionality and applications—A review. Int. J. Food Sci. Technol. 2017, 52, 38–58. [Google Scholar] [CrossRef]
- Li, C. Recent progress in understanding starch gelatinization—An important property determining food quality. Carbohydr. Polym. 2022, 293, 119735. [Google Scholar] [CrossRef]
- Alqah, H.; Alamri, M.S.; Mohamed, A.A.; Hussain, S.; Qasem, A.A.; Ibraheem, M.A.; Ababtain, I.A. The effect of germinated sorghum extract on the pasting properties and swelling power of different annealed starches. Polymers. 2020, 12, 1602. [Google Scholar] [CrossRef]
- Zhong, H.; She, Y.; Yang, X.; Wen, Q.; Chen, L.; Wang, X.; Chen, Z. Analysis of the mechanism of resistance to enzymatic hydrolysis of RS-5 resistant starch. Food Chem. 2024, 452, 139570. [Google Scholar] [CrossRef]
- de Castro, D.S.; dos Santos Moreira, I.; de Melo Silva, L.M.; Lima, J.P.; da Silva, W.P.; Gomes, J.P.; de Figueirêdo, R.M.F. Isolation and characterization of starch from pitomba endocarp. Food Res. Int. 2019, 124, 181–187. [Google Scholar] [CrossRef]
- Jia, R.; Cui, C.; Gao, L.; Qin, Y.; Ji, N.; Dai, L.; Wang, Y.; Xiong, L.; Shi, R.; Sun, Q. A review of starch swelling behavior: Its mechanism, determination methods, influencing factors, and influence on food quality. Carbohydr. Polym. 2023, 321, 121260. [Google Scholar] [CrossRef]
- Casarrubias-Castillo, M.G.; Méndez-Montealvo, G.; Rodríguez-Ambriz, S.L.; Sánchez-Rivera, M.M.; Bello-Pérez, L.A. Structural and rheological differences between fruit and cereal starches. Agrociencia 2012, 46, 455–466. [Google Scholar]
- Moreira, R.; Chenlo, F.; Torres, M.; Glazer, J. Rheological properties of gelatinized chestnut starch dispersions: Effect of concentration and temperature. J. Food Eng. 2012, 112, 94–99. [Google Scholar] [CrossRef]
- Gałkowska, D.; Pycia, K.; Juszczak, L.; Pająk, P. Influence of cassia gum on rheological and textural properties of native potato and corn starch. Starch-Stärke 2014, 66, 1060–1070. [Google Scholar] [CrossRef]
- Hoover, R.; Vasanthan, T. The flow properties of native, heat-moisture treated, and annealed starches from wheat, oat, potato and lentil. J. Food Biochem. 1994, 18, 67–82. [Google Scholar] [CrossRef]
- Paton, D. Oat starch: Some recent developments. Starch-Stärke 1979, 31, 184–187. [Google Scholar] [CrossRef]
- Hoover, R.; Vasanthan, T. Studies on isolation and characterization of starch from oat (Avena nuda) grains. Carbohydr. Polym. 1992, 19, 285–297. [Google Scholar] [CrossRef]
- Punia, S.; Sandhu, K.S.; Dhull, S.B.; Siroha, A.K.; Purewal, S.S.; Kaur, M.; Kidwai, M.K. Oat starch: Physico-chemical, morphological, rheological characteristics and its applications—A review. Int. J. Biol. Macromol. 2020, 154, 493–498. [Google Scholar] [CrossRef]
- Chen, N.; Wang, Q.; Wang, M.-X.; Li, N.-Y.; Briones, A.V.; Cassani, L.; Prieto, M.A.; Carandang, M.B.; Liu, C.; Gu, C.-M.; et al. Characterization of the physicochemical, thermal and rheological properties of cashew kernel starch. Food Chem. X 2022, 15, 100432. [Google Scholar] [CrossRef]
- Zhang, L.; Wang, X.; Li, S.; Sun, J.; Liu, X. Effect of inulin on the pasting, textural, and rheological properties of sweet potato starch. CYTA J. Food. 2019, 17, 733–743. [Google Scholar] [CrossRef]
- Vamadevan, V.; Bertoft, E.; Seetharaman, K. On the importance of organization of glucan chains on thermal properties of starch. Carbohydr. Polym. 2013, 92, 1653–1659. [Google Scholar] [CrossRef]
- Chel, G.L.; Barbosa, M.E.; Martínez, A.A.; González, M.E.; Betancur, A.D. Some physicochemical and rheological properties of starch isolated from avocado seeds. Int. J. Biol. Macromol. 2016, 86, 302–308. [Google Scholar] [CrossRef] [PubMed]
- Choi, H.M.; Yoo, B. Rheology of mixed systems of sweet potato starch and galactomannans. Starch-Stärke 2008, 60, 263–269. [Google Scholar] [CrossRef]
- Hagenimana, A.; Pu, P.; Ding, X. Study on thermal and rheological properties of native rice starches and their corresponding mixtures. Food Res. Int. 2005, 38, 257–266. [Google Scholar] [CrossRef]
- Ferry, J.D. Viscoelastic Properties of Polymers, 3rd ed.; John Wiley & Sons: New York, NY, USA, 1980. [Google Scholar]







| Parameter | Cultivar | ||||
|---|---|---|---|---|---|
| MA | MM | MP | MT | MT-A | |
| Yield (%) | 41.27 ± 0.66 a,b | 28.70 ± 0.30 c | 32.25 ± 0.23 c | 35.07 ± 0.63 b,c | 43.02 ± 0.49 a |
| Moisture (%) | 4.98 ± 0.48 a | 5.15 ± 0.37 a | 5.00 ± 0.10 a | 5.36 ± 0.03 a | 4.82 ± 0.04 a |
| Proteins (%) | 0.77 ± 0.00 b | 0.84 ± 0.00 a | 0.84 ± 0.00 a | 0.83 ± 0.00 a | 0.80 ± 0.03 a,b |
| Lipids (%) | 0.54 ± 0.02 a | 0.54 ± 0.04 a | 0.26 ± 0.01 b | 0.23 ± 0.01 b | 0.09 ± 0.07 b |
| Ash (%) | 0.40 ± 0.05 a,b | 0.50 ± 0.04 a | 0.13 ± 0.04 b | 0.14 ± 0.06 b | 0.16 ± 0.09 b |
| Apparent amylose (%) | 47.58 ± 1.40 a | 31.68 ± 0.37c | 25.62 ± 0.30 d | 35.79 ± 0.37 b | 32.62 ± 0.37 b,c |
| Color | |||||
| L* | 90.54 ± 0.90 a | 93.37 ± 0.72 a | 93.56 ± 0.72 a | 92.01 ± 0.87 a | 91.53 ± 0.48 a |
| a* | 0.38 ± 0.01 a | 0.36 ± 0.01 a | 0.24 ± 0.00 b | 0.27 ± 01 b | 0.19 ± 0.01 c |
| b* | 10.68 ± 0.23 a | 8.74 ± 0.13 b | 7.18 ± 0.15 c | 9.49 ± 0.29 b | 11.59 ± 0.15 a |
| Particle size (µm) | 19.14 ± 0.36 a | 15.91 ± 0.31 b | 16.56 ± 0.37 b | 16.39 ± 0.32 b | 16.95 ± 0.32 b |
| Gelatinization Temperature | Cultivar | ||||
|---|---|---|---|---|---|
| MA | MM | MP | MT | MT-A | |
| To (°C) | 71.92 ± 0.18 d | 73.32 ± 0.07 c | 78.06 ± 0.05 a | 77.75 ± 0.07 a | 74.59 ± 0.09 b |
| Tp (°C) | 77.04 ± 0.19 c | 77.44 ± 0.07 c | 81.64 ± 0.09 a | 81.87 ± 0.11 a | 79.06 ± 0.18 b |
| Tc (°C) | 84.30 ± 0.38 c | 84.19 ± 0.38 c | 87.16 ± 0.13 a,b | 88.55 ± 0.38 a | 86.45 ± 0.51 b |
| ∆Hgel (J/g) | 11.36 ± 0.47 a | 11.08 ± 0.67 a | 11.71 ± 0.23 a | 11.11 ± 0.28 a | 11.86 ± 0.54 a |
| Source | n | k (Pa × sn) | R2 |
|---|---|---|---|
| MA | 0.56 ± 0.01 a | 1.32 ± 0.09 d | 0.992 ± 0.00 a,b |
| MM | 0.43 ± 0.01 b | 6.51 ± 0.20 c | 0.997 ± 0.00 a,b |
| MP | 0.39 ± 0.00 c | 8.12 ± 0.14 b | 0.983 ± 0.00 c |
| MT | 0.32 ± 0.00 d | 10.39 ± 0.00 a | 0.961 ± 0.00 d |
| MT-A | 0.39 ± 0.00 c | 7.05 ± 0.06 c | 0.990 ± 0.00 b |
| Source | TG′max (°C) | G′max (Pa) | G” (Pa) | tan δ G′max |
|---|---|---|---|---|
| MA | 76.95 ± 0.26 b | 933.2 ± 2.08 b | 158.85 ± 1.53 c | 0.13 ± 0.00 b |
| MM | 75.37 ± 0.17 c | 650.9 ± 7.68 c | 135.15 ± 2.54 c | 0.16 ± 0.00 a |
| MP | 79.23 ± 0.17 a | 1066.33 ± 27.55 a | 231.06 ± 8.80 a | 0.14 ± 0.01 a,b |
| MT | 78.40 ± 0.29 a | 918.70 ± 18.05 b | 191.96 ± 7.60 b | 0.16 ± 0.01 a |
| MT-A | 76.73 ± 0.23 c | 1123.67 ± 16.18 a | 213.46 ± 5.43 a,b | 0.14 ± 0.01 ab |
Disclaimer/Publisher’s Note: The statements, opinions and data contained in all publications are solely those of the individual author(s) and contributor(s) and not of MDPI and/or the editor(s). MDPI and/or the editor(s) disclaim responsibility for any injury to people or property resulting from any ideas, methods, instructions or products referred to in the content. |
© 2024 by the authors. Licensee MDPI, Basel, Switzerland. This article is an open access article distributed under the terms and conditions of the Creative Commons Attribution (CC BY) license (https://creativecommons.org/licenses/by/4.0/).
Share and Cite
De Dios-Avila, N.; Morales-Ovando, M.A.; Zamudio-Flores, P.B.; Bustillos-Rodríguez, J.C.; Ordóñez-García, M.; Medina-Dzul, K.B.; Romero-Cortes, T.; Cuervo-Parra, J.A.; Tirado-Gallegos, J.M. Physicochemical, Structural, Thermal, and Rheological Properties of Mango Seed Starch from Five Cultivars. Polysaccharides 2024, 5, 872-891. https://doi.org/10.3390/polysaccharides5040054
De Dios-Avila N, Morales-Ovando MA, Zamudio-Flores PB, Bustillos-Rodríguez JC, Ordóñez-García M, Medina-Dzul KB, Romero-Cortes T, Cuervo-Parra JA, Tirado-Gallegos JM. Physicochemical, Structural, Thermal, and Rheological Properties of Mango Seed Starch from Five Cultivars. Polysaccharides. 2024; 5(4):872-891. https://doi.org/10.3390/polysaccharides5040054
Chicago/Turabian StyleDe Dios-Avila, Ndahita, Mario Alberto Morales-Ovando, Paul Baruk Zamudio-Flores, Juan Carlos Bustillos-Rodríguez, Magali Ordóñez-García, Kati Beatriz Medina-Dzul, Teresa Romero-Cortes, Jaime Alioscha Cuervo-Parra, and Juan Manuel Tirado-Gallegos. 2024. "Physicochemical, Structural, Thermal, and Rheological Properties of Mango Seed Starch from Five Cultivars" Polysaccharides 5, no. 4: 872-891. https://doi.org/10.3390/polysaccharides5040054
APA StyleDe Dios-Avila, N., Morales-Ovando, M. A., Zamudio-Flores, P. B., Bustillos-Rodríguez, J. C., Ordóñez-García, M., Medina-Dzul, K. B., Romero-Cortes, T., Cuervo-Parra, J. A., & Tirado-Gallegos, J. M. (2024). Physicochemical, Structural, Thermal, and Rheological Properties of Mango Seed Starch from Five Cultivars. Polysaccharides, 5(4), 872-891. https://doi.org/10.3390/polysaccharides5040054

