Antifungal Activity of Nanochitosan in Colletotrichum musae and Colletotrichum chrysophillum
Abstract
1. Introduction
2. Materials and Methods
2.1. Materials
2.2. Microorganisms
2.3. Synthesis and Characterization of Chitosan Particles
2.3.1. Particle Size, Polydispersity Index, and Zeta Potential (ζ)
2.3.2. Fourier Transform Infrared Analysis
2.3.3. Morphology of Chitosan Particles
2.4. Radial Growth
2.5. Morphometric Analysis of Hyphaes
2.6. Fluorescence Microscopy
2.6.1. Plasma Membrane Integrity
2.6.2. Cell Wall Integrity
2.6.3. Oxidative Stress
2.7. Statistical Analysis
3. Results and Discussion
3.1. Characterization of Chitosan Particles
3.1.1. Particle Size, Polydispersity Index, and Zeta Potential (ζ)
3.1.2. Fourier Transform Infrared Analysis
3.1.3. Morphology of Chitosan Particles
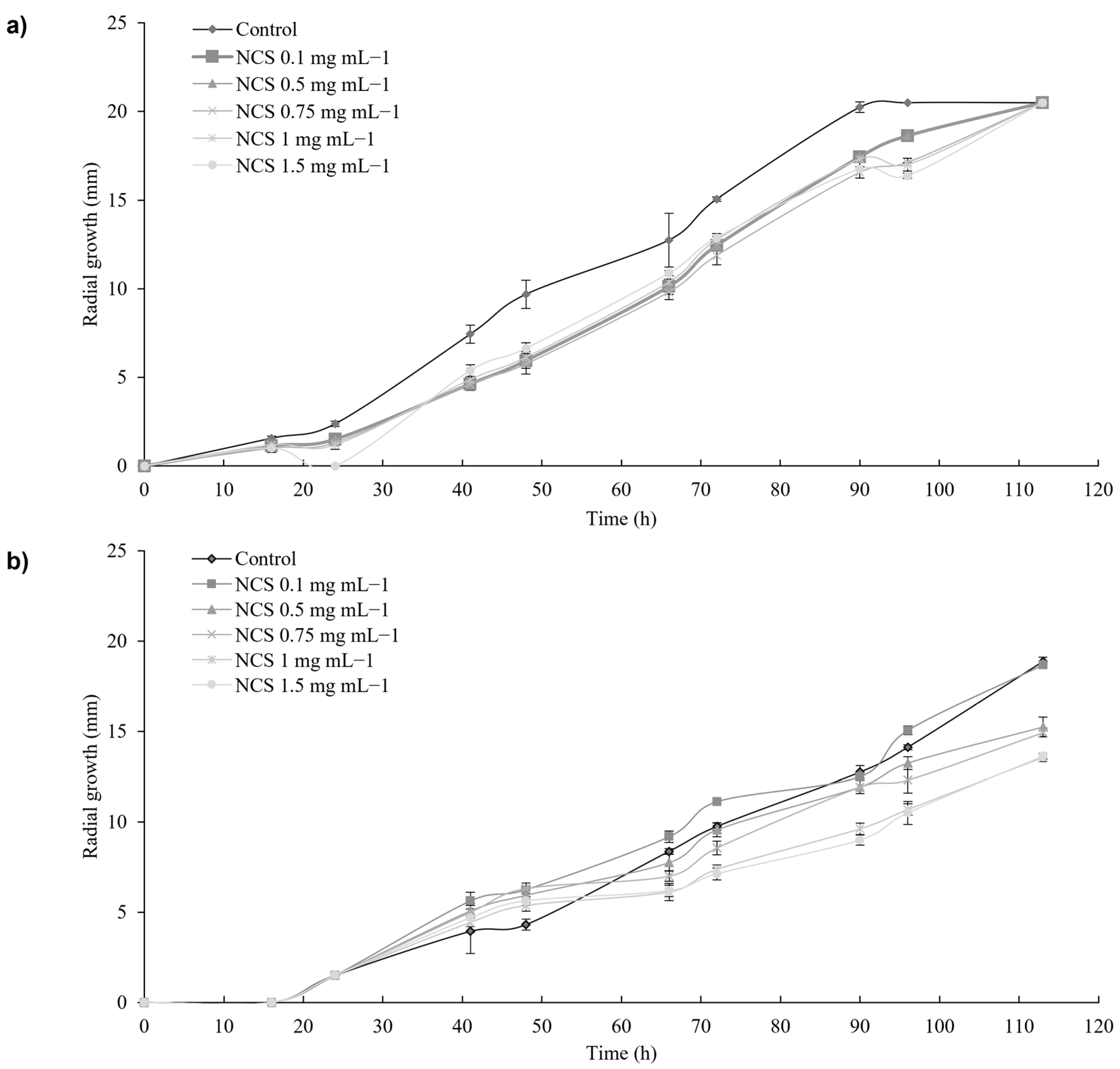
3.2. Radial Growth
3.3. Morphometric Analysis
3.4. Fluorescence Microscopy Analysis
3.4.1. Plasma Membrane Integrity
3.4.2. Cell Wall Integrity
3.4.3. Oxidative Stress
4. Conclusions
Author Contributions
Funding
Institutional Review Board Statement
Data Availability Statement
Acknowledgments
Conflicts of Interest
References
- Crini, G. Historical review on chitin and chitosan biopolymers. Environ. Chem. Lett. 2019, 17, 1623–1643. [Google Scholar] [CrossRef]
- Badawy, M.E.; Rabea, E.I. A biopolymer chitosan and its derivatives as promising antimicrobial agents against plant pathogens and their applications in crop protection. Int. J. Carbohydr. Chem. 2011, 46, 0381. [Google Scholar] [CrossRef]
- López-Meneses, A.K.; Plascencia-Jatomea, M.; Lizardi-Mendoza, J.; Fernández-Quiroz, D.; Rodríguez-Félix, F.; Mouriño-Pérez, R.R.; Cortez-Rocha, M.O. Schinus molle L. essential oil-loaded chitosan nanoparticles: Preparation, characterization, antifungal and anti-aflatoxigenic properties. LWT 2018, 96, 597–603. [Google Scholar] [CrossRef]
- Vehapi, M.; Yilmaz, A.; Özçimen, D. Fabrication of oregano-olive oil loaded PVA/chitosan nanoparticles via electrospraying method. J. Na Fibers 2021, 18, 1359–1373. [Google Scholar] [CrossRef]
- Dey, D.; Dharini, V.; Selvam, S.P.; Sadiku, E.R.; Kumar, M.M.; Jayaramudu, J.; Gupta, U.N. Physical, antifungal, and biodegradable properties of cellulose nanocrystals and chitosan nanoparticles for food packaging application. Mater. Today Proc. 2021, 38, 860–869. [Google Scholar] [CrossRef]
- Costantini, R.; Ventura-Aguilar, R.I.; Hernández-López, M.; Bautista-Baños, S.; Barrera-Necha, L.L. Potencial antifúngico de nanopartículas de quitosano y extracto de Arándano sobre Colletotrichum fragariae en fresa. Rev. Iberoam. Tecnol. Post. 2018, 19, 1. [Google Scholar]
- Weir, B.S.; Johnston, P.R.; Damm, U. The Colletotrichum gloeosporioides species complex. Stud. Mycol. 2012, 73, 115–180. [Google Scholar] [CrossRef]
- Lima, N.B.; de A Batista, M.V.; De Morais, M.A.; Barbosa, M.A.; Michereff, S.J.; Hyde, K.D.; Câmara, M.P. Five Colletotrichum species are responsible for mango anthracnose in northeastern Brazil. Fungal Divers. 2013, 61, 75–88. [Google Scholar] [CrossRef]
- Oliveira, P.D.L.; de Oliveira, K.Á.R.; dos Santos Vieira, W.; Câmara, M.P.S.; de Souza, E.L. Control of anthracnose caused by Colletotrichum species in guava, mango and papaya using synergistic combinations of chitosan and Cymbopogon citratus (DC ex Nees) Stapf. essential oil. Int. J. Food Microbiol. 2018, 266, 87–94. [Google Scholar] [CrossRef]
- Quattrocelli, P.; Puntoni, G.; Bianchi, S.; Castelvetro, V.; Baroncelli, R.; Pecchia, S. Sensitivity to chitosan and chitosan nanoparticles by three Colletotrichum species belonging to C. acutatum species complex. Abstracts of presentations at the XXV Congress of the Italian Phytopathological Society (SIPaV). J. Plant Pathol. 2019, 101, 811–848. [Google Scholar]
- Berger, L.R.R.; Stamford, T.C.M.; de Oliveira, K.Á.R.; Pessoa, A.D.M.P.; de Lima, M.A.B.; Pintado, M.M.E.; de Souza, E.L. Chitosan produced from Mucorales fungi using agroindustrial by-products and its efficacy to inhibit Colletotrichum species. Int. J. Biol. Macromol. 2018, 108, 635–641. [Google Scholar] [CrossRef]
- Zahid, N.; Ali, A.; Manickam, S.; Siddiqui, Y.; Maqbool, M. Potential of chitosan-loaded nanoemulsions to control different Colletotrichum spp. and maintain quality of tropical fruits during cold storage. J. Appl. Microbiol. 2012, 113, 925–939. [Google Scholar] [CrossRef]
- Mahmud, J.; Sarmast, E.; Shankar, S.; Lacroix, M. Advantages of nanotechnology developments in active food packaging. Food Res. Int. 2022, 154, 111023. [Google Scholar] [CrossRef]
- Schoonjans, R.; Castenmiller, J.; Chaudhry, Q.; Cubadda, F.; Daskaleros, T.; Franz, R.; Tarazona, J. Regulatory safety assessment of nanoparticles for the food chain in Europe. Trends Food Sci. Technol. 2023, 134, 98–111. [Google Scholar] [CrossRef]
- Malik, S.; Muhammad, K.; Waheed, Y. Nanotechnology: A revolution in modern industry. Molecules 2023, 28, 661. [Google Scholar] [CrossRef]
- Zielińska, A.; Carreiró, F.; Oliveira, A.M.; Neves, A.; Pires, B.; Venkatesh, N.D.; Souto, E.B. Polymeric nanoparticles: Production, characterization, toxicology and ecotoxicology. Molecules 2020, 25, 3731. [Google Scholar] [CrossRef] [PubMed]
- Elmowafy, M.; Shalaby, K.; Elkomy, M.H.; Alsaidan, O.A.; Gomaa, H.A.; Abdelgawa, M.A.; Mostafa, E.M. Polymeric nanoparticles for delivery of natural bioactive agents: Recent advances and challenges. Polymers 2023, 15, 1123. [Google Scholar] [CrossRef] [PubMed]
- Poznanski, P.; Hameed, A.; Orczyk, W. Chitosan and chitosan nanoparticles: Parameters enhancing antifungal activity. Molecules 2023, 28, 2996. [Google Scholar] [CrossRef] [PubMed]
- Czechowska-Biskup, R.; Rokita, B.; Lotfy, S.; Ulanski, P.; Rosiak, J.M. Degradation of chitosan and starch by 360-kHz ultrasound. Carbohydr. Polym. 2005, 60, 175–184. [Google Scholar] [CrossRef]
- Esmaeilzadeh-Gharedaghi, E.; Faramarzi, M.A.; Amini, M.A.; Rouholamini, N.A.; Rezayat, S.; Amani, A. Effects of processing parameters on particle size of ultrasound prepared chitosan nanoparticles: An Artificial Neural Networks Study. Pharm. Dev. Technol. 2012, 17, 638–647. [Google Scholar] [CrossRef]
- Gálvez-Iriqui, A.C.; Cortez-Rocha, M.O.; Burgos-Hernández, A.; Calderón-Santoyo, M.; Argüelles-Monal, W.M.; Plascencia-Jatomea, M. Synthesis of chitosan biocomposites loaded with pyrrole-2-carboxylic acid and assessment of their antifungal activity against Aspergillus niger. Appl. Microbiol. Biotechnol. 2019, 103, 2985–3000. [Google Scholar] [CrossRef] [PubMed]
- Valenzuela-Ortiz, G.; Gaxiola-Camacho, S.M.; San-Martín-Hernández, C.; Martínez-Téllez, M.Á.; Aispuro-Hernández, E.; Lizardi-Mendoza, J.; Quintana-Obregón, E. Chitosan Sensitivity of Fungi Isolated from Mango (Mangifera indica L.) with Anthracnose. Molecules 2022, 27, 1244. [Google Scholar] [CrossRef] [PubMed]
- Brugnerotto, J.; Lizardi, J.; Goycoolea, F.M.; Argüelles-Monal, W.; Desbrieres, J.; Rinaudo, M. An infrared investigation in relation with chitin and chitosan characterization. Polymer 2001, 42, 3569–3580. [Google Scholar] [CrossRef]
- Martínez-Camacho, A.P.; Cortez-Rocha, M.O.; Ezquerra-Brauer, J.M.; Graciano-Verdugo, A.Z.; Rodríguez-Félix, F.; Castillo-Ortega, M.M.; Plascencia-Jatomea, M. Chitosan composite films: Thermal, structural, mechanical and antifungal properties. Carbohydr. Polym. 2010, 82, 305–315. [Google Scholar] [CrossRef]
- Quintana-Obregón, E.A.; Sánchez-Mariñez, R.I.; Cortez-Rocha, M.O.; González-Aguilar, G.A. In vitro antifungal activity of a mix orange terpenes against Alternaria tenuissima. Rev. Mex. Micol. 2017, 45, 7–12. [Google Scholar]
- Hernández-Téllez, C.N.; Rodríguez-Córdova, F.J.; Rosas-Burgos, E.C.; Cortez-Rocha, M.O.; Burgos-Hernández, A.; Lizardi-Mendoza, J.; Plascencia-Jatomea, M. Activity of chitosan–lysozyme nanoparticles on the growth, membrane integrity, and β-1, 3-glucanase production by Aspergillus parasiticus. 3 Biotech 2017, 7, 1–13. [Google Scholar] [CrossRef] [PubMed]
- Zhang, N.; Fan, Y.; Li, C.; Wang, Q.; Leksawasdi, N.; Li, F.; Wang, S. Cell Permeability and Nuclear DNA Staining by Propidium Iodide in Basidiomycetous Yeasts. Appl. Microbiol. Biotechnol. 2018, 102, 4183–4191. [Google Scholar] [CrossRef] [PubMed]
- Xu, D.; Li, L.; Wu, Y.; Zhang, X.; Wu, M.; Li, Y.; Li, C. Influence of ultrasound pretreatment on the subsequent glycation of dietary proteins. Ultrason. Sonochem. 2020, 63, 104–910. [Google Scholar] [CrossRef] [PubMed]
- Salehi, M.; Naseri-Nosar, M.; Azami, M.; Nodooshan, S.J.; Arish, J. Comparative study of poly (L-lactic acid) scaffolds coated with chitosan nanoparticles prepared via ultrasonication and ionic gelation techniques. J. Tissue Eng. Regen. Med. 2016, 13, 498–506. [Google Scholar] [CrossRef]
- Wijesena, R.N.; Tissera, N.; Kannangara, Y.Y.; Lin, Y.; Amaratunga, G.A.; de Silva, K.N. A method for top down preparation of chitosan nanoparticles and nanofibers. Carbohydr. Polym. 2015, 117, 731–738. [Google Scholar] [CrossRef]
- Khoerunnisa, F.; Yolanda, Y.D.; Nurhayati, M.; Zahra, F.; Nasir, M.; Opaprakasit, P.; Ng, E.P. Ultrasonic Synthesis of Nanochitosan and Its Size Effects on Turbidity Removal and Dealkalization in Wastewater Treatment. Inventions 2021, 6, 98. [Google Scholar] [CrossRef]
- Brotchie, A.; Grieser, F.; Ashokkumar, M. Effect of power and frequency on bubble-size distributions in acoustic cavitation. Phys. Rev. Lett. 2009, 102, 084302. [Google Scholar] [CrossRef] [PubMed]
- Kumar, A.R.S.; Padmakumar, A.; Kalita, U.; Samanta, S.; Baral, A.; Singha, N.K.; Ashokkumar, M.; Qiao, G.G. Ultrasonics in polymer science: Applications and challenges. Prog. Mater. Sci. 2023, 136, 101113. [Google Scholar] [CrossRef]
- Lowry, G.V.; Hill, R.J.; Harper, S.; Rawle, A.F.; Hendren, C.O.; Klaessig, F.; Nobbmann, U.; Sayre, P.; Rumble, J. Guidance to improve the scientific value of zeta-potential measurements in nano EHS. Environ. Sci. Nano 2016, 3, 953–965. [Google Scholar] [CrossRef]
- Huang, X.; Du, Y.Z.; Yuan, H.; Hu, F.Q. Preparation and pharmacodynamics of low-molecular-weight chitosan nanoparticles containing insulin. Carbohydr. Polym. 2009, 76, 368–373. [Google Scholar] [CrossRef]
- Tang, E.S.K.; Huang, M.; Lim, L.Y. Ultrasonication of chitosan and chitosan nanoparticles. Int. J. Pharm. 2003, 265, 103–114. [Google Scholar] [CrossRef]
- Vallejo-Domínguez, D.; Rubio-Rosas, E.; Aguila-Almanza, E.; Hernández-Cocoletzi, H.; Ramos-Cassellis, M.E.; Luna-Guevara, M.L.; Show, P.L. Ultrasound in the deproteinization process for chitin nd chitosan production. Ultrason. Sonochem. 2021, 72, 105–417. [Google Scholar] [CrossRef] [PubMed]
- Suryani, S.; Chaerunisaa, A.Y.; Joni, I.M.; Ruslin, R.; Ramadhan LO, A.N.; Wardhana, Y.W.; Sabarwati, S.H. Production of low molecular weight chitosan using a combination of weak acid and ultrasonication methods. Polymers 2022, 14, 3417. [Google Scholar] [CrossRef]
- Baxter, S.; Zivanovic, S.; Weiss, J. Molecular weight and degree of acetylation of high-intensity ultrasonicated chitosan. Food Hydrocoll. 2005, 19, 821–830. [Google Scholar] [CrossRef]
- Cota-Arriola, O.; Cortez-Rocha, M.O.; Ezquerra-Brauer, J.M.; Lizardi-Mendoza, J.; Burgos-Hernández, A.; Robles-Sánchez, R.M.; Plascencia-Jatomea, M. Ultrastructural, morphological, and antifungal properties of micro and nanoparticles of chitosan crosslinked with sodium tripolyphosphate. J. Polym. Environ. 2013, 21, 971–980. [Google Scholar] [CrossRef]
- Dananjaya, S.H.S.; Erandani, W.K.C.U.; Kim, C.H.; Nikapitiya, C.; Lee, J.; De Zoysa, M. Comparative study on antifungal activities of chitosan nanoparticles and chitosan silver nano composites against Fusarium oxysporum species complex. Int. J. Biol. Macromol. 2017, 105, 478–488. [Google Scholar] [CrossRef]
- Oh, J.M.; Chun, S.C.; Chandrasekaran, M. Preparation and in vitro characterization of chitosan nanoparticles and their broad-spectrum antifungal action compared to antibacterial activities against phytopathogens of tomato. J. Agron. 2019, 9, 21. [Google Scholar] [CrossRef]
- Chávez-Magdaleno, M.E.; Luque-Alcaraz, A.G.; Gutiérrez-Martínez, P.; Cortez-Rocha, M.O.; Burgos-Hernández, A.; Lizardi-Mendoza, J.; Plascencia-Jatomea, M. Effect of chitosan-pepper tree (Schinus molle) essential oil biocomposites on the growth kinetics, viability and membrane integrity of Colletotrichum gloeosporioides. Rev. Mex. Ing. Quí 2018, 17, 29–45. [Google Scholar] [CrossRef]
- Correa-Pacheco, Z.N.; Bautista-Baños, S.; Valle-Marquina, M.Á.; Hernández-López, M. The effect of nanostructured chitosan and chitosan-thyme essential oil coatings on Colletotrichum gloeosporioides growth in vitro and on cv Hass avocado and fruit quality. J. Phytopathol. 2017, 165, 297–305. [Google Scholar] [CrossRef]
- Kong, M.; Chen, X.G.; Xing, K.; Park, H.J. Antimicrobial properties of chitosan and mode of action: A state of the art review. Int. J. Food Microbiol. 2010, 144, 51–63. [Google Scholar] [CrossRef] [PubMed]
- Palma-Guerrero, J.; Huang, I.C.; Jansson, H.B.; Salinas, J.; Lopez-Llorca, L.V.; Read, N.D. Chitosan permeabilizes the plasma membrane and kills cells of Neurospora crassa in an energy dependent manner. Fungal Genet. Biol. 2009, 46, 585–594. [Google Scholar] [CrossRef]
- Lopez-Moya, F.; Lopez-Llorca, L.V. Omics for investigating chitosan as an antifungal and gene modulator. J. Fungus 2016, 2, 11. [Google Scholar] [CrossRef]
- Jaime, M.D.; Lopez-Llorca, L.V.; Conesa, A.; Lee, A.Y.; Proctor, M.; Heisler, L.E.; Nislow, C. Identification of yeast genes that confer resistance to chitosan oligosaccharide (COS) using chemogenomics. BMC Genom. 2012, 13, 1–26. [Google Scholar] [CrossRef] [PubMed]
- Takeshita, N. Coordinated process of polarized growth in filamentous fungi. Biosci. Biotechnol. Biochem. 2016, 80, 1693–1699. [Google Scholar] [CrossRef] [PubMed]
- Palma-Guerrero, J.; Lopez-Jimenez, J.A.; Pérez-Berná, A.J.; Huang, I.C.; Jansson, H.B.; Salinas, J.; Villalaín, J.; Read, N.D.; Lopez-Llorca, L.V. Membrane fluidity determines sensitivity of filamentous fungi to chitosan. Mol. Microbiol. 2010, 75, 1021–1032. [Google Scholar] [CrossRef] [PubMed]
- Meng, D.; Garba, B.; Ren, Y.; Yao, M.; Xia, X.; Li, M.; Wang, Y. Antifungal activity of chitosan against Aspergillus ochraceus and its possible mechanisms of action. Int. J. Biol. Macromol. 2020, 158, 1063–1070. [Google Scholar] [CrossRef] [PubMed]
- Zakrzewska, A.; Boorsma, A.; Brul, S.; Hellingwerf, K.J.; Klis, F.M. Transcriptional response of Saccharomyces cerevisiae to the plasma membrane-perturbing compound chitosan. Eukaryot. Cell 2005, 4, 703–715. [Google Scholar] [CrossRef] [PubMed]
- Beckman, K.B.; Ames, B.N. The free radical theory of aging matures. Physiol. Rev. 1998, 78, 547–581. [Google Scholar] [CrossRef]
- Klotz, L. Oxidant-induced signaling: Effects of peroxynitrite and singlet oxygen. Biol. Chem. 2002, 383, 443. [Google Scholar] [CrossRef] [PubMed]
- Hernández-Téllez, C.N.; Luque-Alcaraz, A.G.; Núñez-Mexía, S.A.; Cortez-Rocha, M.O.; Lizardi-Mendoza, J.; Rosas-Burgos, E.C.; Rosas-Durazo, A.d.J.; Parra-Vergara, N.V.; Plascencia-Jatomea, M. Relationship between the antifungal activity of chitosan–capsaicin nanoparticles and the oxidative stress response on aspergillus parasiticus. Polymers 2022, 14, 2774. [Google Scholar] [CrossRef] [PubMed]
- Singh, T.; Vesentini, D.; Singh, A.P.; Daniel, G. Effect of chitosan on physiological, morphological, and ultrastructural characteristics of wood-degrading fungi. Int. Biodeterior. Biodegrad. 2008, 62, 116–124. [Google Scholar] [CrossRef]
- Lopez-Moya, F.; Colom-Valiente, M.F.; Martinez-Peinado, P.; Martinez-Lopez, J.E.; Puelles, E.; Sempere-Ortells, J.M.; Lopez-Llorca, L.V. Carbon and nitrogen limitation increase chitosan antifungal activity in Neurospora crassa and fungal human pathogens. Fungal Biol. 2015, 119, 154–169. [Google Scholar] [CrossRef] [PubMed]








|
Nanochitosan (mg mL−1) | Inhibition Percentage of Radial Growth * | |
|---|---|---|
| C. chrysophillum | C. musae | |
| 0.1 | 9.15 ± 1.58 Aa | 0 ± 0.00 Ab |
| 0.5 | 16.46 ± 1.58 Bb | 6.19 ± 2.43 Ba |
| 0.75 | 17.07 ± 1.73 Bb | 12.83 ± 3.42 Ca |
| 1 | 20.12 ± 0.7 Ca | 24.19 ± 1.99 Db |
| 1.5 | 21.34 ± 0.7 Ca | 25.66 ± 4.24 Da |
| Treatment | C. chrysophillum | C. musae |
|---|---|---|
| * Vm (h−1) | ||
| Control PDA | 0.30 ± 0.01 Bb | 0.24 ± 0.003 Ba |
| NCS0.1 | 0.28 ± 0.01 Bb | 0.21 ± 0.001 Aa |
| NCS0.5 | 0.26 ± 0.004 Ab | 0.20 ± 0.01 Aa |
| NCS0.75 | 0.27 ± 0.01 Aa | 0.28 ± 0.04 Ba |
| NCS1 | 0.27 ± 0.003 Aa | 0.21 ± 0.06 Aa |
| NCS1.5 | 0.26 ± 0.0008 Aa | 0.28 ± 0.09 ABa |
Disclaimer/Publisher’s Note: The statements, opinions and data contained in all publications are solely those of the individual author(s) and contributor(s) and not of MDPI and/or the editor(s). MDPI and/or the editor(s) disclaim responsibility for any injury to people or property resulting from any ideas, methods, instructions or products referred to in the content. |
© 2025 by the authors. Licensee MDPI, Basel, Switzerland. This article is an open access article distributed under the terms and conditions of the Creative Commons Attribution (CC BY) license (https://creativecommons.org/licenses/by/4.0/).
Share and Cite
Hernández-López, N.A.; Plascencia-Jatomea, M.; Del-Toro-Sánchez, C.L.; López-Saiz, C.M.; Morales-Rodríguez, S.; Martínez-Téllez, M.Á.; Quintana-Obregón, E.A. Antifungal Activity of Nanochitosan in Colletotrichum musae and Colletotrichum chrysophillum. Polysaccharides 2025, 6, 4. https://doi.org/10.3390/polysaccharides6010004
Hernández-López NA, Plascencia-Jatomea M, Del-Toro-Sánchez CL, López-Saiz CM, Morales-Rodríguez S, Martínez-Téllez MÁ, Quintana-Obregón EA. Antifungal Activity of Nanochitosan in Colletotrichum musae and Colletotrichum chrysophillum. Polysaccharides. 2025; 6(1):4. https://doi.org/10.3390/polysaccharides6010004
Chicago/Turabian StyleHernández-López, Nixe Adriana, Maribel Plascencia-Jatomea, Carmen Lizette Del-Toro-Sánchez, Carmen María López-Saiz, Simón Morales-Rodríguez, Miguel Ángel Martínez-Téllez, and Eber Addí Quintana-Obregón. 2025. "Antifungal Activity of Nanochitosan in Colletotrichum musae and Colletotrichum chrysophillum" Polysaccharides 6, no. 1: 4. https://doi.org/10.3390/polysaccharides6010004
APA StyleHernández-López, N. A., Plascencia-Jatomea, M., Del-Toro-Sánchez, C. L., López-Saiz, C. M., Morales-Rodríguez, S., Martínez-Téllez, M. Á., & Quintana-Obregón, E. A. (2025). Antifungal Activity of Nanochitosan in Colletotrichum musae and Colletotrichum chrysophillum. Polysaccharides, 6(1), 4. https://doi.org/10.3390/polysaccharides6010004

