Closing the Gap in Behavioral Weight Loss Therapy: Prospective Analysis of Clinical Real-World Data of a Four-Year Health Insurance-Financed Program
Abstract
1. Introduction
2. Materials and Methods
2.1. Patients
2.2. Interventions and Assessments
2.3. Assessments of Laboratory Parameters
2.4. Statistical Analysis of Medical Data
2.5. Assessment and Statistical Analysis of Healthcare Costs
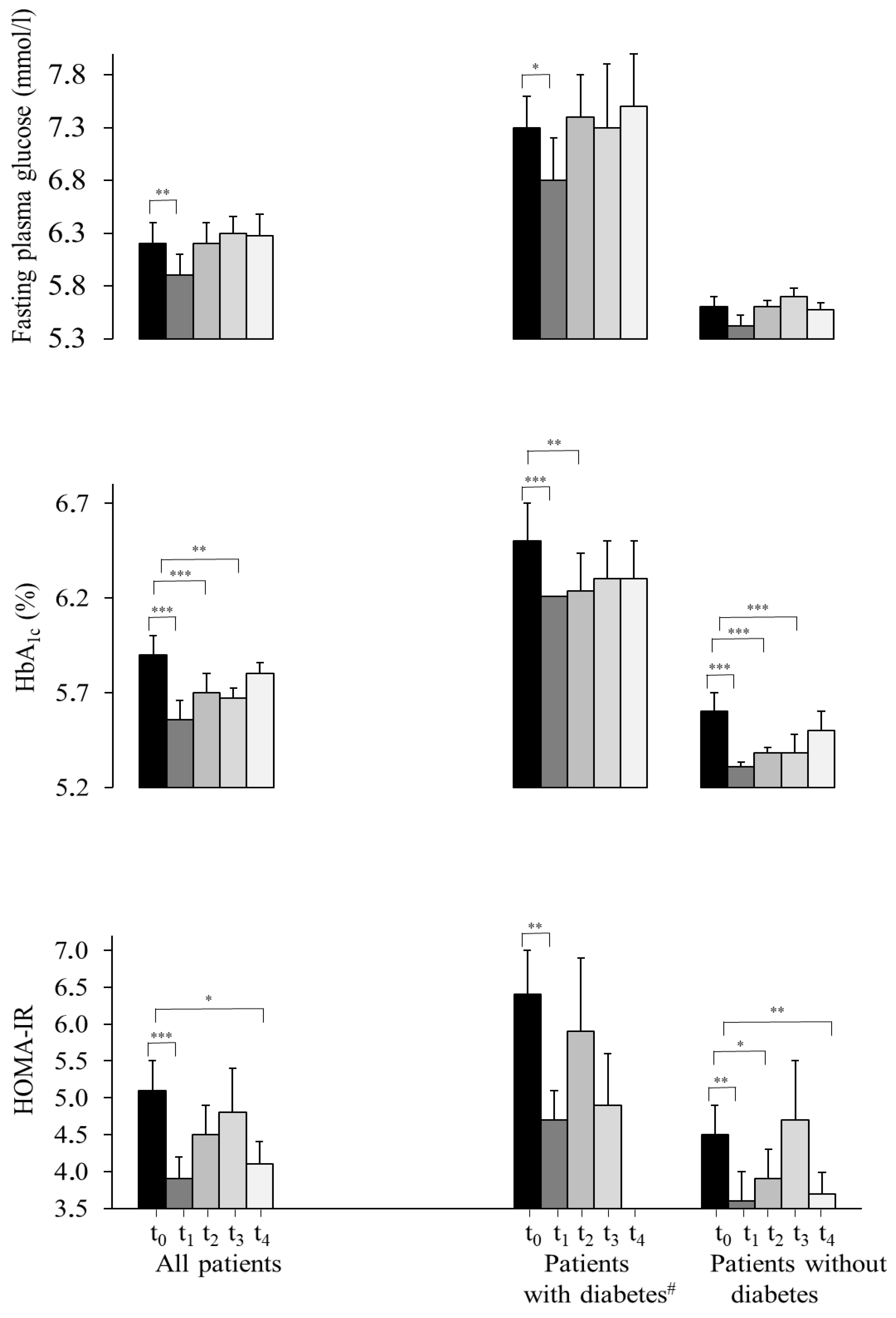
3. Results
3.1. Mixed-Model Analysis (Starting at t0 with n = 381)
| t0 | t1 | t2 | t3 | t4 | p | |
|---|---|---|---|---|---|---|
| Patients n | 381 | 243 | 126 | 94 | 77 | |
| Women n (%) | 272 (71.4%) | 173 (71.2%) | 89 (70.6%) | 67 (71.3%) | 55 (71.4%) | |
| Body weight (kg) | 127.3 ± 1.3 | 122.2 ± 1.3 *** | 123.2 ± 1.4 *** | 124.2 ± 1.4 ** | 124.2 ± 1.5 ** | <0.001 |
| Women | 120.4 ± 1.3 | 115.3 ± 1.3 *** | 116.8 ± 1.4 *** | 117.6 ± 1.5 * | 117.6 ± 1.5 | <0.001 |
| Men | 144.3 ± 2.6 | 139.4 ± 2.7 *** | 138.2 ± 2.9 ** | 140.3 ± 2.7 ** | 140.4 ± 2.9 | <0.01 |
| Body mass index (kg/m2) | 44.3 ± 0.4 | 42.6 ± 0.4 *** | 42.9 ± 0.4 *** | 43.3 ± 0.4 ** | 43.4 ± 0.5 ** | <0.001 |
| Women | 44.2 ± 0.5 | 42.3 ± 0.4 *** | 42.9 ± 0.5 *** | 43.2 ± 0.5 * | 43.2 ± 0.5 | <0.001 |
| Men | 44.7 ± 0.7 | 43.2 ± 0.7 *** | 42.9 ± 0.8 ** | 43.5 ± 0.8 ** | 43.5 ± 0.8 | <0.01 |
| Waist ratio (cm) | 129.7 ± 1.0 | 125.4 ± 1.0 *** | 124.9 ± 1.0 *** | 125.0 ± 1.0 *** | 126.4 ± 1.2 ** | <0.001 |
| Women | 125.1 ± 1.1 | 120.4 ± 1.1 *** | 120.0 ± 1.0 *** | 119.6 ± 1.1 *** | 120.1 ± 1.2 *** | <0.001 |
| Men | 140.9 ± 1.7 | 137.6 ± 1.6 ** | 136.8 ± 1.6 *** | 138.3 ± 1.8 | 141.9 ± 2.4 | <0.001 |
| Hip ratio (cm) | 138.6 ± 0.9 | 134.4 ± 0.9 *** | 133.1 ± 0.9 *** | 133.6 ± 1.0 *** | 134.7 ± 1.2 ** | <0.001 |
| Women | 139.4 ± 1.1 | 135.0 ± 1.1 *** | 133.6 ± 1.1 *** | 133.8 ± 1.1 *** | 134.7 ± 1.3 *** | <0.001 |
| Men | 136.9 ± 1.8 | 132.8 ± 1.7 *** | 131.7 ± 1.7 *** | 133.4 ± 2.0 | 138.1 ± 3.0 | <0.001 |
| Fasting glucose (mmol/L) | 6.1 ± 0.1 | 5.9 ± 0.1 ** | 6.1 ± 0.1 | 6.3 ± 0.2 | 6.3 ± 0.1 | <0.001 |
| Patients with diabetes § | 7.7 ± 0.2 | 7.4 ± 0.2 * | 7.8 ± 0.3 | 8.0 ± 0.4 | 8.0 ± 0.4 | <0.05 |
| (t0: 28.0%) | ||||||
| No diagnosed diabetes | 5.5 ± 0.0 | 5.4 ± 0.0 | 5.5 ± 0.1 | 5.7 ± 0.1 | 5.6 ± 0.1 | <0.01 |
| HbA1c (%) | 5.8 ± 0.0 | 5.6 ± 0.0 *** | 5.6 ± 0.0 *** | 5.7 ± 0.1 ** | 5.7 ± 0.1 | <0.001 |
| Patients with diabetes § | 6.6 ± 0.1 | 6.2 ± 0.1 *** | 6.2 ± 0.1 ** | 6.4 ± 0.1 | 6.4 ± 0.1 | <0.001 |
| No diagnosed diabetes | 5.5 ± 0.0 | 5.3 ± 0.0 *** | 5.4 ± 0.0 *** | 5.4 ± 0.0 *** | 5.4 ± 0.0 | <0.001 |
| C-peptide (nmol/L) | 1.4 ± 0.0 | 1.3 ± 0.0 ** | 1.2 ± 0.0 *** | 1.1 ± 0.0 *** | 1.1 ± 0.1 ** | <0.001 |
| Patients with diabetes § | 1.6 ± 0.1 | 1.5 ± 0.1 | 1.3 ± 0.1 * | 1.2 ± 0.1 *** | 1.4 ± 0.2 | <0.01 |
| No diagnosed diabetes | 1.3 ± 0.0 | 1.2 ± 0.0 ** | 1.1 ± 0.0 *** | 1.0 ± 0.1 *** | 1.0 ± 0.0 *** | <0.001 |
| HOMA-IR | 6.0 ± 0.3 | 4.9 ± 0.2 *** | 5.1 ± 0.3 | 5.2 ± 0.3 | 5.0 ± 0.3 * | <0.01 |
| Patients with diabetes † | 8.1 ± 0.4 | 6.2 ± 0.8 * | 6.7 ± 1.1 | 6.8 ± 0.9 | - | <0.05 |
| (t0: 22.1%) | ||||||
| No diagnosed diabetes | 5.3 ± 0.2 | 4.5 ± 0.2 ** | 4.5 ± 0.3 * | 4.6 ± 0.4 | 4.3 ± 0.3 ** | <0.01 |
| Total cholesterol ‡ (mmol/L) | 5.1 ± 0.1 | 5.0 ± 0.1 ** | 4.9 ± 0.1 ** | 4.9 ± 0.1 * | 4.9 ± 0.1 ** | <0.01 |
| LDL cholesterol ‡ (mmol/L) | 3.3 ± 0.1 | 3.2 ± 0.1 * | 3.3 ± 0.1 | 3.2 ± 0.1 | 3.2 ± 0.1 * | <0.05 |
| HDL cholesterol ‡ (mmol/L) | 1.2 ± 0.0 | 1.3 ± 0.0 ** | 1.3 ± 0.0 ** | 1.3 ± 0.0 ** | 1.3 ± 0.0 *** | <0.001 |
| Triglycerides ‡ (mmol/L) | 1.8 ± 0.1 | 1.7 ± 0.1 | 1.9 ± 0.1 | 1.9 ± 0.1 | 1.8 ± 0.1 | <0.01 |
| C-reactive protein (mg/L) | 8.4 ± 0.3 | 7.6 ± 0.5 | 7.0 ± 0.6 | 8.7 ± 1.7 | 6.5 ± 0.5 ** | <0.01 |
| ASAT (µkat/L) | 0.5 ± 0.0 | 0.5 ± 0.1 *** | 0.5 ± 0.0 | 0.4 ± 0.0 *** | 0.4 ± 0.0 *** | <0.001 |
| ALAT (µkat/L) | 0.6 ± 0.0 | 0.5 ± 0.0 *** | 0.5 ± 0.0 | 0.5 ± 0.0 *** | 0.5 ± 0.0 *** | <0.001 |
| GGT (µkat/L) | 0.7 ± 0.0 | 0.6 ± 0.0 ** | 0.6 ± 0.0 | 0.6 ± 0.0 | 0.6 ± 0.0 * | <0.01 |
| Quality of life (EUROHIS-QOL) | 3.2 ± 0.0 | 3.4 ± 0.0 *** | 3.5 ± 0.1 *** | 3.6 ± 0.1 *** | 3.6 ± 0.1 *** | <0.001 |
| Depression (PHQ-9) | 7.9 ± 0.3 | 6.2 ± 0.3 *** | 5.9 ± 0.4 *** | 6.3 ± 0.3 *** | 6.3 ± 0.4 *** | <0.001 |
3.2. Completer Analysis of Variance of All Measured Parameters (n = 77)
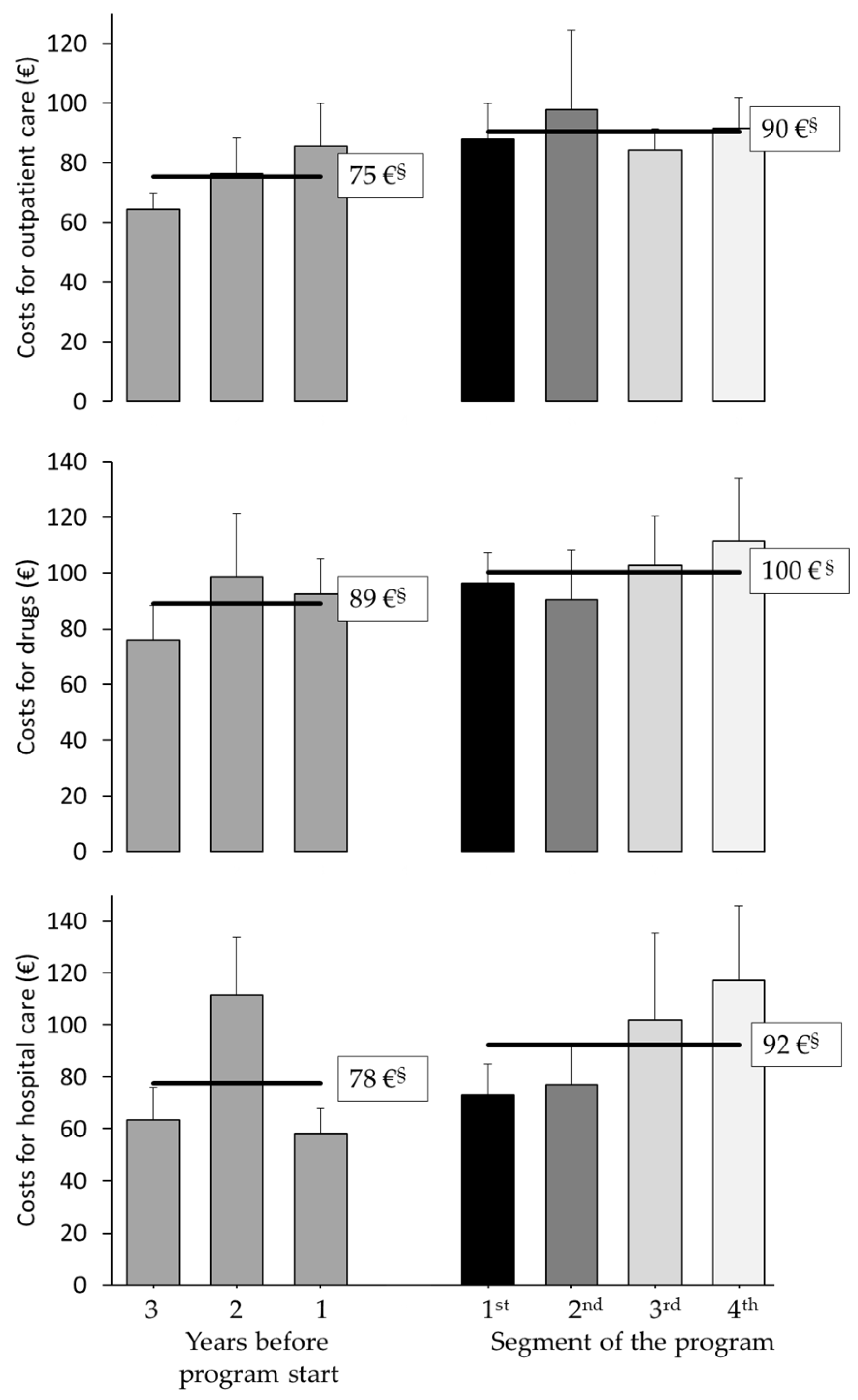
3.3. Exploratory Analysis of Healthcare Cost Changes over Time (Starting Three Years Before Program)
4. Discussion
5. Conclusions
Supplementary Materials
Author Contributions
Funding
Institutional Review Board Statement
Informed Consent Statement
Data Availability Statement
Acknowledgments
Conflicts of Interest
References
- Avila, C.; Holloway, A.C.; Hahn, M.K.; Morrison, K.M.; Restivo, M.; Anglin, R.; Taylor, V.H. An Overview of Links Between Obesity and Mental Health. Curr. Obes. Rep. 2015, 4, 303–310. [Google Scholar] [CrossRef]
- World Health Oganisation. Obesity. Available online: https://www.who.int/health-topics/obesity#tab=tab_1 (accessed on 25 October 2024).
- Teuner, C.M.; Menn, P.; Heier, M.; Holle, R.; John, J.; Wolfenstetter, S.B. Impact of BMI and BMI change on future drug expenditures in adults: Results from the MONICA/KORA cohort study. BMC Health Serv. Res. 2013, 13, 424. [Google Scholar] [CrossRef]
- Vidal, J. Updated review on the benefits of weight loss. Int. J. Obes. Relat. Metab. Disord. 2002, 26 (Suppl. S4), S25–S28. [Google Scholar] [CrossRef]
- Yumuk, V.; Tsigos, C.; Fried, M.; Schindler, K.; Busetto, L.; Micic, D.; Toplak, H. European Guidelines for Obesity Management in Adults. Obes. Facts 2015, 8, 402–424. [Google Scholar] [CrossRef]
- Deutsche Adipositas-Gesellschaft (DAG) e. v. S3-Leitlinie Adipositas—Prävention und Therapie. Available online: https://register.awmf.org/de/leitlinien/detail/050-001 (accessed on 16 July 2025).
- Wharton, S.; Lau, D.C.W.; Vallis, M.; Sharma, A.M.; Biertho, L.; Campbell-Scherer, D.; Adamo, K.; Alberga, A.; Bell, R.; Normand Boulé, N.; et al. Obesity in adults: A clinical practice guideline. Can. Med. Assoc. J. 2020, 192, E875–E891. [Google Scholar] [CrossRef] [PubMed]
- Swan, W.I.; Vivanti, A.; Hakel-Smith, N.A.; Hotson, B.; Orrevall, Y.; Trostler, N.; Howarter, K.B.; Papoutsakis, C. Nutrition Care Process and Model Update: Toward Realizing People-Centered Care and Outcomes Management. J. Acad. Nutr. Diet. 2017, 117, 2003–2014. [Google Scholar] [CrossRef] [PubMed]
- Kim, T.J.; von dem Knesebeck, O. Income and obesity: What is the direction of the relationship? A systematic review and meta-analysis. BMJ Open 2018, 8, e019862. [Google Scholar] [CrossRef] [PubMed]
- Lean, M.E.; Leslie, W.S.; Barnes, A.C.; Brosnahan, N.; Thom, G.; McCombie, L.; Peters, C.; Zhyzhneuskaya, S.; Al-Mrabeh, A.; Hollingsworth, K.G.; et al. Primary care-led weight management for remission of type 2 diabetes (DiRECT): An open-label, cluster-randomised trial. Lancet 2018, 391, 541–551. [Google Scholar] [CrossRef]
- Weimann, A.; Fischer, M.; Oberänder, N.; Prodehl, G.; Weber, N.; Andrä, M.; Krug, J.; Wallstabe, I.; Schiefke, I.; Bischoff, S.C. Willing to go the extra mile: Prospective evaluation of an intensified non-surgical treatment for patients with morbid obesity. Clin. Nutr. 2019, 38, 1773–1781. [Google Scholar] [CrossRef]
- Wexler, D.J.; Chang, Y.; Levy, D.E.; Porneala, B.; McCarthy, J.; Rodriguez Romero, A.; Goldman, V.; Copeland, P.M.; Steppel-Reznik, J.; Delahanty, L.M. Results of a 2-year lifestyle intervention for type 2 diabetes: The Reach Ahead for Lifestyle and Health-Diabetes randomized controlled trial. Obesity 2022, 30, 1938–1950. [Google Scholar] [CrossRef]
- Gregg, E.W.; Patorno, E.; Karter, A.J.; Mehta, R.; Huang, E.S.; White, M.; Patel, C.J.; McElvaine, A.T.; Cefalu, W.T.; Selby, J.; et al. Use of Real-World Data in Population Science to Improve the Prevention and Care of Diabetes-Related Outcomes. Diabetes Care 2023, 46, 1316–1326. [Google Scholar] [CrossRef]
- Frenzel, S.V.; Bach, S.; Ahrens, S.; Hellbardt, M.; Hilbert, A.; Stumvoll, M.; Fasshauer, M.; Schlögl, H. Ausweg aus der Versorgungslücke: Voll Krankenkassen-finanzierte konservative Adipositas-Therapie. Dtsch. Med. Wochenschr. 2020, 145, e78–e86. [Google Scholar] [CrossRef] [PubMed]
- Brähler, E.; Mühlan, H.; Albani, C.; Schmidt, S. Teststatistische Prüfung und Normierung der deutschen Versionen des EUROHIS-QOL Lebensqualität-Index und des WHO-5 Wohlbefindens-Index. Diagnostica 2007, 53, 83–96. [Google Scholar] [CrossRef]
- Löwe, B.; Kroenke, K.; Herzog, W.; Gräfe, K. Measuring depression outcome with a brief self-report instrument: Sensitivity to change of the Patient Health Questionnaire (PHQ-9). J. Affect. Disord. 2004, 81, 61–66. [Google Scholar] [CrossRef] [PubMed]
- Dietrich, A. Aktuelle S3-Leitlinie „Therapie der Adipositas und metabolischer Erkrankungen“. Allg.-Und Visz. Up2date 2019, 13, 111–121. [Google Scholar] [CrossRef]
- König, D.; Hörmann, J.; Predel, H.G.; Berg, A. A 12-Month Lifestyle Intervention Program Improves Body Composition and Reduces the Prevalence of Prediabetes in Obese Patients. Obes. Facts 2018, 11, 393–399. [Google Scholar] [CrossRef]
- Rudolph, A.; Hellbardt, M.; Baldofski, S.; de Zwaan, M.; Hilbert, A. Evaluation des einjährigen multimodalen Therapieprogramms DOC WEIGHT® 1.0 zur Gewichtsreduktion bei Patienten mit Adipositas Grad II und III. Psychother. Psychosom. Med. Psychol. 2016, 66, 316–323. [Google Scholar] [CrossRef]
- Schwalm, S.V.; Hilbert, A.; Stumvoll, M.; Striebel, R.; Sass, U.; Tiesler, U.; Kiess, W.; Alder, M.; Gausche, R.; Blüher, M.; et al. Das Leipziger Adipositasmanagement. Adipositas-Ursachen Folgeerkrankungen Ther. 2015, 09, 87–92. [Google Scholar]
- Matthews, D.R.; Hosker, J.P.; Rudenski, A.S.; Naylor, B.A.; Treacher, D.F.; Turner, R.C. Homeostasis model assessment: Insulin resistance and beta-cell function from fasting plasma glucose and insulin concentrations in man. Diabetologia 1985, 28, 412–419. [Google Scholar] [CrossRef]
- Curtin, F.; Schulz, P. Multiple correlations and Bonferroni’s correction. Biol. Psychiatry 1998, 44, 775–777. [Google Scholar] [CrossRef]
- Schwarz, G. Estimating the Dimension of a Model. Ann. Stat. 1978, 6, 461–464. [Google Scholar] [CrossRef]
- Holm, S. A Simple Sequentially Rejective Multiple Test Procedure. Scand. J. Stat. 1979, 6, 65–70. [Google Scholar]
- Bischoff, S.C.; Schweinlin, A. Obesity therapy. Clin Nutr ESPEN 2020, 38, 9–18. [Google Scholar] [CrossRef] [PubMed]
- Bray, G.A.; Heisel, W.E.; Afshin, A.; Jensen, M.D.; Dietz, W.H.; Long, M.; Kushner, R.F.; Daniels, S.R.; Wadden, T.A.; Tsai, A.G.; et al. The Science of Obesity Management: An Endocrine Society Scientific Statement. Endocr. Rev. 2018, 39, 79–132. [Google Scholar] [CrossRef] [PubMed]
- Ryan, D.H.; Yockey, S.R. Weight Loss and Improvement in Comorbidity: Differences at 5%, 10%, 15%, and Over. Curr. Obes. Rep. 2017, 6, 187–194. [Google Scholar] [CrossRef] [PubMed]
- Appel, L.J.; Clark, J.M.; Yeh, H.C.; Wang, N.Y.; Coughlin, J.W.; Daumit, G.; Miller, E.R., 3rd; Dalcin, A.; Jerome, G.J.; Geller, S.; et al. Comparative effectiveness of weight-loss interventions in clinical practice. N. Engl. J. Med. 2011, 365, 1959–1968. [Google Scholar] [CrossRef]
- American Diabetes Association Professional Practice Committee. 8. Obesity and Weight Management for the Prevention and Treatment of Type 2 Diabetes: Standards of Medical Care in Diabetes-2022. Diabetes Care 2022, 45, S113–S124. [Google Scholar] [CrossRef]
- Arnett, D.K.; Blumenthal, R.S.; Albert, M.A.; Buroker, A.B.; Goldberger, Z.D.; Hahn, E.J.; Himmelfarb, C.D.; Khera, A.; Lloyd-Jones, D.; McEvoy, J.W.; et al. 2019 ACC/AHA Guideline on the Primary Prevention of Cardiovascular Disease: A Report of the American College of Cardiology/American Heart Association Task Force on Clinical Practice Guidelines. Circulation 2019, 140, e596–e646. [Google Scholar] [CrossRef]
- Grundy, S.M.; Stone, N.J.; Bailey, A.L.; Beam, C.; Birtcher, K.K.; Blumenthal, R.S.; Braun, L.T.; de Ferranti, S.; Faiella-Tommasino, J.; Forman, D.E.; et al. 2018 AHA/ACC/AACVPR/AAPA/ABC/ACPM/ADA/AGS/APhA/ASPC/NLA/PCNA Guideline on the Management of Blood Cholesterol: A Report of the American College of Cardiology/American Heart Association Task Force on Clinical Practice Guidelines. Circulation 2019, 139, e1082–e1143. [Google Scholar]
- Authors/Task Force Members; ESC Committee for Practice Guidelines (CPG); ESC National Cardiac Societies. 2019 ESC/EAS guidelines for the management of dyslipidaemias: Lipid modification to reduce cardiovascular risk. Atherosclerosis 2019, 290, 140–205. [Google Scholar] [CrossRef]
- Ge, L.; Sadeghirad, B.; Ball, G.D.C.; da Costa, B.R.; Hitchcock, C.L.; Svendrovski, A.; Kiflen, R.; Quadri, K.; Kwon, H.Y.; Karamouzian, M.; et al. Comparison of dietary macronutrient patterns of 14 popular named dietary programmes for weight and cardiovascular risk factor reduction in adults: Systematic review and network meta-analysis of randomised trials. BMJ 2020, 369, m696. [Google Scholar] [CrossRef] [PubMed]
- Chandrasekhar, J.; Zaman, S. Associations Between C-Reactive Protein, Obesity, Sex, and PCI Outcomes: The Fat of the Matter. JACC Cardiovasc. Interv. 2020, 13, 2893–2895. [Google Scholar] [CrossRef] [PubMed]
- Ramos-Lopez, O.; Martinez-Urbistondo, D.; Vargas-Nuñez, J.A.; Martinez, J.A. The Role of Nutrition on Meta-inflammation: Insights and Potential Targets in Communicable and Chronic Disease Management. Curr. Obes. Rep. 2022, 11, 305–335. [Google Scholar] [CrossRef] [PubMed]
- McCarney, R.; Warner, J.; Iliffe, S.; van Haselen, R.; Griffin, M.; Fisher, P. The Hawthorne Effect: A randomised, controlled trial. BMC Med. Res. Methodol. 2007, 7, 30. [Google Scholar] [CrossRef]
- Kroenke, K. Enhancing the clinical utility of depression screening. Can. Med. Assoc. J. 2012, 184, 281–282. [Google Scholar] [CrossRef]
- Neri, L.D.C.L.; Mariotti, F.; Guglielmetti, M.; Fiorini, S.; Tagliabue, A.; Ferraris, C. Dropout in cognitive behavioral treatment in adults living with overweight and obesity: A systematic review. Front. Nutr. 2024, 11, 1250683. [Google Scholar] [CrossRef]
- Tremmel, M.; Gerdtham, U.-G.; Nilsson, P.M.; Saha, S. Economic Burden of Obesity: A Systematic Literature Review. Int. J. Env. Res. Public Health 2017, 14, 435. [Google Scholar] [CrossRef]
- Harrison, S.; Dixon, P.; Jones, H.E.; Davies, A.R.; Howe, L.D.; Davies, N.M. Long-term cost-effectiveness of interventions for obesity: A mendelian randomisation study. PLoS Med. 2021, 18, e1003725. [Google Scholar] [CrossRef]
- Xin, Y.; Davies, A.; McCombie, L.; Briggs, A.; Messow, C.M.; Grieve, E.; Leslie, W.S.; Taylor, R.; Lean, M.E.J. Within-trial cost and 1-year cost-effectiveness of the DiRECT/Counterweight-Plus weight-management programme to achieve remission of type 2 diabetes. Lancet Diabetes Endocrinol. 2019, 7, 169–172. [Google Scholar] [CrossRef]





Disclaimer/Publisher’s Note: The statements, opinions and data contained in all publications are solely those of the individual author(s) and contributor(s) and not of MDPI and/or the editor(s). MDPI and/or the editor(s) disclaim responsibility for any injury to people or property resulting from any ideas, methods, instructions or products referred to in the content. |
© 2025 by the authors. Licensee MDPI, Basel, Switzerland. This article is an open access article distributed under the terms and conditions of the Creative Commons Attribution (CC BY) license (https://creativecommons.org/licenses/by/4.0/).
Share and Cite
Frenzel, S.V.; Puls, H.-C.; Vogl, S.; Frölich, F.; Felten, H.; Schlenz, N.; Stumvoll, M.; Fasshauer, M.; Blüher, M.; Hilbert, A.; et al. Closing the Gap in Behavioral Weight Loss Therapy: Prospective Analysis of Clinical Real-World Data of a Four-Year Health Insurance-Financed Program. Obesities 2025, 5, 58. https://doi.org/10.3390/obesities5030058
Frenzel SV, Puls H-C, Vogl S, Frölich F, Felten H, Schlenz N, Stumvoll M, Fasshauer M, Blüher M, Hilbert A, et al. Closing the Gap in Behavioral Weight Loss Therapy: Prospective Analysis of Clinical Real-World Data of a Four-Year Health Insurance-Financed Program. Obesities. 2025; 5(3):58. https://doi.org/10.3390/obesities5030058
Chicago/Turabian StyleFrenzel, Sarah Victoria, Hans-Christian Puls, Susan Vogl, Franziska Frölich, Hannes Felten, Nicole Schlenz, Michael Stumvoll, Mathias Fasshauer, Matthias Blüher, Anja Hilbert, and et al. 2025. "Closing the Gap in Behavioral Weight Loss Therapy: Prospective Analysis of Clinical Real-World Data of a Four-Year Health Insurance-Financed Program" Obesities 5, no. 3: 58. https://doi.org/10.3390/obesities5030058
APA StyleFrenzel, S. V., Puls, H.-C., Vogl, S., Frölich, F., Felten, H., Schlenz, N., Stumvoll, M., Fasshauer, M., Blüher, M., Hilbert, A., & Schlögl, H. (2025). Closing the Gap in Behavioral Weight Loss Therapy: Prospective Analysis of Clinical Real-World Data of a Four-Year Health Insurance-Financed Program. Obesities, 5(3), 58. https://doi.org/10.3390/obesities5030058

