Postpartum Depression: The Role of Gestational Weight and Adiposity, Prenatal Cortisol, Socioeconomic Resources, and Breastfeeding
Abstract
1. Introduction
1.1. Cortisol
1.2. Prenatal Abdominal Circumference
1.3. Pre-Pregnancy BMI
1.4. Maternal Adjustment
1.5. Breastfeeding
1.6. Socioeconomic Resources
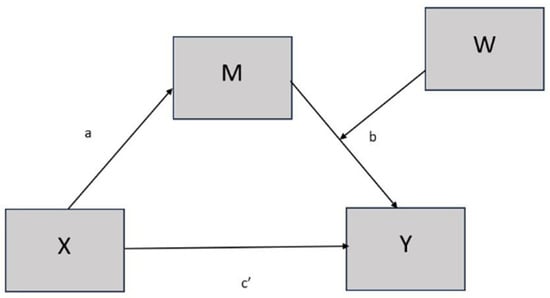
1.7. Proposed Model and Hypotheses
2. Materials and Methods
2.1. Participants
2.2. Recruitment and Screening
2.3. Procedures
2.4. Measures
2.4.1. Maternal Pre-Pregnancy BMI
2.4.2. Maternal Prenatal Abdominal Circumference
2.4.3. Cortisol Assays
2.4.4. Breastfeeding
2.4.5. Socioeconomic Resources
2.4.6. Depression Symptoms
2.4.7. Sociodemographic Descriptors
2.5. Statistical Analyses
3. Results
3.1. Descriptive Statistics
3.2. Primary Analyses
3.2.1. Moderated Mediation Model 1: PPBMI, CAR, BF Frequency, and Depression Symptoms
3.2.2. Moderated Mediation Model 2: PPBMI, AUCG, BF Frequency, and Depression Symptoms
3.2.3. Moderated Mediation Model 3: PPBMI, CAR, Socioeconomic Resources, and Depression Symptoms
3.2.4. Moderated Mediation Model 4: PPBMI, AUCG, Socioeconomic Resources, and Depression Symptoms
3.2.5. Moderated Mediation Model 5: Abdominal Waist Circumference, CAR, BF Frequency, and Depression Symptoms
3.2.6. Moderated Mediation Model 6: Abdominal Waist Circumference, AUCG, BF Frequency, and Depression Symptoms
3.2.7. Moderated Mediation Model 7: Abdominal Waist Circumference, CAR, Socioeconomic Resources, and Depression Symptoms
3.2.8. Moderated Mediation Model 8: Abdominal Waist Circumference, AUCG, Socioeconomic Resources, and Depression Symptoms
4. Discussion
Implications
5. Conclusions
Author Contributions
Funding
Institutional Review Board Statement
Informed Consent Statement
Data Availability Statement
Conflicts of Interest
Abbreviations
| PPD | Postpartum depression |
| BF | Breastfeeding frequency |
| PPBMI | Pre-pregnancy body mass index |
| AUCG | Area under the curve with respect to ground |
| CAR | Cortisol awakening response |
| ALM | Allostatic load model |
| ACM | Adaptive calibration model |
| HPA | Hypothalamic–pituitary–adrenal |
| BMI | Body mass index |
| EPDS | Edinburgh Postnatal Depression Scale |
References
- Del Giudice, M.; Ellis, B.J.; Shirtcliff, E.A. The adaptive calibration model of stress responsivity. Neurosci. Biobehav. Rev. 2011, 35, 1562–1592. [Google Scholar] [CrossRef] [PubMed]
- Rogers, S.L.; Hughes, B.A.; Tomlinson, J.W.; Blissett, J. Cortisol metabolism, postnatal depression and weight changes in the first 12 months postpartum. Clin. Endocrinol. 2016, 85, 881–890. [Google Scholar] [CrossRef] [PubMed]
- Fries, E.; Dettenborn, L.; Kirschbaum, C. The cortisol awakening response (CAR): Facts and Future Directions. Int. J. Psychophysiol. 2009, 72, 67–73. [Google Scholar] [CrossRef]
- Chida, Y.; Steptoe, A. Cortisol awakening response and psychosocial factors: A systematic review and meta-analysis. Biol. Psychol. 2009, 80, 265–278. [Google Scholar] [CrossRef] [PubMed]
- Darling, A.M.; Werler, M.M.; Cantonwine, D.E.; Fawzi, W.W.; McElrath, T.F. Timing and amount of gestational weight gain in association with adverse birth outcomes. Epidemiology 2019, 30, 695–705. [Google Scholar] [CrossRef]
- Aubuchon-Endsley, N.L.; Bublitz, M.H.; Stroud, L.R. Pre-pregnancy obesity and maternal circadian cortisol regulation: Moderation by gestational weight gain. Biol. Psychol. 2014, 102, 38–43. [Google Scholar] [CrossRef]
- Hammond, A.M. Body Mass Index, Breastfeeding Duration, and Cortisol Patterns among Low-Income Women. Master’s Thesis, California State University, Long Beach, CA, USA, 2021. [Google Scholar]
- Scheyer, K.; Urizar, G.G. Altered stress patterns and increased risk for postpartum depression among low-income pregnant women. Arch. Women’s Ment. Health 2016, 19, 317–328. [Google Scholar] [CrossRef]
- Urizar, G.G., Jr.; Yim, I.S.; Kofman, Y.B.; Tilka, N.; Miller, K.; Freche, R.; Johnson, A. Ethnic differences in stress-induced cortisol responses: Increased risk for depression during pregnancy. Biol. Psychol. 2019, 147, 107. [Google Scholar] [CrossRef]
- Ross, R.; Neeland, I.J.; Yamashita, S.; Shai, I.; Seidell, J.; Magni, P.; Després, J.P. Waist circumference as a vital sign in clinical practice: A Consensus Statement from the IAS and ICCR Working Group on Visceral Obesity. Nat. Rev. Endocrinol. 2020, 16, 177–189. [Google Scholar] [CrossRef]
- Wendland, E.M.; Duncan, B.B.; Mengue, S.S.; Nucci, L.B.; Schmidt, M.I. Waist circumference in the prediction of obesity-related adverse pregnancy outcomes. Cad. Saude Publica 2007, 23, 391–398. [Google Scholar] [CrossRef]
- Luiza, J.W.; Gallaher, M.J.; Powers, R.W. Urinary cortisol and depression in early pregnancy: Role of adiposity and race. BMC Pregnancy Childbirth 2015, 15, 30. [Google Scholar] [CrossRef] [PubMed]
- Olson, C.M. Achieving a healthy weight gain during pregnancy. Annu. Rev. Nutr. 2008, 28, 411–423. [Google Scholar] [CrossRef] [PubMed]
- Powell-Wiley, T.M.; Poirier, P.; Burke, L.E.; Després, J.P.; Gordon-Larsen, P.; Lavie, C.J.; American Heart Association Council on Lifestyle and Cardiometabolic Health; Council on Cardiovascular and Stroke Nursing; Council on Clinical Cardiology; Council on Epidemiology and Prevention and Stroke Council. Obesity and cardiovascular disease: A scientific statement from the American Heart Association. Circulation 2021, 143, 984–1010. [Google Scholar] [CrossRef]
- Van der Valk, E.S.; Van den Akker, E.L.; Savas, M.; Kleinendorst, L.; Visser, J.A.; Van Haelst, M.M.; van Rossum, E.F. A comprehensive diagnostic approach to detect underlying causes of obesity in adults. Obes. Rev. 2019, 20, 795–804. [Google Scholar] [CrossRef] [PubMed]
- Ogunwole, S.M.; Zera, C.A.; Stanford, F.C. Obesity management in women of reproductive age. JAMA 2021, 325, 433–434. [Google Scholar] [CrossRef]
- Dachew, B.A.; Ayano, G.; Betts, K.; Alati, R. The impact of pre-pregnancy BMI on maternal depressive and anxiety symptoms during pregnancy and the postpartum period: A systematic review and meta-analysis. J. Affect. Disord. 2021, 281, 321–330. [Google Scholar] [CrossRef]
- Ali, N.S.; Azam, I.S.; Ali, B.S.; Tabbusum, G.; Moin, S.S. Frequency and associated factors for anxiety and depression in pregnant women: A hospital-based cross-sectional study. Sci. World J. 2012, 2012, 34–45. [Google Scholar] [CrossRef]
- American Psychiatric Association. Diagnostic and Statistical Manual of Mental Disorders, 5th ed.; American Psychiatric Association: Arlington, VA, USA, 2013. [Google Scholar] [CrossRef]
- Dias, C.C.; Figueiredo, B. Breastfeeding and depression: A systematic review of the literature. J. Affect. Disord. 2015, 171, 142–154. [Google Scholar] [CrossRef]
- Pezley, L.; Cares, K.; Duffecy, J.; Koenig, M.D.; Maki, P.; Odoms-Young, A.; Buscemi, J. Efficacy of behavioral interventions to improve maternal mental health and breastfeeding outcomes: A systematic review. Int. Breastfeed. J. 2022, 17, 67. [Google Scholar] [CrossRef]
- Tu, M.T.; Lupien, S.J.; Walker, C.D. Diurnal salivary cortisol levels in postpartum mothers as a function of infant feeding choice and parity. Psychoneuroendocrinology 2006, 31, 812–824. [Google Scholar] [CrossRef]
- Mahmoodi, Z.; Dolatian, M.; Mirabzadeh, A.; Majd, H.A.; Moafi, F.; Ghorbani, M. The relationship between household socioeconomic status and mental health in women during pregnancy: A path analysis. Iran. J. Psychiatry Behav. Sci. 2017, 11, e8823. [Google Scholar] [CrossRef]
- Sun, J.; Qu, Q.; Yuan, Y.; Sun, G.; Kong, X.; Sun, W. Normal-weight abdominal obesity: A risk factor for hypertension and cardiometabolic dysregulation. Cardiol. Discov. 2022, 2, 13–21. [Google Scholar] [CrossRef]
- Riedstra, J.P.; Aubuchon-Endsley, N.L. A Moderated Mediation Model of Maternal Perinatal Stress, Anxiety, Infant Perceptions and Breastfeeding. Nutrients 2019, 11, 2981. [Google Scholar] [CrossRef]
- Butler, R.; McClinchy, J.; Morreale-Parker, C.; Marsh, W.; Rennie, K.L. BMI calculation in older people: The effect of using direct and surrogate measures of height in a community-based setting. Clin. Nutr. ESPEN 2017, 22, 112–115. [Google Scholar] [CrossRef]
- Centers for Disease Control and Prevention. National Health and Nutrition Examination Survey (Nhanes): Anthropometry Procedures Manual; Centers for Disease Control and Prevention: Atlanta, GA, USA, 2007; pp. 15–16.
- Chen, T.C.; Parker, J.D.; Clark, J.; Shin, H.C.; Rammon, J.R.; Burt, V.L. National health and nutrition examination survey: Estimation procedures, 2011–2014. Vital Health Stat. 2018, 177, 1–26. [Google Scholar]
- Hollingshead, A.B. Four factor index of social status. Yale J. Sociol. 1975, 8, 21–53. [Google Scholar]
- Cox, J.L.; Holden, J.M.; Sagovsky, R. Detection of postnatal depression: Development of the 10-item Edinburgh Postnatal Depression Scale. Br. J. Psychiatry 1987, 150, 782–786. [Google Scholar] [CrossRef] [PubMed]
- Brouwers, E.P.; van Baar, A.L.; Pop, V.J. Does the Edinburgh postnatal depression scale measure anxiety? J. Psychosom. Res. 2001, 51, 659–663. [Google Scholar] [CrossRef]
- Guedeney, N.; Fermanian, J. Validation study of the French version of the Edinburgh Postnatal Depression Scale (EPDS): New results about use and psychometric properties. Eur. Psychiatry 1998, 13, 83–89. [Google Scholar] [CrossRef]
- Hayes, A.F. Introduction to mediation, moderation, and conditional process analysis: A regression-based approach. In Methodology in the Social Sciences; Guilford Press: New York, NY, USA, 2013; Available online: http://libpublic3.library.isu.edu/login?url=http://search.ebscohost.com/login.aspx?direct=true&db=psyh&AN=2013-21121-000&site=eds-live&scope=sit (accessed on 15 March 2024).
- Faul, F.; Erdfelder, E.; Lang, A.-G.; Buchner, A. G*Power 3: A flexible statistical power analysis program for the social, behavioral, and biomedical sciences. Behav. Res. Methods 2007, 39, 175–191. [Google Scholar] [CrossRef]
- IBM Corp. IBM SPSS Statistics for Windows; Version 28.0; IBM Corp: Armonk, NY, USA, 2021. [Google Scholar]
- Cunha, M.C.M.; Coutinho, E.C.; Pereira, C.M.F.; Chaves, C.M.B.; Nelas, P.A.B.; Amaral, O.P.; Cabral, L.R. The evidence-based practice: Breastfeeding as a preventive factor for postpartum depression. In Computer Supported Qualitative Research: Second International Symposium on Qualitative Research (ISQR 2017); Springer International Publishing: Cham, Switzerland, 2018; pp. 121–130. [Google Scholar]
- Hahn-Holbrook, J.; Haselton, M.G.; Dunkel Schetter, C.; Glynn, L.M. Does BF offer protection against maternal depressive symptomatology? A prospective study from pregnancy to 2 years after birth. Arch. Women’s Ment. Health 2013, 16, 411–422. [Google Scholar] [CrossRef]
- Islam, M.R.; Moinuddin, M.; Saqib, S.M.; Rahman, S.M. Relationship of anthropometric indicators of general and abdominal obesity with hypertension and their predictive performance among Albanians: A nationwide cross-sectional study. Nutrients 2021, 13, 3373. [Google Scholar] [CrossRef] [PubMed]
- Seth, S.; Lewis, A.J.; Galbally, M. Perinatal maternal depression and cortisol function in pregnancy and the postpartum period: A systematic literature review. BMC Pregnancy Childbirth 2016, 16, 124. [Google Scholar] [CrossRef]
- O’keane, V.; Lightman, S.; Patrick, K.; Marsh, M.; Papadopoulos, A.S.; Pawlby, S.; Moore, R. Changes in the maternal hypothalamic-pituitary-adrenal axis during the early puerperium may be related to the postpartum ‘blues’. J. Neuroendocrinol. 2011, 23, 1149–1155. [Google Scholar] [CrossRef] [PubMed]
- Karin, O.; Raz, M.; Tendler, A.; Bar, A.; Korem Kohanim, Y.; Milo, T.; Alon, U. A new model for the HPA axis explains dysregulation of stress hormones on the timescale of weeks. Mol. Syst. Biol. 2020, 16, e9510. [Google Scholar] [CrossRef]
- Kinlein, S.A.; Wilson, C.D.; Karatsoreos, I.N. Dysregulated hypothalamic–pituitary–adrenal axis function contributes to altered endocrine and neurobehavioral responses to acute stress. Front. Psychiatry 2015, 6, 31. [Google Scholar] [CrossRef] [PubMed]
- Hohman, E.E.; Smyth, J.M.; McNitt, K.M.; Pauley, A.M.; Symons Downs, D.; Savage, J.S. Urinary cortisol is lower in pregnant women with higher pre-pregnancy BMI. Front. Endocrinol. 2023, 13, 1014574. [Google Scholar] [CrossRef]
- Zeng, Z.; Liu, F.; Li, S. Metabolic adaptations in pregnancy: A review. Ann. Nutr. Metab. 2017, 70, 59–65. [Google Scholar] [CrossRef]
- Scott, L.L.; Endsley, N.A. Maternal pre-pregnancy body mass index and prenatal sugar consumption pre-dict gestational weight gain and/or postpartum mental health in a Health Professional Shortage Area. J. Ment. Health Soc. Behav. 2021, 3. [Google Scholar] [CrossRef]
- Balbi, C.; D’Ajello, M.; Acerra, M. Blood cortisol and puerperal depression. Arch. Ostet. Ginecol. 1980, 85, 199–202. [Google Scholar]
- Sadeghi-Bahmani, D.; Brand, S.; Meinlschmidt, G.; Tegethoff, M.; Kurath, J.; Bürki, N.; Mikoteit, T. Prepartal Stress, Prepartal and Postpartal Hair Glucocorticoid Concentrations, and Symptoms of Postpartum Depression 3 Days and 12 Weeks After Delivery. Biol. Psychiatry Glob. Open Sci. 2025, 5, 100454. [Google Scholar] [CrossRef] [PubMed]
- Maguet, C.; Downes, N.; Marr, K.; Sutter-Dallay, A.L.; Galéra, C.; Wallez, S.; van der Waerden, J. Hair cortisol concentrations across pregnancy and maternal postpartum depressive symptoms-The ELFE cohort. J. Psychiatr. Res. 2024, 178, 305–312. [Google Scholar] [CrossRef] [PubMed]

| Sample Characteristics | N/% | M | SD |
|---|---|---|---|
| Age (years) | 27.29 yrs | 4.02 yrs | |
| Ethnicity | |||
| White/Caucasian | 90/94 | ||
| Black/African American | 2/2 | ||
| Native Hawaiian or Other Pacific Islander | 2/2 | ||
| American Indian/Alaska Native | 1/1 | ||
| Hispanic/Latino | 16/14 | ||
| Asian | 1/1 | ||
| Other | 5/5 | ||
| Marital Status | |||
| Married | 80/84 | ||
| Single/Never Married | 10/10 | ||
| Divorced | 1/1 | ||
| Committed Relationship | 3/3 | ||
| Engaged | 1/1 | ||
| Annual Familial Income | |||
| Less than USD 5000 | 1/1 | ||
| USD 5000–USD 9000 | 2/2 | ||
| USD 10,000–USD 19,999 | 14/15 | ||
| USD 20,000–USD 29,999 | 15/17 | ||
| USD 30,000–USD 39,999 | 11/13 | ||
| USD 40,000–USD 49,999 | 8/9.8 | ||
| USD 50,000–USD 74,999 | 27/28.3 | ||
| USD 75,000–USD 99,999 | 6/7.6 | ||
| USD 100,000 or greater | 5/6.5 | ||
| Postpartum Total EPDS Raw Score | 4.54 | 3.66 | |
| PPBMI (kg/m2) | 27.5 kg/m2 | 8.02 kg/m2 | |
| Abdominal Circumference (in) | 46.46 in | 5.39 in | |
| BF Frequency per Day (6 months) | 4.67 | 3.70 | |
| Social Prestige | 3.35 | 0.97 | |
| AUCg (μg/dL) | 181.20 μg/dL | 21.87 μg/dL | |
| CAR (μg/dL) | 0.1276 μg/dL | 0.018 μg/dL |
| Model | X (Predictor) | M (Mediator) | W (Moderator) | Significant Associations |
|---|---|---|---|---|
| 1 | PPBMI | CAR | BF Frequency | None |
| 2 | PPBMI | AUCG | BF Frequency | Main Association—BF AUCG × BF |
| 3 | PPBMI | CAR | Socioeconomic Resources | Socioeconomic Resources |
| 4 | PPBMI | AUCG | Socioeconomic Resources | None |
| 5 | Abdominal Circumference | CAR | BF Frequency | None |
| 6 | Abdominal Circumference | AUCG | BF Frequency | AUCG Main Association—BF AUCG × BF |
| 7 | Abdominal Circumference | CAR | Socioeconomic Resources | Socioeconomic Resources |
| 8 | Abdominal Circumference | AUCG | Socioeconomic Resources | None |
Disclaimer/Publisher’s Note: The statements, opinions and data contained in all publications are solely those of the individual author(s) and contributor(s) and not of MDPI and/or the editor(s). MDPI and/or the editor(s) disclaim responsibility for any injury to people or property resulting from any ideas, methods, instructions or products referred to in the content. |
© 2025 by the authors. Licensee MDPI, Basel, Switzerland. This article is an open access article distributed under the terms and conditions of the Creative Commons Attribution (CC BY) license (https://creativecommons.org/licenses/by/4.0/).
Share and Cite
Kurien, J.; Aubuchon-Endsley, N.L. Postpartum Depression: The Role of Gestational Weight and Adiposity, Prenatal Cortisol, Socioeconomic Resources, and Breastfeeding. Obesities 2025, 5, 38. https://doi.org/10.3390/obesities5020038
Kurien J, Aubuchon-Endsley NL. Postpartum Depression: The Role of Gestational Weight and Adiposity, Prenatal Cortisol, Socioeconomic Resources, and Breastfeeding. Obesities. 2025; 5(2):38. https://doi.org/10.3390/obesities5020038
Chicago/Turabian StyleKurien, Jasmin, and Nicki L. Aubuchon-Endsley. 2025. "Postpartum Depression: The Role of Gestational Weight and Adiposity, Prenatal Cortisol, Socioeconomic Resources, and Breastfeeding" Obesities 5, no. 2: 38. https://doi.org/10.3390/obesities5020038
APA StyleKurien, J., & Aubuchon-Endsley, N. L. (2025). Postpartum Depression: The Role of Gestational Weight and Adiposity, Prenatal Cortisol, Socioeconomic Resources, and Breastfeeding. Obesities, 5(2), 38. https://doi.org/10.3390/obesities5020038

