Next Article in Journal
Control Algorithm for an Inverter-Based Virtual Synchronous Generator with Adjustable Inertia
Previous Article in Journal
Heat Transfer Analysis in a Channel Mounted with In-Line Downward-Facing and Staggered Downward-Facing Notched Baffles
 
 
Font Type:
Arial Georgia Verdana
Font Size:
Aa Aa Aa
Line Spacing:
Column Width:
Background:
Article

Eco-Efficient Alkali-Activated Slag–Fly Ash Mixtures for Enhanced Early Strength and Restoration of Degraded Sites

by
Mahmoud Abo El-Wafa
Department of Civil and Environmental Engineering, Faculty of Engineering at Rabigh, King Abdulaziz University, Rabigh 21911, Saudi Arabia
Eng 2025, 6(9), 230; https://doi.org/10.3390/eng6090230
Submission received: 21 June 2025 / Revised: 5 August 2025 / Accepted: 3 September 2025 / Published: 5 September 2025
(This article belongs to the Section Chemical, Civil and Environmental Engineering)

Abstract

This study explores the early-age performance of eco-efficient alkali-activated slag–fly ash (AASF) mixtures using high-calcium fly ash (HCFA) and low-calcium fly ash (LCFA) at varying alkali activator-to-slag cement (AL/SC) ratios (15%, 20%, and 25%) under steam, water, and ambient curing conditions. Mix designs were developed with a fixed water-to-slag cement ratio of 50%, while fly ash partially replaced fine aggregate at a 20% substitution level. Fresh and hardened properties were investigated. The results revealed that increasing the AL/SC ratio led to reduced workability and increased flow loss, especially in HCFA mixtures, due to their higher calcium content and finer particle size, which promoted early stiffening. In contrast, LCFA mixtures exhibited greater slump flow and better workability retention owing to their slower dissolution rate. Regarding compressive strength, steam curing produced the highest performance. At 25% AL/SC, HCFA mixtures achieved 70 MPa at 28 days, while LCFA mixtures reached 68 MPa. Water curing showed moderate strength development, whereas ambient curing resulted in slower gains. These findings emphasize the influence of fly ash type, AL/SC ratio, and various curing conditions in enhancing the performance of eco-efficient AASF mixtures.

Graphical Abstract

1. Introduction

The global transition toward environmentally sustainable construction practices has driven an increasing shift away from the traditional Portland cement (OPC), which is associated with high carbon dioxide emissions and energy-intensive manufacturing processes.
In response, alkali-activated materials have emerged as promising low-carbon alternatives, primarily due to their ability to utilize industrial by-products such as fly ash and slag, thereby significantly reducing greenhouse gas emissions and conserving natural resources. Recent advancements in alkali-activated materials have demonstrated their potential as sustainable alternatives to conventional Portland cement mixtures.
El Wafa and Fukuzawa [1] investigated the use of fly ash as a partial substitute for fine aggregate in alkali-activated municipal slag mixtures, highlighting improvements in strength and sustainability. In a related study, they reported that early-age strength development was significantly influenced by the mix design and precursor reactivity in slag–fly ash-based geopolymer mortar mixtures [2]. These findings form a foundational basis for enhancing eco-efficient mixtures for practical applications.
Among the key parameters influencing alkali-activated slag–fly ash mixtures, the fly ash-to-slag ratio and activator concentration play a central role in controlling workability, setting behavior, and strength development [3,4]. The rheological behavior and setting time are highly sensitive to changes in precursor composition and activator chemistry. Dai et al. [5] confirmed that the presence of different retarders in sodium silicate–activated slag systems can alter early structural build-up and geopolymerization kinetics. In fly ash–slag blends, viscoelastic behavior and time-dependent deformation also differ from conventional cement pastes, requiring tailored design strategies [6].
Maria et al. [7] demonstrated that increasing fly ash content generally improves flowability but may compromise early compressive strength unless appropriate admixtures are used. The source, surface area, and chemical composition of fly ash significantly influence fresh and hardened properties, as explained by Yanru et al. [8], especially when using diverse industrial by-products. Additionally, Osama [9] provided a comprehensive review on the effects of curing regime and alkaline activator dosage, concluding that strength performance is highly dependent on binder composition and exposure conditions.
Hilal et al. [10] emphasized that steam curing enhances early mechanical strength and refines pore structure, particularly in mixtures with high-calcium fly ash. On the other hand, ambient curing may support long-term pozzolanic reactions but often delay strength gain. This is consistent with observations by Fu et al. [11], who reported that the hydration products and microstructure evolution in alkali-activated slag systems vary significantly with temperature, influencing early strength and durability.
When high-fly-ash-content mixtures are cured at room temperature, the reaction rate slows, yet satisfactory strength can still be achieved if the activator dosage is adequately adjusted, as explained in the study by Zhu et al. [12]. Moreover, response surface modeling by Jun et al. [13] helped identify optimal mixture proportions, highlighting nonlinear interactions between mix variables. Reviews by Zhang et al. [14] and Morteza et al. [15] have further clarified that the curing temperature and pre-treatment of raw materials can substantially improve binder performance.
In addition to strength and workability, setting time and stiffness development at early ages are critical for practical applications. Ali et al. [16] found that the solution-to-binder ratio and overall alkalinity are strong determinants of early setting and structural integrity in slag–fly ash binders.
Collectively, these studies underscore the necessity for a balanced mix design that considers fly ash reactivity, slag content, and curing method to tailor performance outcomes.
The present study experimentally investigates the combined effects of fly ash type (HCFA and LCFA), alkali activator dosage (AL/SC: 15%, 20%, 25%), and curing regime (steam, water, ambient) on the workability and early-age strength performance of alkali-activated slag–fly ash (AASF) mixtures. The aim of this study is to enhance these eco-efficient mixtures for high-performance applications in sustainable construction and the restoration of environmentally degraded sites.

2. Materials and Methods

2.1. Components Properties and Mix Proportions

The chemical composition and physical properties of slag cement (SC), high-calcium fly ash (HCFA), and low-calcium fly ash (LCFA) are summarized in Table 1. Slag cement, sourced from municipal waste, was used as the primary binder, replacing conventional Portland cement to enhance environmental sustainability. HCFA and LCFA, derived from the combustion of various coal types in power plants, were incorporated as partial replacements for fine aggregate to evaluate their impact on performance.
The chemical composition of the slag cement and both types of fly ash (HCFA and LCFA) was determined using X-ray fluorescence (XRF) analysis. Loss on ignition (LOI) was measured by heating the samples at 950 °C for 1 h in a muffle furnace. The specific surface area was obtained using the Blaine air permeability method, while the average particle size distribution was measured by laser diffraction analysis using a particle size analyzer.
The detailed mix proportions of all alkali-activated slag–fly ash mixtures are presented in Table 2, encompassing various combinations of fly ash types and alkali activator-to-slag cement (AL/SC) ratios. Two types of fly ash—high-calcium (HCFA) and low-calcium (LCFA)—were used across three AL/SC levels, 15%, 20%, and 25%, under three different curing regimes (steam, water, and ambient). These combinations were developed to systematically investigate the influence of both activator content and fly ash type on the early-age mechanical properties of AASF mixtures. The proportions were determined based on a fixed water-to-slag cement (W/SC) ratio of 50%, maintaining consistency across all mixtures. The slag cement (SC) content was kept constant at 600 kg/m3, and the alkali activator (AL) was adjusted according to the desired AL/SC ratios, yielding 90, 120, and 150 kg/m3 for 15%, 20%, and 25%, respectively. Fly ash was used at a fixed FA/S ratio of 20%, substituting part of the fine aggregate (S), which was kept constant at 1000 kg/m3, leading to a consistent FA mass of 200 kg/m3. Water was added at 300 kg/m3, satisfying the W/SC ratio and ensuring workability across all mixes. These values match exactly those shown in Table 2. Sodium Meta-Silicate (Na2SiO3) white fine particles were utilized as an alkali-activator (AL). The quantity percentage of Silicon dioxide “SiO2” to Na2O of the Sodium oxide was 1.0 (SiO2 = 50.0% and Na2O = 50.0%) [1,2]. Crushed sandstone was used as the fine aggregate (S) in this study, with a specific gravity of 2.58 and a fineness modulus of 2.83. It was selected due to its compliance with grading requirements and its wide availability for use in the prepared mixtures. The water/slag cement (W/SC) ratio of 50.0% were used and kept the same for all the mixtures to maintain uniform mix behavior and materials performance.

2.2. Sample Preparation and Test Methods Procedure

In this study, slag cement (SC) was employed as the main binder material, entirely replacing ordinary Portland cement (OPC) to promote environmentally sustainable construction practices. Fly ash (FA) was introduced in two different forms, high-calcium (HCFA) and low-calcium (LCFA), as a partial substitution for the fine aggregate (S) at a consistent replacement ratio of 20% by weight (FA/S). This substitution was intended to assess the influence of FA type on the fresh and early-age hardened properties of the composite mixes.
The water-to-slag cement (W/SC) ratio was maintained at a constant value of 50% across all mixtures to ensure comparability. Meanwhile, the alkali activator-to-slag cement (AL/SC) ratio was adjusted at three levels, 15%, 20%, and 25%, to evaluate its role in governing workability and strength development. Sodium metasilicate (Na2SiO3), in the form of a fine white powder, was utilized as the alkali activator (AL), and natural crushed sandstone was used as the fine aggregate (S).
All dry materials, including slag cement, fly ash, alkali activator, and fine aggregate, were thoroughly blended in a mechanical pan mixer for approximately 90 s to ensure uniform distribution of all solid constituents. Following this initial mixing phase, a premeasured quantity of water was gradually introduced while mixing continued for an additional 90 s, resulting in a homogenous and workable mixture. The freshly prepared mixtures were immediately tested for slump flow using a flow table in accordance with the standard of JIS A 1150-JSA 2014 [17]. Following the fresh property assessment, the mixtures were carefully cast into standard cylindrical molds with dimensions of 50 × 100 mm2 to evaluate their hardened properties, particularly compressive strength in accordance with the standard of JIS A1108-JSA 2006a [18]. The cast specimens were then initially cured in a controlled environment maintained at 20 ± 1 °C and 65 ± 5% relative humidity and covered with plastic sheets to minimize moisture loss and ensure uniform hydration during the first 24 h.
Three curing regimes were implemented: steam, water, and ambient curing. For steam curing, specimens were transferred to a steam chamber one hour after casting. The steam curing regime was designed to simulate accelerated field curing conditions often used in precast and time-sensitive construction.
Figure 1 shows a schematic outline of the steam curing process. The gradual increase to 65 °C minimizes thermal shock and ensures uniform activation of the alkali system, while the 5-h hold at peak temperature promotes early geopolymerization and strength development. This approach aligns with methods adopted in prior studies to enhance early-age performance of alkali-activated systems [1,2]. After 24 h, all samples were demolded and stored under controlled laboratory conditions until testing.
Water-cured specimens were submerged in a curing tank, while ambient-cured specimens remained in a curing room at controlled temperature and humidity conditions. Fresh properties were assessed using flow tests, including initial flow and flow loss measurements taken after 15 min using a flow table in accordance with the standard of JIS A 1150-JSA 2014 [17].
Compressive strength was measured at 1, 3, 7, and 28 days using a calibrated universal testing machine, ensuring accurate specimen alignment and uniform load distribution across the surface. For these tests, cylindrical specimens with dimensions of 50 × 100 mm2 were used, following the standard of JIS A1108-JSA 2006a [18].
All tests were conducted in triplicate using materials from consistent batches to reflect data dispersion and ensure the reliability of the experimental results.
Figure 2 illustrates a schematic overview of the sample preparation process and experimental methodology.

3. Results and Discussion

3.1. Slump Flow and Flow Loss

Figure 3 illustrates the slump flow behavior of alkali-activated slag–fly ash mixtures incorporating either high-calcium fly ash (HCFA) or low-calcium fly ash (LCFA) at varying AL/SC ratios (15%, 20%, and 25%). A consistent trend is evident where LCFA-based mixtures exhibited substantially higher slump flow values compared to HCFA-based ones across all AL/SC ratios, indicating superior workability.
The initial slump flow measurements at an AL/SC ratio of 15% showed that the LCFA mixture achieved the highest value of approximately 260 mm, while the HCFA counterpart recorded around 240 mm. As the AL/SC ratio increased to 20% and 25%, the slump flow decreased to 240 mm and 195 mm for LCFA, and to 220 mm and 180 mm for HCFA, respectively.
After 15 min, the slump flow further declined across all mixtures. At 15% AL/SC, LCFA recorded 235 mm compared to 210 mm for HCFA. At 25% AL/SC, values dropped to 165 mm and 150 mm for LCFA and HCFA, respectively.
These results confirm that increasing the AL/SC ratio reduces workability regardless of fly ash type, due to the higher activator solids content increasing system viscosity and impeding particle dispersion. Additionally, the inherently higher calcium content and finer particles in HCFA accelerate early geopolymer reactions and stiffening, resulting in lower flow spread. Conversely, the slower dissolution of LCFA improves fluidity and delays setting.
These findings align with earlier studies [3,4], which demonstrated that high calcium content in fly ash and increased alkali content adversely affect workability. Therefore, selecting appropriate AL/SC ratios and types of fly ash is essential for achieving either high flowability or controlled setting rates.
Figure 4 illustrates the flow loss behavior of alkali-activated slag–fly ash mixtures containing either high-calcium fly ash (HCFA) or low-calcium fly ash (LCFA) at three AL/SC ratios: 15%, 20%, and 25%. The results show a consistent trend of increasing flow loss with higher AL/SC ratios for both types of fly ash.
For instance, HCFA mixtures exhibited more pronounced flow loss, increasing from approximately 12% at 15% AL/SC to 14% at 20%, and reaching 17% at 25%. In contrast, LCFA mixtures demonstrated better workability retention, with flow loss rising from 9% at 15%, to 12% at 20%, and 15% at 25% AL/SC ratios.
This behavior aligns with the known effect of activator content and fly ash type on mixture rheology. HCFA, with its higher calcium content and finer particles, leads to rapid geopolymerization and early stiffening, which exacerbates flow loss. Conversely, LCFA’s slower reaction kinetics and coarser texture help preserve fluidity over time. These outcomes are consistent with findings and report that the higher alkali dosages and high-calcium precursors accelerate setting and increase viscosity, resulting in reduced flow retention [6,7].

3.2. Compressive Strength Development

3.2.1. Impact of High- and Low-Calcium Fly Ash

Figure 5 presents the compressive strength development of slag–fly ash mixtures incorporating either high-calcium fly ash (HCFA) or low-calcium fly ash (LCFA) at AL/SC ratios of 15%, 20%, and 25% under three curing regimes: steam curing (Figure 5a), water curing (Figure 5b), and ambient curing (Figure 5c), assessed at 1, 3, 7, and 28 days.
Across all conditions, compressive strength increased with curing time and higher AL/SC ratios.
Under steam curing conditions (Figure 5a), the HCFA mixtures exhibited significantly higher early-age compressive strength compared to LCFA mixtures. For example, at day 1, HCFA with an AL/SC ratio of 25% reached approximately 62 MPa and increased to 70 MPa by day 28. In contrast, LCFA mixtures at the same AL/SC ratio achieved 60 MPa at day 1 and rose to 68 MPa at day 28. This highlights the superior reactivity of HCFA under steam curing conditions, promoting rapid geopolymerization and strength gain.
In water curing conditions (Figure 5b), HCFA mixtures also demonstrated better strength development. At an AL/SC ratio of 25%, the compressive strength increased from approximately 38 MPa at day 1 to 67 MPa by day 28, while LCFA mixtures rose from around 36 MPa to 65 MPa over the same period. However, the strength gain was more gradual compared to steam curing, reflecting the slower reaction kinetics associated with water-based curing conditions.
In the ambient curing conditions (Figure 5c), the strength difference between HCFA and LCFA mixtures was more pronounced at early ages. For example, HCFA mixtures with 25% AL/SC showed of around 34 MPa at day 1 and of about 64 MPa at day 28, while LCFA mixtures achieved only 32 MPa at day 1 and 62 MPa at day 28.
These results highlight that steam curing is the most effective for achieving rapid early strength, making it ideal for precast and time-sensitive construction. HCFA mixtures consistently outperformed LCFA in early-age strength, particularly under steam and water curing, due to higher calcium content and faster reaction kinetics. LCFA mixtures, while slower in early performance, demonstrated reliable long-term strength gain, especially under water and ambient curing. These findings align with prior literature, which reported enhanced strength development in alkali-activated mixtures with higher activator dosages and calcium-rich fly ash under thermal curing regimes [10].

3.2.2. Impact of Varying Activator-to-Slag Ratio

Figure 6 illustrates the compressive strength development of alkali-activated slag–fly ash mixtures containing high-calcium fly ash (HCFA) and low-calcium fly ash (LCFA) at varying activator-to-slag cement (AL/SC) ratios of 15%, 20%, and 25%, under three curing regimes, steam curing (Figure 6a), water curing (Figure 6b), and ambient curing (Figure 6c), evaluated at 1, 3, 7, and 28 days.
Across all conditions, increasing the AL/SC ratio resulted in notable strength gains, particularly evident at early curing ages.
Under steam curing conditions (Figure 6a), the mixtures incorporating HCFA exhibited the highest early-age strengths compared to LCFA mixtures. For instance, at an AL/SC ratio of 25%, compressive strength reached approximately 62 MPa on day 1 and increased to 70 MPa by day 28. In contrast, LCFA mixtures at the same AL/SC ratio recorded 60 MPa at day 1 and rose to 68 MPa at day 28. This demonstrates the superior reactivity of HCFA under steam curing conditions, promoting rapid geopolymerization and strength gain.
In water curing conditions (Figure 6b), the trend of increased strength with higher AL/SC ratios persisted but developed more gradually. At AL/SC 25%, HCFA-based mixtures achieved around 67 MPa at 28 days, while LCFA-based mixtures reached approximately 65 MPa. The 1-day strength values were significantly lower, ranging between 38 MPa for HCFA and 36 MPa for LCFA mixtures, underscoring the slower kinetics in aqueous curing.
Under ambient curing conditions (Figure 6c), strength development was the slowest yet still showed consistent improvement with increasing AL/SC ratio. HCFA mixtures with 25% AL/SC attained a 28-day compressive strength of around 64 MPa, compared to 62 MPa for LCFA mixtures. Notably, the gap between HCFA and LCFA was more evident at earlier ages, with day-1 strengths of about 34 MPa (HCFA) versus 32 MPa (LCFA), emphasizing the role of calcium content in early geopolymer formation.
Overall, the data confirm that increasing the AL/SC ratio significantly enhances compressive strength across all curing regimes, with steam curing providing the most effective environment for early-age strength development. HCFA consistently outperformed LCFA due to its higher calcium content and faster reactivity. These findings support previous research highlighting the synergistic effects of thermal activation and calcium-rich fly ash precursors in enhancing the performance of alkali-activated mixtures [1,2].

3.2.3. Impact of Curing Age and Various Curing Conditions

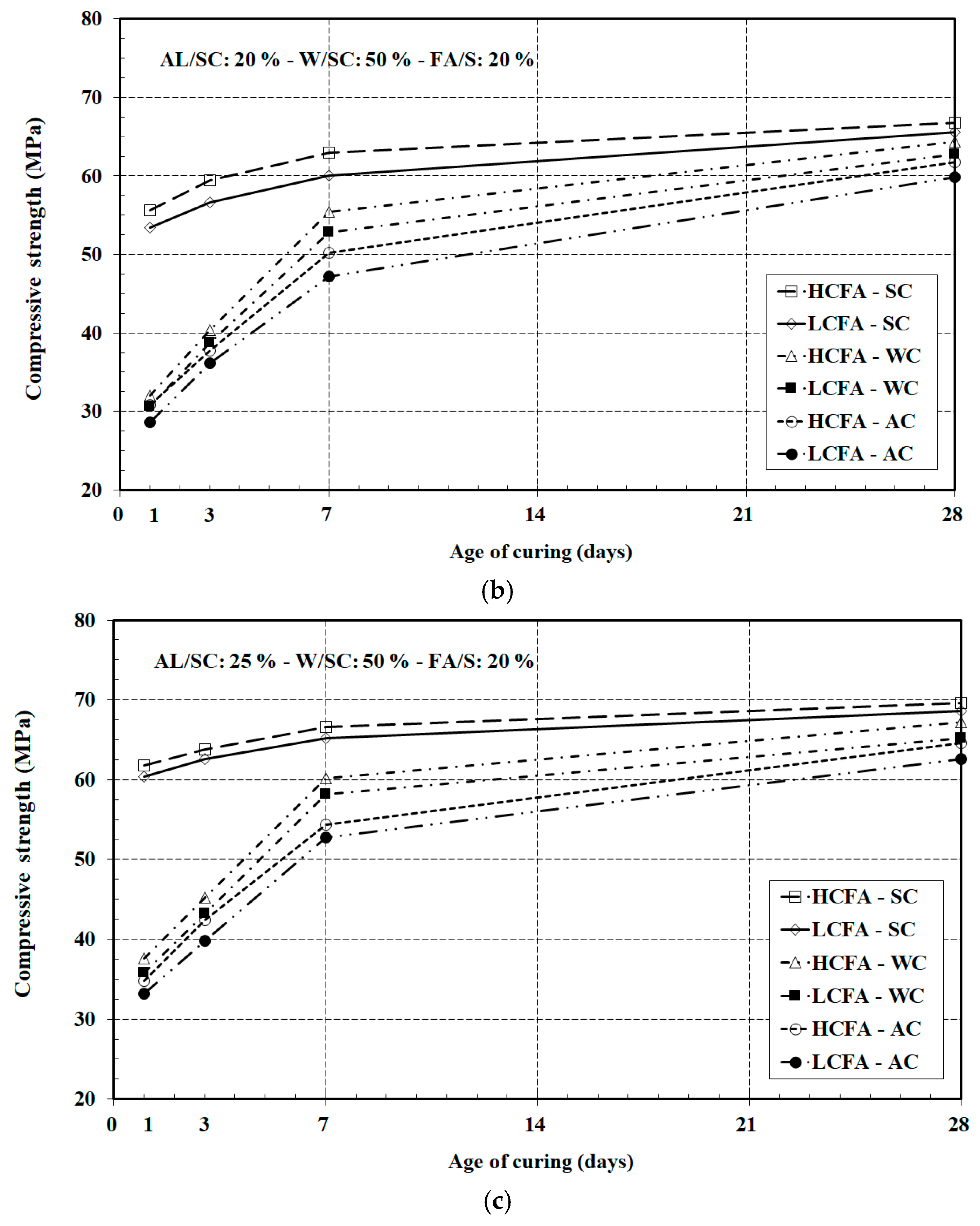
Figure 7 presents the compressive strength development of alkali-activated slag–fly ash mixtures containing high-calcium fly ash (HCFA) and low-calcium fly ash (LCFA) at different curing ages (1, 3, 7, and 28 days), under three curing conditions, steam curing (SC), water curing (WC), and ambient curing (AC), at varying AL/SC ratios of: (a) 15%, (b) 20%, and (c) 25%.
At AL/SC ratio of 15% (Figure 7a), the strength values at early ages (day 1) of HCFA mixtures under steam curing SC reached approximately (49 MPa), outperforming WC of around (28 MPa) and AC of about (26 MPa). LCFA mixtures exhibited lower strengths across all conditions, with values of (46 MPa) SC, (26 MPa) WC, and (24 MPa) AC at day 1. By day 28, HCFA mixtures SC peaked to (64 MPa), followed by WC (60 MPa) and AC (56 MPa). The results show that steam curing significantly enhances early and later strength, particularly for HCFA.
At AL/SC ratio of 20% (Figure 7b), the strength development accelerated with increased activator content. At day 1, HCFA mixtures SC reached to (56 MPa), rising to (67 MPa) by day 28. WC and AC followed similar trends but at lower levels: (32 MPa) WC and (30 MPa) AC on day 1; (64 MPa) WC and (62 MPa) AC on day 28. LCFA-based mixes reached (53 MPa) SC, (30 MPa) WC, and (28 MPa) AC at day 1, and achieved (66 MPa), (62 MPa), and (60 MPa), respectively, at 28 days. This highlights the effect of calcium content in fly ash and the influence of curing temperature on strength progression.
At AL/SC ratio of 25% (Figure 7c), the maximum strength values were observed at this ratio across all curing regimes. The strength values of HCFA mixtures under steam curing achieved (62 MPa) on day 1 and (70 MPa) on day 28. LCFA mixtures, while slightly behind, reached (60 MPa) on day 1 and (68 MPa) on day 28. In water curing, HCFA achieved (38 MPa) on day 1 and (67 MPa) on 28 days, while LCFA recorded (36 MPa) on day 1 and (65 MPa) on day 28. Under ambient conditions, HCFA and LCFA showed at day 1 strengths of (35 MPa) and (33 MPa), respectively, with final strengths at day 28 of (64 MPa) and (62 MPa). These trends confirm that various curing conditions and age significantly affect strength gain, especially for HCFA-rich mixtures. Across all AL/SC ratios and curing conditions, compressive strength consistently increased with curing age. Steam curing offered the most efficient early and long-term strength development, particularly for HCFA mixtures, due to accelerated geopolymerization driven by elevated temperatures and calcium content. Water curing provided moderate strength gains, while ambient curing conditions yielded the lowest values, especially at early ages. These results align with recent findings emphasize the role of curing regime and precursor chemistry in enhancing the mechanical performance of alkali-activated mixtures [14,15].

4. Conclusions

This study investigated the early-age performance of eco-efficient alkali-activated slag–fly ash (AASF) mixtures incorporating high-calcium (HCFA) and low-calcium (LCFA) fly ash at AL/SC ratios of 15%, 20%, and 25%, under steam, water, and ambient curing regimes. The results revealed that increasing the AL/SC ratio from 15% to 25% led to a significant reduction in slump flow by approximately 30% in LCFA mixtures (from 260 mm to 195 mm) and 25% in HCFA mixtures (from 240 mm to 180 mm). Similarly, flow loss increased with higher activator content, rising from 12% to 17% in HCFA mixes and from 9% to 15% in LCFA mixes. In terms of mechanical performance, compressive strength increased with both AL/SC ratio and curing age. At 25% AL/SC, HCFA mixtures achieved 70 MPa under steam curing at 28 days, outperforming LCFA mixtures, which reached 68 MPa. Water curing yielded moderate results (67 MPa for HCFA and 65 MPa for LCFA), while ambient curing produced lower strengths (64 MPa and 62 MPa, respectively). These findings emphasize the critical role of fly ash type, activator dosage, and curing conditions in tailoring eco-efficient AASF mixtures for enhanced workability and early strength, highlighting the role of HCFA-rich mixtures in sustainable construction and the restoration of environmentally degraded sites.

Funding

This research was funded by KAU Endowment (WAQF) at King Abdulaziz University, Jeddah, Saudi Arabia. The author, therefore, acknowledges with thanks WAQF and the Deanship of Scientific Research (DSR) for technical and financial support.

Data Availability Statement

The original contributions presented in this study are included in the article material. Further inquiries can be directed to the corresponding author(s).

Conflicts of Interest

The author declares no conflict of interest.

Correction Statement

This article has been republished with a minor correction to the Funding statement. This change does not affect the scientific content of the article.

References

  1. El Wafa, M.A.; Fukuzawa, K. Optimization of Alkali Activated Municipal Slag Composite Performance by Substituting Varying Ratios of Fly Ash for Fine Aggregate. Materials 2021, 14, 6299. [Google Scholar] [CrossRef]
  2. El Wafa, M.A.; Fukuzawa, K. Early-Age Strength of Alkali-Activated Municipal Slag–Fly Ash-Based Geopolymer Mortar. J. Mater. Civ. Eng. 2018, 30, 04018040. [Google Scholar] [CrossRef]
  3. Li, X.; Zhao, Y.; Hu, Y.; Wang, G.; Xia, M.; Luo, B.; Luo, Z. Influence of Multiple Factors on the Workability and Early Strength Development of Alkali-Activated Fly Ash and Slag-Based Geopolymer-Stabilized Soil. Materials 2022, 15, 2682. [Google Scholar] [CrossRef] [PubMed]
  4. Wang, H.; Wu, Y.; Wang, L.; Chen, H.; Cheng, B. Properties of a Lightweight Fly Ash–Slag Alkali-Activated Concrete with Three Strength Grades. Appl. Sci. 2021, 11, 766. [Google Scholar] [CrossRef]
  5. Dai, X.; Aydin, S.; Yardımcı, M.Y.; De Schutter, G. Early structural build-up, setting behavior, reaction kinetics, and microstructure of sodium silicate-activated slag mixtures with different retarder chemicals. Cem. Concr. Res. 2023, 159, 106872. [Google Scholar] [CrossRef]
  6. Alnahhal, M.F.; Kim, T.; Hajimohammadi, A. Distinctive rheological and temporal viscoelastic behaviour of alkali-activated fly ash/slag pastes: A comparative study with cement paste. Cem. Concr. Res. 2021, 144, 106441. [Google Scholar] [CrossRef]
  7. de Hita, M.J.; Criado, M. Influence of the Fly Ash Content on the Fresh and Hardened Properties of Alkali-Activated Slag Pastes with Admixtures. Materials 2022, 15, 992. [Google Scholar] [CrossRef] [PubMed]
  8. Wang, Y.; Cao, Y.; Ma, Y.; Xiao, S.; Hu, J.; Wang, H. Fresh and hardened properties of alkali-activated fly ash/slag binders: Effect of fly ash source, surface area, and additives. J. Sustain. Cem. Based Mater. 2022, 11, 239–262. [Google Scholar] [CrossRef]
  9. Mohamed, O.A. Effects of the Curing Regime, Acid Exposure, Alkaline Activator Dosage, and Precursor Content on the Strength Development of Mortar with Alkali-Activated Slag and Fly Ash Binder: A Critical Review. Polymers 2023, 15, 1248. [Google Scholar] [CrossRef] [PubMed]
  10. El-Hassan, H.; Shehab, E.; Al-Sallamin, A. Effect of curing regime on the performance and microstructure characteristics of alkali-activated slag-fly ash blended concrete. J. Sustain. Cem. Based Mater. 2021, 10, 289–317. [Google Scholar] [CrossRef]
  11. Fu, Q.; Bu, M.; Zhang, Z.; Xu, W.; Yuan, Q.; Niu, D. Hydration characteristics and microstructural evolution of alkali-activated slag concrete: A review. Engineering 2023, 20, 162–179. [Google Scholar] [CrossRef]
  12. Yuan, Z.; Jia, Y.; Xie, X.; Xu, J. Study on the Macroscopic Properties and Microstructure of High Fly Ash Content Alkali-Activated Fly Ash Slag Concrete Cured at Room Temperature. Materials 2025, 18, 547. [Google Scholar] [CrossRef] [PubMed]
  13. Zhao, J.; Wang, A.; Lyu, B.; Liu, K.; Chu, Y.; Ma, R.; Xu, H.; Jing, Y.; Sun, D. Proportioning Factors of Alkali-Activated Materials and Interaction Relationship Revealed by Response Surface Modeling. Materials 2023, 16, 2042. [Google Scholar] [CrossRef] [PubMed]
  14. Zhang, P.; Wang, K.; Li, Q.; Wang, J.; Ling, Y. Fabrication and engineering properties of concretes based on geopolymers/alkali-activated binders—A review. J. Clean. Prod. 2020, 258, 120896. [Google Scholar] [CrossRef]
  15. Yamchelou, M.T.; Law, D.; Brkljača, R.; Li, J.; Patnaikuni, I. The effect of pre-treatment and curing temperature on the strength development of alkali-activated clay. Constr. Build. Mater. 2021, 287, 123000. [Google Scholar] [CrossRef]
  16. Naqi, A.; Delsaute, B.; Königsberger, M.; Staquet, S. Effect of Solution-to-Binder Ratio and Alkalinity on Setting and Early-Age Properties of Alkali-Activated Slag-Fly Ash Binders. Materials 2023, 16, 373. [Google Scholar] [CrossRef] [PubMed]
  17. JIS A1150; Method of Test for Slump Flow of Concrete. JSA (Japanese Standards Association): Tokyo, Japan, 2014.
  18. JIS A1108; Method of Test for Compressive Strength of Concrete. JSA (Japanese Standards Association): Tokyo, Japan, 2006.
Figure 1. Schematic outline of the steam curing process [1,2].
Figure 1. Schematic outline of the steam curing process [1,2].
Eng 06 00230 g001
Figure 2. Schematic overview of the sample preparation process and experimental methodology.
Figure 2. Schematic overview of the sample preparation process and experimental methodology.
Eng 06 00230 g002
Figure 3. Slump flow of slag-fly ash mixtures with HCFA and LCFA at different AL/SC ratios.
Figure 3. Slump flow of slag-fly ash mixtures with HCFA and LCFA at different AL/SC ratios.
Eng 06 00230 g003
Figure 4. Flow loss of slag-fly ash mixtures with varying ratios of AL/SC and fly ash calcium content.
Figure 4. Flow loss of slag-fly ash mixtures with varying ratios of AL/SC and fly ash calcium content.
Eng 06 00230 g004
Figure 5. Compressive strength development of slag-fly ash mixtures with HCFA and LCFA at different AL/SC ratios under various curing conditions: (a) Steam Curing, (b) Water Curing, (c) Ambient Curing.
Figure 5. Compressive strength development of slag-fly ash mixtures with HCFA and LCFA at different AL/SC ratios under various curing conditions: (a) Steam Curing, (b) Water Curing, (c) Ambient Curing.
Eng 06 00230 g005aEng 06 00230 g005b
Figure 6. Compressive strength development of slag-fly ash mixtures with varying ratios of AL/SC and fly ash calcium content under various curing conditions: (a) Steam Curing, (b) Water Curing, (c) Ambient Curing.
Figure 6. Compressive strength development of slag-fly ash mixtures with varying ratios of AL/SC and fly ash calcium content under various curing conditions: (a) Steam Curing, (b) Water Curing, (c) Ambient Curing.
Eng 06 00230 g006
Figure 7. Compressive strength development of slag–fly ash mixtures at different curing ages under various curing conditions and AL/SC ratios: (a) 15%, (b) 20%, (c) 25%.
Figure 7. Compressive strength development of slag–fly ash mixtures at different curing ages under various curing conditions and AL/SC ratios: (a) 15%, (b) 20%, (c) 25%.
Eng 06 00230 g007aEng 06 00230 g007b
Table 1. Chemical Components and Physical Properties of SC, HCFA, and LCFA.
Table 1. Chemical Components and Physical Properties of SC, HCFA, and LCFA.
Chemical Components and Physical PropertiesSlag Cement
(SC)
High-Calcium Fly Ash
(HCFA)
Low-Calcium Fly Ash
(LCFA)
Calcium oxide, CaO (%)43.118.86.3
Silicon dioxide, SiO2 (%)32.548.857.6
Aluminum oxide, Al2O3 (%)13.519.826.5
Magnesium oxide, MgO (%)2.91.51.2
Ferric oxide, Fe2O3 (%)2.73.84.2
Sodium oxide, Na2O (%)1.81.20.5
Titanium dioxide, TiO2 (%)1.33.91.9
Phosphorus pentoxide, P2O5 (%)0.80.50.3
Loss on ignition, LOI (%)1.41.71.5
Specific gravity (g/cm3)2.802.802.14
Specific surface area (cm2/g)375037803630
Average particle size of D50 (μm)6.4816.2518.35
Table 2. Mix Proportions of the Alkali-Activated Slag–Fly Ash Mixtures.
Table 2. Mix Proportions of the Alkali-Activated Slag–Fly Ash Mixtures.
SeriesFAAL/SC
%
W/SC
%
FA/S
%
Mix Proportioning (kg/m3)
SCALWFAS
IscHCFA/LCFA155020600903002001000
20120
25150
IIwcHCFA/LCFA155020600903002001000
20120
25150
IIIacHCFA/LCFA155020600903002001000
20120
25150
Disclaimer/Publisher’s Note: The statements, opinions and data contained in all publications are solely those of the individual author(s) and contributor(s) and not of MDPI and/or the editor(s). MDPI and/or the editor(s) disclaim responsibility for any injury to people or property resulting from any ideas, methods, instructions or products referred to in the content.

Share and Cite

MDPI and ACS Style

El-Wafa, M.A. Eco-Efficient Alkali-Activated Slag–Fly Ash Mixtures for Enhanced Early Strength and Restoration of Degraded Sites. Eng 2025, 6, 230. https://doi.org/10.3390/eng6090230

AMA Style

El-Wafa MA. Eco-Efficient Alkali-Activated Slag–Fly Ash Mixtures for Enhanced Early Strength and Restoration of Degraded Sites. Eng. 2025; 6(9):230. https://doi.org/10.3390/eng6090230

Chicago/Turabian Style

El-Wafa, Mahmoud Abo. 2025. "Eco-Efficient Alkali-Activated Slag–Fly Ash Mixtures for Enhanced Early Strength and Restoration of Degraded Sites" Eng 6, no. 9: 230. https://doi.org/10.3390/eng6090230

APA Style

El-Wafa, M. A. (2025). Eco-Efficient Alkali-Activated Slag–Fly Ash Mixtures for Enhanced Early Strength and Restoration of Degraded Sites. Eng, 6(9), 230. https://doi.org/10.3390/eng6090230

Article Metrics

Back to TopTop