Determination of Urban Emission Factors for Vehicular Tailpipe Emissions Using Driving Cycles and Cluster-Based Driver Behavior Analysis
Abstract
1. Introduction
2. Literature Review
2.1. Studies Relevant to Evaluating DBQ and Driving Behavior
2.2. Studies Relevant to Driver Behavior Classification Using K-Means Clustering
2.3. Studies on the Impact of Driver Behavior on Tailpipe Emissions
3. Research Method
3.1. Selecting Driving Parameters for Cluster Analysis
3.2. Hopkins Statistic Analysis for Data Suitability
3.3. Selecting the Number of Clusters Using the Silhouette Coefficient
3.4. Applying PCA for Cluster Validation on the Dataset
3.5. Identification of Drivers from Clusters
3.6. Operational and Environmental Conditions for AVL DiTEST MDS 215 MDS Emission Testing
- Filter maintenance: The filters of the AVL DiTEST MDS 215 device were cleaned to ensure that the gas pathways were not blocked, in accordance with the AVL DiTEST MDS user manual [45].
- Stabilization time: The device was turned on 15 min prior to testing to allow the sensors to stabilize before measurements began [45].
- Environmental conditions: The device was operated in a stable environment with controlled room temperature and humidity throughout the measurement period.
- Sunlight protection: The device was kept away from direct sunlight to avoid sensor interference and ensure accurate readings [45].
- Fuel quality: All vehicles tested used Euro-4 petrol to eliminate variations in fuel quality and minimize its influence on emission levels.
- Testing environment: The tests were conducted under controlled temperature, humidity, and pressure to maintain consistent measurement conditions.
- Weather conditions: The average ambient temperature during the test period was approximately 26 °C, and the relative humidity was 37%. Testing was avoided on days with strong winds or rainfall to ensure stable conditions for measurements.
- Altitude of Mashhad: The altitude of Mashhad (950 m above sea level) was considered in the analysis because altitude can significantly influence vehicle emissions [51].
- Air-conditioning settings: To prevent the vehicle’s air-conditioning (AC) system from affecting emission levels, AC settings were kept constant in all vehicles during the tests [52].
- Vehicle start mode: Cold-start conditions were excluded from this study, as engines were warmed up before testing. Cold starts typically result in higher emission factors because more energy is required to heat the engine compared to a hot start. The off-time of the vehicle can also influence cold-start emissions; therefore, by starting measurements only after the engine warmed up, this effect was minimized [53].
3.7. Fuel Characteristics
3.8. Estimation of Tailpipe Emissions via On-Board Measurement
3.9. Determining the Driving Cycle for Driver Behavior
4. Results and Discussion
4.1. Pollutant Results Based on Driver Behavior
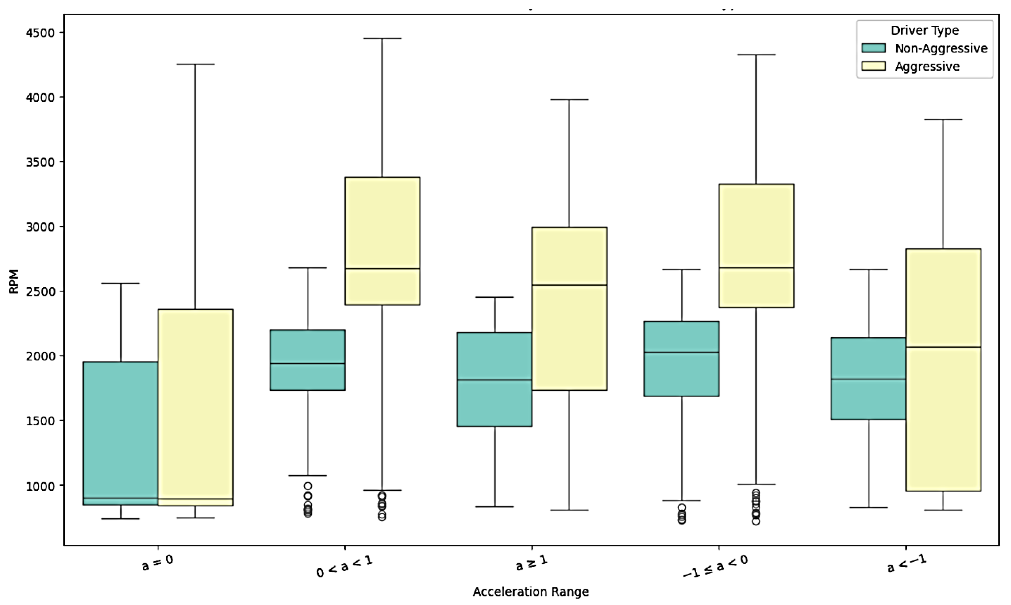
4.2. Comparison of RPM Considering A/D Behavior
4.3. Evaluation of the Effects of Driver Behavior on Emissions
4.4. Correlation Analysis Between RPM and A/D Behavior on Tailpipe Emissions
4.5. Estimation of Emission Factor Based on Driver Behavior
4.6. Comparison of the Results with Those of Other Studies
4.7. Limitations of the Study and Suggestions for Future Research
5. Conclusions
- After clustering 150 drivers based on four key parameters and selecting 10 representative drivers from each group, driving cycles were developed for both aggressive and non-aggressive drivers. The results showed that the average speed for aggressive drivers (40.54 km/h) was higher than that of non-aggressive drivers (34.27 km/h), indicating that aggressive drivers tend to maintain higher driving speeds. The maximum speeds further emphasized this distinction, with aggressive drivers reaching 91 km/h, while non-aggressive drivers peaked at 70 km/h. Similarly, the mean positive acceleration was greater for aggressive drivers (0.53 m/s2) compared to non-aggressive drivers (0.45 m/s2), reflecting their tendency toward more rapid acceleration. These differences in speed and acceleration clearly highlight the distinctive driving characteristics of aggressive drivers.
- RPM analysis revealed that aggressive drivers consistently maintained higher engine RPMs across various acceleration and deceleration (A/D) phases, with an average RPM of 2302 compared to 1763 for non-aggressive drivers. To statistically evaluate these differences, the Mann–Whitney U test was conducted, which confirmed significant differences in tailpipe emissions between the two driver groups. This finding demonstrates that aggressive driving behavior contributes to substantially higher emissions.
- The study further revealed that engine RPM plays a significant role in increasing the concentrations of the four main pollutants (CO2, CO, NOX, and HC), whereas A/D behavior showed no meaningful direct impact on emission levels. Nevertheless, A/D behavior proved to be a useful parameter for distinguishing driving styles, despite its weak correlation with pollutant emissions. These findings suggest that strategies to reduce vehicular pollution should prioritize RPM control while still considering A/D patterns to identify high-emission driving behaviors.
- Results obtained using the on-board measurement method showed that the emission factors of NOX, CO2, CO, and HC for aggressive drivers were 37.50%, 23.60%, 41.90%, and 53.13% higher, respectively, than those of non-aggressive drivers. These findings highlight that driving behavior directly influences vehicular emissions, and the differences between the clusters were clearly reflected in their emission factors.
Author Contributions
Funding
Institutional Review Board Statement
Informed Consent Statement
Data Availability Statement
Conflicts of Interest
Appendix A
| Number | Description | Never | Occasionally | Quite | Frequently | Always |
|---|---|---|---|---|---|---|
| 1 | Deliberately disregard the speed limits late at night or very early in the morning. | |||||
| 2 | Get involved in unofficial ‘races’ with other drivers. | |||||
| 3 | Overtake a slow-moving vehicle on the inside lane or hard shoulder of a motorway. | |||||
| 4 | Become impatient with a slow driver in the outer lane and overtake on the inside. | |||||
| 5 | Race oncoming vehicles for a one-car gap on a narrow or obstructed road. | |||||
| 6 | Overtake a single line of stationary or slow-moving vehicles, only to discover that they were queuing to get through a one-lane gap or roadwork lights. | |||||
| 7 | Deliberately drive the wrong way down a deserted one-way street. | |||||
| 8 | Take a chance and cross on lights that have turned red. | |||||
| 9 | Drive as fast along country roads at night on dipped lights as on full beam. | |||||
| 10 | Drive especially close or ‘flash’ the car in front as a signal for that driver to go faster or get out of your way. | |||||
| 11 | Stuck behind a slow-moving vehicle on a two-lane highway, you are driven by frustration to try to overtake in risky circumstances. | |||||
| 12 | Fail to give way when a bus is signaling its intention to pull out. | |||||
| 13 | Have an aversion to a particular class of road user, and indicate your hostility by whatever means you can. | |||||
| 14 | Angered by another driver’s behavior, you give chase with the intention of giving him/her a piece of your mind. | |||||
| 15 | Misjudge your crossing interval when turning right and narrowly miss collision. | |||||
| 16 | Fail to notice pedestrians crossing when turning into a side street from a main road. | |||||
| 17 | Misjudge speed of oncoming vehicle when overtaking. | |||||
| 18 | Fail to notice someone stepping out from behind a bus or parked vehicle until it is nearly too late. | |||||
| 19 | Hit something when reversing that you had not previously seen. | |||||
| 20 | In a queue of vehicles turning left onto a main road, pay such close attention to the traffic approaching from the right that you nearly hit the car in front. | |||||
| 21 | Attempt to overtake a vehicle that you hadn’t noticed was signaling its intention to turn right. | |||||
| 22 | Lost in thought or distracted, you fail to notice someone waiting at a zebra crossing, or a pelican crossing light that has just turned red. | |||||
| 23 | Misread signs and take the wrong exit from a roundabout. |
| Driver Id | Average Score | Maximum Acceleration | Number of Maximum Acceleration Events | Number of Accidents |
|---|---|---|---|---|
| 2 | 2.05 | 1.71 | 6 | 14 |
| 47 | 2.12 | 1.79 | 7 | 11 |
| 66 | 1.97 | 1.56 | 7 | 14 |
| 93 | 2.02 | 1.62 | 6 | 13 |
| 96 | 1.97 | 1.70 | 7 | 12 |
| 105 | 2.03 | 1.65 | 7 | 14 |
| 131 | 2.00 | 1.60 | 7 | 12 |
| 133 | 2.09 | 1.82 | 6 | 11 |
| 145 | 2.02 | 1.70 | 7 | 12 |
| 148 | 2.01 | 1.87 | 5 | 11 |
| Driver Id | Average Score | Maximum Acceleration | Number of Maximum Acceleration Events | Number of Accidents |
|---|---|---|---|---|
| 1 | 1.69 | 1.60 | 0 | 4 |
| 4 | 1.71 | 1.30 | 4 | 3 |
| 19 | 1.57 | 1.55 | 1 | 2 |
| 30 | 1.65 | 1.63 | 2 | 1 |
| 45 | 1.63 | 1.35 | 2 | 4 |
| 46 | 1.57 | 1.69 | 0 | 3 |
| 126 | 1.68 | 1.46 | 2 | 3 |
| 134 | 1.66 | 1.59 | 2 | 3 |
| 136 | 1.68 | 1.46 | 1 | 4 |
| 146 | 1.63 | 1.63 | 2 | 1 |
| Variable | Test | Statistic | p-Value | Sig. (2-Tailed) |
|---|---|---|---|---|
| Age | Shapiro–Wilk (Aggressive) | 0.935 | 0.497 | Not significant |
| Shapiro–Wilk (Non-aggressive) | 0.928 | 0.426 | Not significant | |
| Independent t-test | −0.336 | 0.741 | Not significant | |
| Driving experience | Shapiro–Wilk (All) | 0.9117 | 0.0687 | Not significant |
| Independent t-test | 0.0177 | 0.9860 | Not significant |
| Driver ID | Mileage (km) | Engine Volume (cc) | Fuel Type | Emission Standard | Tire Age (Months) | Last Service Date |
|---|---|---|---|---|---|---|
| Driver_1 | 40,839 | 1503 | Petroleum | Euro 4 | 12 | 12/2021 |
| Driver_2 | 41,756 | 1503 | Petroleum | Euro 4 | 6 | 02/2022 |
| Driver_3 | 75,493 | 1503 | Petroleum | Euro 4 | 28 | 11/2021 |
| Driver_4 | 78,520 | 1503 | Petroleum | Euro 4 | 32 | 01/2022 |
| Driver_5 | 61,361 | 1503 | Petroleum | Euro 4 | 15 | 12/2021 |
| Driver_6 | 67,536 | 1503 | Petroleum | Euro 4 | 10 | 01/2022 |
| Driver_7 | 49,257 | 1503 | Petroleum | Euro 4 | 8 | 02/2022 |
| Driver_8 | 58,312 | 1503 | Petroleum | Euro 4 | 16 | 11/2021 |
| Driver_9 | 56,936 | 1503 | Petroleum | Euro 4 | 14 | 12/2021 |
| Driver_10 | 54,033 | 1503 | Petroleum | Euro 4 | 12 | 01/2022 |
| Driver_11 | 67,870 | 1503 | Petroleum | Euro 4 | 30 | 11/2021 |
| Driver_12 | 48,009 | 1503 | Petroleum | Euro 4 | 5 | 02/2022 |
| Driver_13 | 58,327 | 1503 | Petroleum | Euro 4 | 18 | 12/2021 |
| Driver_14 | 79,989 | 1503 | Petroleum | Euro 4 | 34 | 11/2021 |
| Driver_15 | 78,331 | 1503 | Petroleum | Euro 4 | 36 | 01/2022 |
| Driver_16 | 74,241 | 1503 | Petroleum | Euro 4 | 24 | 12/2021 |
| Driver_17 | 61,296 | 1503 | Petroleum | Euro 4 | 6 | 02/2022 |
| Driver_18 | 51,364 | 1503 | Petroleum | Euro 4 | 10 | 01/2022 |
| Driver_19 | 40,979 | 1503 | Petroleum | Euro 4 | 8 | 12/2021 |
| Driver_20 | 46,912 | 1503 | Petroleum | Euro 4 | 9 | 11/2021 |

Appendix B
| Pollutant | Group | Sample Size | Shapiro–Wilk Statistic (W) | Shapiro–Wilk p-Value | Normal |
|---|---|---|---|---|---|
| CO2 | Non-aggressive | 920 | 0.9458 | <0.0001 | No |
| CO2 | Aggressive | 920 | 0.9439 | <0.0001 | No |
| CO | Non-aggressive | 920 | 0.9318 | <0.0001 | No |
| CO | Aggressive | 920 | 0.9513 | <0.0001 | No |
| NOX | Non-aggressive | 920 | 0.9635 | <0.0001 | No |
| NOX | Aggressive | 920 | 0.9577 | <0.0001 | No |
| HC | Non-aggressive | 920 | 0.9922 | 0.0099 | No |
| HC | Aggressive | 920 | 0.9685 | <0.0001 | No |
| Pollutant | Test | Statistic (U) | Z-Value | p-Value (2-Tailed) | Significant (α = 0.05) |
|---|---|---|---|---|---|
| CO2 | Mann–Whitney | 185,916.5000 | −20.9630 | <0.0001 | Yes |
| CO | Mann–Whitney | 140,741.0000 | −24.9081 | <0.0001 | Yes |
| NOX | Mann–Whitney | 158,280.5000 | −23.3764 | <0.0001 | Yes |
| HC | Mann–Whitney | 141,879.5000 | −24.8087 | <0.0001 | Yes |
| Test | Mann–Whitney U | Z | p-Value (2-Tailed) | Significant (α = 0.05) |
|---|---|---|---|---|
| Mann–Whitney U Test | 665,992.5 | 21.4221 | <0.001 | Yes |
| Driver Type | Shapiro–Wilk Statistic (W) | p-Value | Normal |
|---|---|---|---|
| Aggressive | 0.9394 | <0.001 | No |
| Non-aggressive | 0.934 | <0.001 | No |
| Driver Type | Variable 1 | Variable 2 | Spearman | p-Value |
|---|---|---|---|---|
| Non-aggressive | RPM | CO2 | 0.788112 | <0.0001 |
| Non-aggressive | RPM | CO | 0.741977 | <0.0001 |
| Non-aggressive | RPM | NOX | 0.683403 | <0.0001 |
| Non-aggressive | RPM | HC | 0.534305 | <0.0001 |
| Aggressive | RPM | CO2 | 0.702155 | <0.0001 |
| Aggressive | RPM | CO | 0.736682 | <0.0001 |
| Aggressive | RPM | NOX | 0.651359 | <0.0001 |
| Aggressive | RPM | HC | 0.629091 | <0.0001 |
| Driver Type | Variable 1 | Variable 2 | Spearman | p-Value |
|---|---|---|---|---|
| Non-aggressive | A/D | CO2 | −0.00155 | 0.962676 |
| Non-aggressive | A/D | CO | 0.001542 | 0.962755 |
| Non-aggressive | A/D | NOX | −0.00847 | 0.797634 |
| Non-aggressive | A/D | HC | 0.004454 | 0.576357 |
| Aggressive | A/D | CO2 | 0.042715 | 0.196005 |
| Aggressive | A/D | CO | 0.038705 | 0.241383 |
| Aggressive | A/D | NOX | 0.059742 | 0.070413 |
| Aggressive | A/D | HC | 0.035003 | 0.068965 |
References
- World Health Organization (WHO). Ambient Air Pollution: A Global Assessment of Exposure and Burden of Disease. 2016. Available online: https://www.who.int/publications/i/item/9789241511353 (accessed on 1 December 2022).
- Aminzadegan, S.; Shahriari, M.; Mehranfar, F.; Abramović, B. Factors affecting the emission of pollutants in different types of transportation: A literature review. Energy Rep. 2022, 8, 2508–2529. [Google Scholar] [CrossRef]
- Raparthi, N.; Barudgar, A.; Chu, M.; Ning, Z.; Phuleria, H.C. Estimating individual vehicle emission factors from near-road measurements in India. Atmos. Environ. 2023, 308, 119869. [Google Scholar] [CrossRef]
- World Bank. Total Greenhouse Gas Emissions (kt of CO2 Equivalent)—Iran. Islamic Rep, World Bank. 2022. Available online: https://data.worldbank.org/indicator/EN.ATM.GHGT.KT.CE?locations=IR&most_recent_value_desc=true (accessed on 4 March 2023).
- In-Service Conformity (ISC). The Contribution of the Transportation Sector in the Emission of Pollutants and Greenhouse Gases in Iran. 2020. Available online: https://amar.org.ir/statistical-information/statid/21923 (accessed on 7 June 2025).
- Shahbazi, H.; Reyhanian, M.; Hosseini, V.; Afshin, H. The relative contributions of mobile sources to air pollutant emissions in Tehran, Iran: An emission inventory approach. Emiss. Control Sci. Technol. 2016, 2, 44–56. [Google Scholar] [CrossRef]
- Iranian Labour News Agency (ILNA). 2022. Available online: https://www.ilna.ir/fa/tiny/news-1317914 (accessed on 21 July 2023).
- Demir, A. Investigation of air quality in the underground and aboveground multi-storey car parks in terms of exhaust emissions. Procedia-Soc. Behav. Sci. 2015, 195, 2601–2611. [Google Scholar] [CrossRef][Green Version]
- Fontaras, G.; Zacharof, N.G.; Ciuffo, B. Fuel consumption and CO2 emissions from passenger cars in Europe–Laboratory versus real-world emissions. Prog. Energy Combust. Sci. 2017, 60, 97–131. [Google Scholar] [CrossRef]
- Pirayre, A.; Michel, P.; Rodriguez, S.S.; Chasse, A. Driving behavior identification and real-world fuel consumption estimation with crowdsensing data. IEEE Trans. Intell. Transp. Syst. 2022, 23, 18378–18391. [Google Scholar] [CrossRef]
- Singh, H.; Kathuria, A. Analyzing driver behavior under naturalistic driving conditions: A review. Accid. Anal. Prev. 2021, 150, 105908. [Google Scholar] [CrossRef]
- Hadadi, F.; Tehrani, H.G.; Aghayan, I. An extended non-lane-discipline-based continuum model through driver behaviors for analyzing multi-traffic flows. Phys. A Stat. Mech. Its Appl. 2023, 625, 128965. [Google Scholar] [CrossRef]
- Munigety, C.R.; Mathew, T.V. Towards behavioral modeling of drivers in mixed traffic conditions. Transp. Dev. Econ. 2016, 2, 1–20. [Google Scholar] [CrossRef]
- Rezaei, D.; Aghayan, I.; Hadadi, F. Studying perturbations and wave propagations by lane closures on traffic characteristics based on a dynamic approach. Phys. A Stat. Mech. Its Appl. 2021, 566, 125654. [Google Scholar] [CrossRef]
- Lu, M. Comparison of driver classification based on subjective evaluation and objective experiment. In Proceedings of the 90th TRB Annual Meeting, Washington, DC, USA, 23–27 January 2011. No. 11-3170. [Google Scholar]
- Li, P.; Shi, J.; Liu, X. Driving style recognition based on driver behavior questionnaire. Open J. Appl. Sci. 2017, 7, 115–128. [Google Scholar] [CrossRef]
- Gupta, L.; Goswami, S.; Kumar, R. Analysis of driver behaviours towards road safety measures using DBQ in the Indian context. Trans. Transp. Sci. 2021, 12, 12–18. [Google Scholar] [CrossRef]
- Youssef, D.; Salameh, P.; Abou-Abbas, L.; Salmi, L.R. Examining self-reported aberrant behavior among Lebanese drivers using the Driver Behavior Questionnaire (DBQ). Discov. Soc. Sci. Health 2023, 3, 25. [Google Scholar]
- Eboli, L.; Mazzulla, G.; Pungillo, G. Combining speed and acceleration to define car users’ safe or unsafe driving behaviour. Transp. Res. Part. C Emerg. Technol. 2016, 68, 113–125. [Google Scholar] [CrossRef]
- Zheng, F.; Li, J.; Van Zuylen, H.; Lu, C. Influence of driver characteristics on emissions and fuel consumption. Transp. Res. Procedia 2017, 27, 624–631. [Google Scholar] [CrossRef]
- Ma, Y.; Tang, K.; Chen, S.; Khattak, A.J.; Pan, Y. On-line aggressive driving identification based on in-vehicle kinematic parameters under naturalistic driving conditions. Transp. Res. Part C Emerg. Technol. 2020, 114, 554–571. [Google Scholar] [CrossRef]
- Ameen, H.A.; Mahamad, A.K.; Saon, S.; Malik, R.Q.; Kareem, Z.H.; Bin Ahmadon, M.A.; Yamaguchi, S. Identification of driving safety profiles in vehicle-to-vehicle communication system based on vehicle OBD information. Information 2021, 12, 194. [Google Scholar] [CrossRef]
- Liu, Z.; Chen, H.; Li, Y.; Zhang, Q. Taxi demand prediction based on a combination forecasting model in hotspots. J. Adv. Transp. 2020, 2020, 1302586. [Google Scholar] [CrossRef]
- Liu, Z.; Chen, H. Short-term online taxi-hailing demand prediction based on the multimode traffic data in metro station areas. J. Transp. Eng. Part A Syst. 2022, 148, 05022003. [Google Scholar] [CrossRef]
- Jung, H. A Comparison of Driving Characteristics and Environmental Characteristics Using Factor Analysis and K-Means Clustering Algorithm. Ph.D. Thesis, Virginia Polytechnic Institute and State University, Blacksburg, VA, USA, 2012. [Google Scholar]
- Serttaş, T.N.; Gerek, Ö.N.; Hocaoğlu, F.O. Driver classification using K-means clustering of within-car accelerometer data. In Proceedings of the 2019 27th Signal Processing and Communications Applications Conference (SIU), Sivas, Turkey, 24–26 April 2019; IEEE: New York, NY, USA, 2019; pp. 1–4. [Google Scholar]
- Adamidis, F.K.; Mantouka, E.G.; Vlahogianni, E.I. Effects of controlling aggressive driving behavior on network-wide traffic flow and emissions. Int. J. Transp. Sci. Technol. 2020, 9, 263–276. [Google Scholar] [CrossRef]
- Mohammadnazar, A.; Khattak, Z.H.; Khattak, A.J. Assessing driving behavior influence on fuel efficiency using machine-learning and drive-cycle simulations. Transp. Res. Part D Transp. Environ. 2024, 126, 104025. [Google Scholar] [CrossRef]
- Du, X.; Kang, X.; Gao, Y.; Wang, X. Driving behavior characterization and traffic emission analysis considering the vehicle trajectory. Front. Psychol. 2024, 14, 1341611. [Google Scholar] [CrossRef]
- Almachi, J.C.; Saguay, J.; Anrango, E.; Cando, E.; Reina, S. Clustering-Based Urban Driving Cycle Generation: A Data-Driven Approach for Traffic Analysis and Sustainable Mobility Applications in Ecuador. Sustainability 2025, 17, 3353. [Google Scholar] [CrossRef]
- Nam, E.K.; Gierczak, C.A.; Butler, J.W. A comparison of real-world and modeled emissions under conditions of variable driver aggressiveness. In Proceedings of the 82nd Annual Meeting of the Transportation Research Board, Washington, DC, USA, 12–16 January 2003. [Google Scholar]
- Nesamani, K.S. Estimation of automobile emissions and control strategies in India. Sci. Total Environ. 2010, 408, 1800–1811. [Google Scholar] [CrossRef]
- McGordon, A.; Poxon, J.E.; Cheng, C.; Jones, R.P.; Jennings, P.A. Development of a driver model to study the effects of real-world driver behaviour on the fuel consumption. Proc. Inst. Mech. Eng. Part D J. Automob. Eng. 2011, 225, 1518–1530. [Google Scholar] [CrossRef]
- Yao, Y.; Zhao, X.; Liu, C.; Rong, J.; Zhang, Y.; Dong, Z.; Su, Y. Vehicle fuel consumption prediction method based on driving behavior data collected from smartphones. J. Adv. Transp. 2020, 2020, 9263605. [Google Scholar] [CrossRef]
- Carrese, S.; Gemma, A.; La Spada, S. Impacts of driving behaviours, slope and vehicle load factor on bus fuel consumption and emissions: A real case study in the city of Rome. Procedia-Soc. Behav. Sci. 2013, 87, 211–221. [Google Scholar] [CrossRef]
- Zheng, F.; Li, J.; Van Zuylen, H.J.; Lu, C. Influence of driver characteristics on emissions and fuel consumption. IET Intell. Transp. Syst. 2019, 13, 1770–1779. [Google Scholar] [CrossRef]
- Huang, Y.; Ng, E.C.; Zhou, J.L.; Surawski, N.C.; Lu, X.; Du, B.; Forehead, H.; Perez, P.; Chan, E.F. Impact of drivers on real-driving fuel consumption and emissions performance. Sci. Total Environ. 2021, 798, 149297. [Google Scholar] [CrossRef]
- Suarez, J.; Makridis, M.; Anesiadou, A.; Komnos, D.; Ciuffo, B.; Fontaras, G. Benchmarking the driver acceleration impact on vehicle energy consumption and CO2 emissions. Transp. Res. Part D Transp. Environ. 2022, 107, 103282. [Google Scholar] [CrossRef]
- Chandrashekar, C.; Rawat, R.S.; Chatterjee, P.; Pawar, D.S. Evaluating the real-world emissions of diesel passenger Car in Indian heterogeneous traffic. Environ. Monit. Assess. 2023, 195, 1248. [Google Scholar] [CrossRef]
- Jia, Z.; Yin, J.; Cao, Z.; Wei, N.; Jiang, Z.; Zhang, Y.; Wu, L.; Zhang, Q.; Mao, H. Sustainable transportation emission reduction through intelligent transportation systems: Mitigation drivers, and temporal trends. Environ. Impact Assess. Rev. 2025, 112, 107767. [Google Scholar] [CrossRef]
- Planning and Development Department of the Municipality of Mashhad. Statistical Yearbook of Mashhad; Planning and Development Department of the Municipality of Mashhad: Mashhad, Iran, 2025. Available online: https://planning.mashhad.ir/s/mfaPNuZ (accessed on 7 May 2025).
- Sadeghi, M. Transport Sustainability Study: Mashhad, Islamic Republic of Iran; ESCAP Publications: Bangkok, Thailand, 2021. [Google Scholar]
- Vakili, V.; Zarifian, A.R.; Khadem-Rezaiyan, M. Predictors of public transportation in Mashhad: A population-based study. J. Educ. Health Promot. 2018, 7, 5. [Google Scholar]
- CTPM. Authority Report of Public Transportation System in Transportation Plan of Mashhad; Urban Traffic Organization in Mashhad Municipality: Mashhad, Iran, 2015. (In Persian) [Google Scholar]
- AVL Di TEST MDS User Manual. Available online: https://www.avlditest.com/en/downloads-en.html (accessed on 15 June 2022).
- Likert, R. A technique for the measurement of attitudes. Arch. Psychol. 1932, 22, 1–55. [Google Scholar]
- Parishad, N.; Aghabayk, K.; Rezaie, R.; Samerei, A.; Mohammadi, A. Validation of the driver behavior questionnaire in a representative sample of Iranian drivers. Civ. Eng. Infrastruct. J. 2020, 53, 161–171. [Google Scholar]
- Cronbach, L.J. Coefficient alpha and the internal structure of tests. Psychometrika 1951, 16, 297–334. [Google Scholar] [CrossRef]
- Banerjee, A.; Dave, R.N. Validating clusters using the Hopkins statistic. In Proceedings of the 2004 IEEE International Conference on Fuzzy Systems (IEEE Cat. No. 04CH37542), Budapest, Hungary, 25–29 July 2004; IEEE: New York, NY, USA, 2004; Volume 1, pp. 149–153. [Google Scholar]
- Dalmaijer, E.S.; Nord, C.L.; Astle, D.E. Statistical power for cluster analysis. BMC Bioinform. 2022, 23, 205. [Google Scholar] [CrossRef]
- Yan, G.; Wang, M.; Qin, P.; Yan, T.; Li, K.; Wang, X.; Han, C. Field measurements of vehicle pollutant emissions in road tunnels at different altitudes. Tunn. Undergr. Space Technol. 2021, 118, 104187. [Google Scholar] [CrossRef]
- Welstand, J.S.; Haskew, H.H.; Gunst, R.F.; Bevilacqua, O.M. Evaluation of the effects of air conditioning operation and associated environmental conditions on vehicle emissions and fuel economy. SAE Trans. 2003, 112, 1993–2006. [Google Scholar]
- De Vlieger, I. On board emission and fuel consumption measurement campaign on petrol-driven passenger cars. Atmos. Environ. 1997, 31, 3753–3761. [Google Scholar] [CrossRef]
- Lents, J.; Davis, N. International Vehicle Emission (IVE) Model Users Manual; Technical Report; International Sustainable Systems Research Center: La Habra, CA, USA, 2004. [Google Scholar]
- Pouresmaeili, M.A.; Aghayan, I.; Taghizadeh, S.A. Development of Mashhad driving cycle for passenger car to model vehicle exhaust emissions calibrated using on-board measurements. Sustain. Cities Soc. 2018, 36, 12–20. [Google Scholar] [CrossRef]
- Zhai, Z.; Tu, R.; Xu, J.; Wang, A.; Hatzopoulou, M. Capturing the variability in instantaneous vehicle emissions based on field test data. Atmosphere 2020, 11, 765. [Google Scholar] [CrossRef]
- Emission Standards. Euro 4 Standard. Available online: https://dieselnet.com/standards/eu/ld.php?utm_source=chatgpt.com#stds/standards/eu/ld.php?utm_source=chatgpt.com#stds (accessed on 3 October 2025).









| Variables | Group | Number | Percentage |
|---|---|---|---|
| Gender | Male | 20 | 100 |
| Age (year) | 18–26 | 3 | 15% |
| 27–30 | 4 | 20% | |
| 31–36 | 6 | 30% | |
| 37–45 | 2 | 10% | |
| >45 | 5 | 25% | |
| Driving experience (year) | 1–4 | 5 | 25% |
| 5–8 | 2 | 10% | |
| 9–12 | 3 | 15% | |
| 13–18 | 3 | 15% | |
| >18 | 7 | 35% | |
| Employment type | Permanent | 14 | 70% |
| Temporary | 6 | 30% | |
| Number of accidents in the past five years (2017–2022) | 0–3 | 3 | 15% |
| 3–6 | 7 | 35% | |
| 6–9 | 0 | 0% | |
| 9–12 | 3 | 15% | |
| 12–15 | 7 | 35% |
| Evaporative Control | Exhaust Control | Air/Fuel Control | Engine Size | Fuel | Cylinders | Valves per Cylinder | Engine Power (hp) | Torque (Nm) |
|---|---|---|---|---|---|---|---|---|
| Positive crankcase ventilation | Three-way | Multipoint fuel injection | Medium | Petroleum | 4 | 2 | 87 | 128 |
| Driver Type | Aggressive Driver | Non-Aggressive Driver | ||||
|---|---|---|---|---|---|---|
| Parameter | Pt | Pi | Relative Error (%) | Pt | Pi | Relative Error (%) |
| Mean speed | 40.54 | 41.15 | 1.50 | 34.27 | 35.77 | 4.38 |
| Mean speed while moving | 45.76 | 43.97 | 3.91 | 36.42 | 37.92 | 4.12 |
| Mean acceleration | 0.53 | 0.52 | 1.89 | 0.45 | 0.47 | 4.44 |
| Mean deceleration | −0.54 | −0.53 | 1.85 | −0.56 | −0.58 | 3.57 |
| % Time cruise mode | 11.05 | 10.68 | 3.35 | 10.06 | 10.34 | 2.78 |
| % Time acceleration | 43.75 | 44.44 | 1.58 | 48.21 | 49.95 | 3.61 |
| % Time deceleration | 43.92 | 44.88 | 2.19 | 38.98 | 39.72 | 1.90 |
| % Time speed = 0 | 6.73 | 6.43 | 4.46 | 5.77 | 5.66 | 1.91 |
| RMS acceleration | 0.61 | 0.64 | 4.92 | 0.62 | 0.63 | 1.61 |
| Driver Type | Parameter | Minimum | Maximum | Mean | SD | Variance | Std Error of Mean | %CV |
|---|---|---|---|---|---|---|---|---|
| Aggressive | Qexhaust | 0.0016 | 0.0128 | 0.0076 | 0.0027 | 0.0000 | 0.0000 | 35.53 |
| CO2 | 0.4403 | 3.7583 | 2.0795 | 0.7819 | 0.6113 | 0.0258 | 37.60 | |
| CO | 0.0290 | 0.2660 | 0.1398 | 0.0525 | 0.0028 | 0.0017 | 37.55 | |
| NOX | 0.0004 | 0.0037 | 0.0018 | 0.0007 | 0.0000 | 0.0000 | 38.89 | |
| HC | 0.0001 | 0.0011 | 0.0005 | 0.0002 | 0.0000 | 0.0000 | 40.00 | |
| Non-aggressive | Qexhaust | 0.0014 | 0.0072 | 0.0046 | 0.0013 | 0.0000 | 0.0000 | 28.26 |
| CO2 | 0.4464 | 2.2249 | 1.4620 | 0.4094 | 0.1676 | 0.0135 | 28.00 | |
| CO | 0.0260 | 0.1289 | 0.0854 | 0.0237 | 0.0006 | 0.0008 | 27.75 | |
| NOX | 0.0003 | 0.0020 | 0.0014 | 0.0004 | 0.0000 | 0.0000 | 28.57 | |
| HC | 0.0001 | 0.0006 | 0.0003 | 0.0001 | 0.0000 | 0.0000 | 33.33 |
| Type of Driver | Parameter | Optimum Value |
|---|---|---|
| RF | n_estimators | 500 |
| max_features | none | |
| min_samples_split | 2 | |
| min_samples_leaf | 1 | |
| Max_depth | 10 | |
| GB | n_estimators | 100 |
| min_samples_split | 2 | |
| Loss | Squared_error | |
| Learning rate | 0.05 | |
| Subsample | 1 | |
| Max_depth | 3 | |
| min_samples_split | 2 | |
| min_samples_leaf | 1 |
| Type of Driver | Emission | Model | RMSE | MAPE (%) |
|---|---|---|---|---|
| Aggressive driver | HC | Random Forest | 0.0001 | 11.84 |
| HC | Gradient Boosting | 0.0001 | 10.56 | |
| NOX | Random Forest | 0.0002 | 6.49 | |
| NOX | Gradient Boosting | 0.0001 | 6.46 | |
| CO | Random Forest | 0.0073 | 4.36 | |
| CO | Gradient Boosting | 0.0064 | 3.97 | |
| CO2 | Random Forest | 0.1190 | 4.69 | |
| CO2 | Gradient Boosting | 0.1067 | 4.47 | |
| Non-aggressive driver | HC | Random Forest | 0.0001 | 23.47 |
| HC | Gradient Boosting | 0.0001 | 23.13 | |
| NOX | Random Forest | 0.0001 | 8.88 | |
| NOX | Gradient Boosting | 0.0001 | 8.91 | |
| CO | Random Forest | 0.0037 | 3.34 | |
| CO | Gradient Boosting | 0.0033 | 3.12 | |
| CO2 | Random Forest | 0.0749 | 4.30 | |
| CO2 | Gradient Boosting | 0.0699 | 4.02 |
| Driving Style | CO (g/km) | NOX (g/km) | HC (g/km) | CO2 (g/km) |
|---|---|---|---|---|
| Non-aggressive driver | 8.61 | 0.12 | 0.032 | 147.10 |
| aggressive Driver | 12.22 | 0.165 | 0.049 | 181.82 |
| Euro 4 Standard | 1.0 | 0.08 | 0.10 | N/A |
Disclaimer/Publisher’s Note: The statements, opinions and data contained in all publications are solely those of the individual author(s) and contributor(s) and not of MDPI and/or the editor(s). MDPI and/or the editor(s) disclaim responsibility for any injury to people or property resulting from any ideas, methods, instructions or products referred to in the content. |
© 2025 by the authors. Licensee MDPI, Basel, Switzerland. This article is an open access article distributed under the terms and conditions of the Creative Commons Attribution (CC BY) license (https://creativecommons.org/licenses/by/4.0/).
Share and Cite
Kharrazian, E.A.; Hadadi, F.; Aghayan, I. Determination of Urban Emission Factors for Vehicular Tailpipe Emissions Using Driving Cycles and Cluster-Based Driver Behavior Analysis. Eng 2025, 6, 294. https://doi.org/10.3390/eng6110294
Kharrazian EA, Hadadi F, Aghayan I. Determination of Urban Emission Factors for Vehicular Tailpipe Emissions Using Driving Cycles and Cluster-Based Driver Behavior Analysis. Eng. 2025; 6(11):294. https://doi.org/10.3390/eng6110294
Chicago/Turabian StyleKharrazian, Emad Aldin, Farhad Hadadi, and Iman Aghayan. 2025. "Determination of Urban Emission Factors for Vehicular Tailpipe Emissions Using Driving Cycles and Cluster-Based Driver Behavior Analysis" Eng 6, no. 11: 294. https://doi.org/10.3390/eng6110294
APA StyleKharrazian, E. A., Hadadi, F., & Aghayan, I. (2025). Determination of Urban Emission Factors for Vehicular Tailpipe Emissions Using Driving Cycles and Cluster-Based Driver Behavior Analysis. Eng, 6(11), 294. https://doi.org/10.3390/eng6110294

