Abstract
Four tertiary amines (tributylamine, tripentylamine, trihexylamine, triethanolamine) were investigated with a 25 μm platinum disc microelectrode in more organic solvents. In the commonly used inert solvent acetonitrile, the sigmoidal-shaped curves used were recorded, except for triethanolamine, which showed two current plateaus close to each other, indicating temporal blocking in this case. The really surprising results arose from studies in acetic acid and ethyl acetate. Due to the complete protonation in acetic acid, the significant shifts of oxidation potentials led to the acquisition of lower currents only with the rising parts also using the same potential window as in ethyl acetate, where the voltammograms had a sigmoidal shape. Triethanolamine exhibited significant electrode deactivation in ethyl acetate, leading to the appearance of peak-shaped curves, and the difference between the first and second voltammograms was large. The current difference between the first and second scans allowed consequences for acetic acid content in cases where it was small, as the choice of this parameter proved to be the best for the analytical task. On the other hand, the differences in the shape of voltammograms allowed for quantitative approximations. The observed phenomenon could be utilized only for the estimation of acetic acid content.
1. Introduction
Since microelectrodes were invented in the last century, they have been widely used to solve several problems for several reasons. Thanks to the small size, the detection of low current signals encounters difficulties, and the precise measurements need special equipment, especially when the signals are below the nanoampere range. Their application becomes fruitful in media with low permittivity and in the absence of a supporting electrolyte. In these situations, we encounter prohibitively large ohmic drops, and microelectrodes bridge this problem as they can eliminate or alleviate the distortion of voltammograms. The related theories and the concerning measurements are detailed in earlier works where the influence of the support ratio (ratio of supporting electrolyte and electroactive compound concentration) was also the focus of the research [1,2,3]. For these tasks, the application of conventionally sized electrodes leads to useless results. The most frequently used model compound, ferrocene, in organic media served as an appropriate solution for studies with electrodes with sizes in the micrometer range [4,5,6]. The investigated solvents with low permittivity cover mainly 1,2-dimethoxyethane, dichloromethane, and toluene [7,8]. In extreme cases, investigations in supercritical fluids [9], in n-heptane [10] and in benzene [11], are possible with the use of highly apolar supporting electrolytes. They will be present after dissolution in the outlined solvents, predominantly in associated form, and more equilibria must be reached during charge flow through the system.
In particular, the use of microelectrodes makes it possible to obtain current signals directly in the gas phase. The efficient injection of ionic species between the anode and cathode is ensured by a very thin insulating gap, as the strength of the electric field will be large in this way, so obtaining visible signals in these environments requires the fabrication of narrow-gap cells [12,13]. In these situations, the addition of supporting electrolytes becomes practically impossible, and ions generated from the reacting molecules migrate towards the counter electrode, thus triggering the ionic flow.
Regarding the electrochemical oxidation of tertiary amines, there are more works found in the literature, and reaction mechanisms are detailed. Basically, tertiary amines undergo a one-electron oxidation, resulting in a radical cation centered on the nitrogen atom [14]. In the next step, this cation becomes deprotonated, and the unpaired electron appears on an α-carbon atom in the neighborhood of nitrogen. The disproportionation of this radical leads to the formation of the starting amine and an enamine. The radical can be oxidized further, yielding the corresponding iminium cation. The difficult mechanism is verified by knowing the fact that some amine molecules can be inactivated by protonation coming from the oxidation of another molecule. That is why coulometric studies establish one-electron oxidation for tertiary amines. The iminium cation reacts rapidly with nucleophiles present in the solution. If this nucleophile is a water molecule, the reaction between them yields a protonated amino alcohol where the hydroxyl group is attached to the α-carbon atom. Then, the ion dissociates into a secondary amine and a protonated aldehyde, and the latter finally loses its positive charge due to an amine molecule.
Triethanolamine is a surfactant that has the ability to strongly adhere to solid surfaces, depending on the features of the environment, and it has identical solvation properties compared with tertiary amines without hydroxyl groups; this property widened the scope of applications. This is the starting material for the synthesis of higher molecular weight surfactants, and this compound is an ingredient of industrial and consumer products. Generally, regarding the electrochemistry of alcoholamines, strong adsorption capabilities were established on electrodes. Typically, the surface of gold offers appropriate binding sites through weak interactions. The related capacitance-potential curves exhibited unambiguously strong binding; furthermore, their strength increased with increasing alkyl chain length in aqueous systems [15,16].
In this work, the behavior of some tertiary amines and triethanolamine is studied with a microelectrode in different organic solvents, highlighting acetic acid and ethyl acetate in conditions with an excess of supporting electrolytes. As a result, the small surface microelectrodes are very sensitive if blocking effects are in play. The differences in blocking effects can serve as useful analytical information, as by varying the solvent composition, the solvation properties also change towards the deposits. Herein, the effect on the shape of cyclic voltammograms will be utilized for the estimation of acetic acid content in ethyl acetate.
2. Materials and Methods
The chemicals used for the experiments were analytical reagent grade (Merck, Molar Chemicals), and solvents were spectroscopic or HPLC grade (VWR Chemicals (Debrecen, Hungary), Molar Chemicals (Halásztelek, Hungary), Merck (Darmstadt, Germany)). The supporting electrolyte was tetrabutylammonium perchlorate (TBAP), as none of the composing ions can disturb the studies generally observed. Only ethyl acetate needed further purification to minimize the water content by distillation from K2CO3.
For the voltammetric experiments, a 25 μm in diameter platinum microelectrode was used, as well as a silver wire reference (0.5 mm in diameter) and a platinum–iridium rod counter electrode (1 mm in diameter). Investigations were carried out in three-electrode cells, and all electrodes were connected to a potentiostat (Dropsens, Oviedo, Spain). When it was necessary, the microelectrode was cleaned by polishing on a polishing cloth immersed in the aqueous suspension of alumina. After thorough washing with distilled water, the residual particles adsorbed on the solid surfaces of electrodes were removed with ultrasonication, and after a second washing with distilled water, dry acetone was applied to remove the water traces. This last step was necessary to prevent the introduction of water before studies in non-aqueous systems.
3. Results and Discussion
3.1. Studies of Different Organic Solvents
In the first part of the investigation, the selected tertiary amines were investigated with the 25 μm platinum microelectrode in the commonly used organic solvents. One of the most commonly used ones is acetonitrile, mainly due to its inertness and wide potential window. Figure 1a displays the voltammograms in this solvent for trihexylamine at different concentrations, and their sigmoidal shape indicates that there is no complication in the charge transfer reaction, and it is diffusion-controlled. This also means that the extent of ohmic distortion is very low.

Figure 1.
Microelectrode voltammograms (diameter: 25 μm) for trihexylamine (a) and triethanolamine (b) in acetonitrile by different concentrations (scan rate 0.1 V/s, supporting electrolyte 10 mM TBAP, black: 0 mM, red: 1 mM, blue: 2 mM, magenta: 3 mM, green: 4 mM, dark blue: 5 mM).
There is a difference in shape in the voltammograms of triethanolamine, as they contain two waves close to each other, but only one electrode reaction takes place, which is characteristic of tertiary amines. In the literature, adsorption peaks could be found [17], and they are now manifested in an additional wave. By analyzing the shapes of the curve, a temporal blocking is responsible for the findings; furthermore, the heights of plateaus are linearly proportional to the concentration.
Similar results were obtained with the other alkyl amines, tributylamine and tripentylamine, and Figure 2 reveals the concentration dependence for the three alkyl amines in the same concentration range between 1 and 5 mM. The current plateau heights are in accordance with their diffusion properties, as the highest molecular weight trihexylamine exhibited the lowest current values.
Figure 2.
Dependence of current plateau heights for the three tertiary amines (scan rate 0.1 V/s, supporting electrolyte 10 mM TBAP).
The investigations were carried out in other aprotic solvents (nitrobenzene, dimethyl formamide, dimethyl sulfoxide, dichloromethane) with triethanolamine in the concentration range between 0 and 25 mM, and the current plateau heights were in accordance with their viscosities. Only in dichloromethane was there a deviation from linearity at higher concentrations. This observation serves as a sign for the formation of polymeric hindering objects in front of the electrode without irreversible blocking, which means that in the timescale of development of current plateaus, the removal of polymeric products as a result of intermolecular couplings was incomplete in this aprotic solvent. As alcohols are protic solvents, 1-propanol was also assessed in the case of triethanolamine (Figure 3). The regular steady-state voltammograms verify the lack of any complication. Between approximately 1.4 and 2 V at the studied smallest concentrations, there are current enhancements attributable to the solvent. With the elevation of reactant concentration, the magnitude of ohmic drops increases in parallel, which is why the second current enhancements are partly due to solvent shift to higher potentials. As 1-propanol is in excess, alkoxylation is the predominant process on the α-carbon atoms. It is obvious that solvent molecules bear hydroxyl groups, which can readily react with the radical intermediates originating from the electrooxidation of the studied compound. This was evidenced when tertiary amines were oxidized in methanol and methoxylated products formed [18,19].
Figure 3.
Steady-state voltammograms of triethanolamine in 1-propanol (scan rate 0.1 V/s, supporting electrolyte 50 mM TBAP).
3.2. Investigations in Acetic Acid, Ethyl Acetate, and Their Binary Mixtures
Acetic acid and ethyl acetate are two interesting solvents, especially their binary mixtures, as was experienced in our earlier studies. The voltammetric behavior of 4-methoxyphenol and catechol differed markedly, depending on the composition of mixtures of the two solvents [20,21]. On the other hand, these two low permittivity solvents proved appropriate choices for the analysis of selected compounds, mainly with microelectrodes [22,23,24,25,26,27].
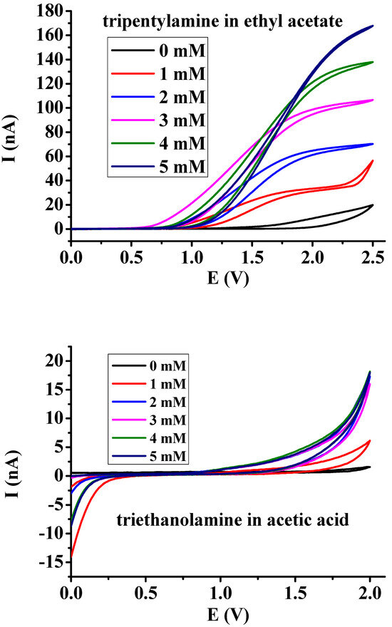
Trialkylamines and triethanolamines were investigated in pure acetic acid and ethyl acetate, and the related curves are displayed in Figure 4 for tripentylamine and triethanolamine. In ethyl acetate, tripentylamine exhibited regular microelectrode voltammograms with significant shifts caused by the ohmic potential drops due to the relatively low solvent permittivity. The curves of triethanolamine in acetic acid illustrate the typical characteristics of a compound that bears a positive charge. The acidic solvent fully protonates the amine molecules and, consequently, their oxidation potential shifts to a significantly higher value. In these cases, migratory effects are also in play, diminishing the plateau height, but their extent depends on the support ratio. The latter statement means that electrostatic repulsion contributes highly to the observed ohmic potential drop. This migratory diminution reduces the reactant ion mobility when cations are oxidized or anions are reduced. In our situation, the presence of an excess of supporting electrolyte minimizes this effect, and due to the large number of counterions coming from the supporting electrolyte, this undesired repulsive effect does not cause problems. In fact, the process is governed by thermodynamic control here, and this will be utilized later.

Figure 4.
Steady-state voltammograms of tripentylamine and triethanolamine in ethyl acetate (scan rate 0.1 V/s, supporting electrolyte 50 mM TBAP).
The really surprising results were obtained with triethanolamine in ethyl acetate, as peaks appeared mainly at higher concentrations, departing from the regular behavior on microelectrodes. This remarkable difference became really obvious above 5 mM reactant concentration. The appearance of peaks suggests a deposit formation on the microdisc. According to the findings regarding the electrooxidation of tertiary amines, a polymeric film is responsible for the current drops. As reactant molecules bear hydroxyl groups, they are able to undergo nucleophilic attacks on the α-carbon atoms, leading to the development of a network (Scheme 1). There is evidence in the literature for the development of ether rings as a result of intramolecular nucleophilic attacks, which also take place [18]. This forms in each aprotic solvent, but in ethyl acetate, it is scarcely soluble. On the other hand, the heights of peak maximums reveal unambiguously the deviation from linearity. Moreover, the curve of 25 mM concentration has a very wide peak, indicating also the enrichment of the reactant in front of the microdisc, as it is a surfactant. The difference in the maximum current between 25 and 20 mM concentrations is higher than between the other ones, highlighting this enrichment process.
Scheme 1.
Possible structure of the polymeric product of triethanolamine electrooxidation in aprotic solvents.
The repeatability of voltammograms was also an additional issue for triethanolamine, so three subsequent curves were taken. The related curves are displayed in Figure 5 in their 25 mM solution prepared with ethyl acetate. They clearly show the validity of the earlier assumptions, namely, an insoluble polymeric network builds up during the electrooxidation of the reactant. In the second and further scans, very low currents could be recorded, and this was also the result when 5 min intervals were inserted between the measurements. This suggests that taking two subsequent voltammograms without a silent period leads practically to the same result as inserting longer periods. This serves as a sign for the fact that the product is really insoluble, and the application of waiting periods cannot help in electrode renewal, so for reproducible and authentic measurements, the electrode must be polished.
Figure 5.
Subsequent voltammograms for 25 mM triethanolamine in ethyl acetate (scan rate 0.1 V/s, supporting electrolyte 50 mM TBAP).
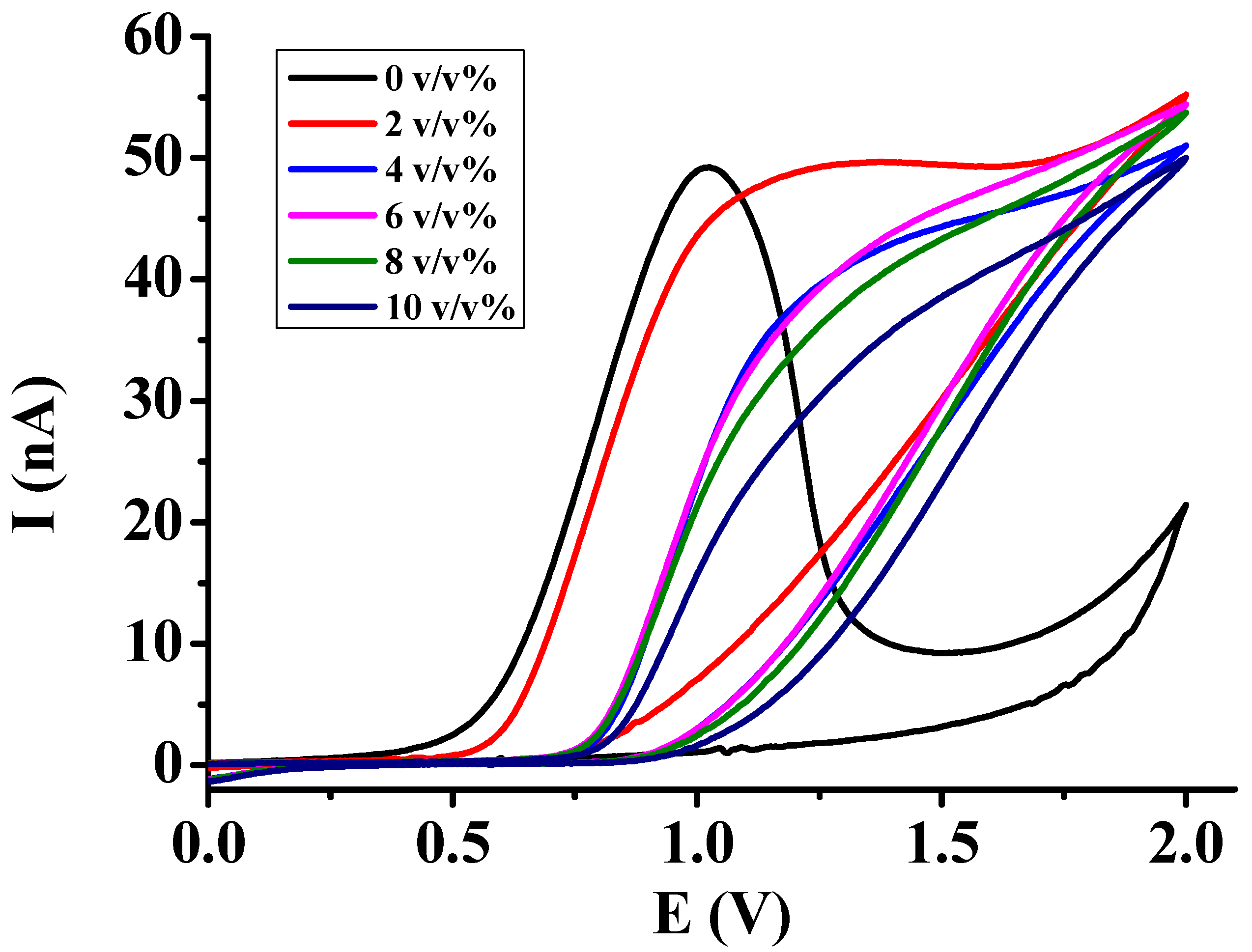
The above deactivation could not be observed in acetic acid, so the high differences in the electrochemical behavior of triethanolamine in ethyl acetate and acetic acid can be utilized for the estimation of the composition of binary mixtures of the two solvents. Their effects were assessed on the voltammetry of triethanolamine by its uniform 25 mM concentration in the entire range (Figure 6). The earlier findings pointed to the high differences in the currents of the first and second voltammograms; thus, this strong blocking process could be utilized in the estimation of acetic acid content. These ΔI current differences served as an analytical signal calculated by a simple subtraction: ΔI = Imax(1) − I(Emax,2). This equation provided the appropriate data for the estimation, where Imax(1) is the maximum current of the first voltammogram and I(Emax,2) is the current of the second voltammogram at the potential Emax of the first peak. Obviously, this procedure only really works when the maximum appears in the first scan. The shape of curves changes markedly by adding a small amount of acetic acid to ethyl acetate, and there is also a possibility to make rough estimations without any quantitative data with the aid of curve shapes. As triethanolamine molecules protonate, the shape of voltammograms becomes more and more similar to that observed in pure acetic acid, and by increasing the acetic acid content, the current differences decrease continuously due to the continuous shift of oxidation potential of the reactant and improvement of signal reproducibilities due to the nucleophilic attacks of acetic acid molecules, thus cutting the developing networks of polymers. When only continuous current enhancements show up (peak does not appear), the above subtraction can also be used, utilizing current data at the potential where the peak of triethanolamine showed up in pure ethyl acetate. Obviously, each calibration procedure must involve the measurement in pure ethyl acetate serving as a reference for the other compositions, also evidently including the mixtures with unknown composition in case of analyses. The calibration curve in Figure 6 clearly shows that the procedure only exhibits its usefulness below 20 v/v% acetic acid. At higher contents, the current differences become uniform around −3 nA. In a separate experiment, a high reproducibility could be established in pure acetic acid, as seen from the calibration curve. Each measurement was carried out in triplicate and averaged (N = 3). Taking a look at the scatterings, it is remarkable that they are generally proportional to the magnitude of the signals.
Figure 6.
Dependence of ΔI values on the composition of binary mixtures of acetic acid and ethyl acetate (AcOH: acetic acid, scan rate 0.1 V/s, triethanolamine concentration 25 mM, supporting electrolyte 50 mM TBAP) for the entire range (main graph) and for a narrower range (inset graph).
A narrower concentration range for acetic acid was also studied with small increments to see how a small amount of acid influences the results. Surprisingly, a large drop in current differences appeared in the calibration curve within a very narrow range, showing that the majority of triethanolamine molecules undergo protonation, and the nucleophilic attacks of hydroxyl groups found in carboxyl groups prevent the formation of a widespread polymeric network on the microdisc already at very low contents. This is the reason why the slight decrease between 2 and 10 v/v% appears.
The effect of the addition of acetic acid in small amounts can be clearly seen on the shape of voltammograms, and there are similar results mentioned earlier. For these mixtures containing a low amount of acetic acid, the related curves are displayed in Figure 7, but for a 15 mM triethanolamine concentration. This is one of the concentrations studied where the curve exhibited significant current drops after the anodic peak. By adding a small amount of acetic acid, these drops disappear due to reactant protonation and breakdown of polymer growth, which is similar to the cases discussed before.
Figure 7.
Microelectrode voltammograms for 15 mM triethanolamine in binary mixtures of acetic acid and ethyl acetate at low acetic acid contents (scan rate 0.1 V/s, supporting electrolyte 50 mM TBAP).
The results in ethyl acetate highlighted that due to the presence of hydroxyl groups, the electrooxidation of triethanolamine leads to the formation of aggregates, which then adsorb to the electrode surface and, as a consequence, are scarcely soluble in ethyl acetate. The nucleophilic attack of hydroxyl groups results in the formation of ether linkages, and the termination of this polymeric growth leads to the lower molecular weight products containing more and more acetic acid, thus enhancing the concentration of hydroxyl groups. Their solubilities are better, especially when acetic acid molecules are also present, than those formed in ethyl acetate.
In the 15 mM concentration of triethanolamine prepared with ethyl acetate, the dependence of peak currents on the scan rate was also studied with a platinum microelectrode. In the 20–100 mV/s range, the dependence on the square root of scan rate was linear, suggesting the predominantly diffusion-controlled nature of the redox reaction. Generally, the plateau heights of redox materials without any complications are independent of scan rate in this range. The findings with triethanolamine highlight that the mass transport occurs mainly through linear diffusion. The polymeric product formation slows it down; diffusion from the bulk highly exceeds the diffusion rate through the network, and the reactant is supplied quickly into the pores of the deposit.
4. Conclusions
The findings highlighted that the selection of triethanolamine as a marker proved fruitful in the investigations of solvent effects due to its identical behavior. However, the voltammetry of other tertiary amines showed differences in ethyl acetate and acetic acid, but they only manifested themselves in the large shifts of anodic potentials experienced in each case due to the presence of positively charged electroactive material. The unique features of triethanolamine redox chemistry might also be utilized in binary mixtures of additional solvents in our further plans in the near future. Finally, the focus of the proposed study is on solvent mixtures that are more relevant in practice.
Author Contributions
Conceptualization, L.K.; investigation, L.K.; resources, L.K.; writing—original draft preparation, L.K.; writing—review and editing, S.K.-M.; supervision, L.K.; funding acquisition, S.K.-M. All authors have read and agreed to the published version of the manuscript.
Funding
This research was funded by the Hungarian National Research Development and Innovation Office (NKFI), grant number NKFI-137793, the Chinese-Hungarian Intergovernmental S&T Cooperation Programme (Project Nos. CH-10-6/2024 and 2024-1.2.5-TÉT-2024-00006), and the New National Excellence Program of the Ministry for Innovation and Technology, Project No. TKP2021-EGA-17.
Institutional Review Board Statement
Not applicable.
Informed Consent Statement
Not applicable.
Data Availability Statement
The original contributions presented in this study are included in the article. Further inquiries can be directed to the corresponding author(s).
Conflicts of Interest
The authors declare no conflicts of interest.
References
- Myland, J.C.; Oldham, K.B. General theory of steady-state voltammetry. J. Electroanal. Chem. 1993, 347, 49–91. [Google Scholar] [CrossRef]
- Oldham, K.B. Theory of steady-state voltammetry without supporting electrolyte. J. Electroanal. Chem. 1992, 337, 91–126. [Google Scholar] [CrossRef]
- Cooper, J.B. Microelectrode studies without supporting electrolyte: Model and experimental comparison for singly and multiply charged ions. J. Electroanal. Chem. 1992, 331, 877–895. [Google Scholar] [CrossRef]
- Bond, A.M.; Fleischmann, M.; Robinson, J. Electrochemistry in organic solvents without supporting electrolyte using platinum microelectrodes. J. Electroanal. Chem. 1984, 168, 299–312. [Google Scholar] [CrossRef]
- Bradford, D.P.; Hector, D.A.; John, D.N.; Wendy, E.B.; Henry, S.W. Analysis of voltammetric half-wave potentials in low ionic strength solutions and voltammetric measurements of ion impurity concentrations. Anal. Chem. 1991, 63, 2766–2771. [Google Scholar] [CrossRef]
- David, O.W.; Wightman, R.M. Voltammetry with microvoltammetric electrodes in resistive solvents under linear diffusion conditions. Anal. Chem. 1990, 62, 98–102. [Google Scholar] [CrossRef]
- Bond, A.M.; Stephen, W.F.; Howard, B.G.; Peter, J.M.; Ray, C.; Tania, W. Instrumental, theoretical, and experimental aspects of determining thermodynamic and kinetic parameters from steady-state and non-steady-state cyclic voltammetry at microelectrodes in high-resistance solvents: Application to the fac/mer-[Cr(CO)3(η3−Ph2PCH2CH2P(Ph)CH2CH2PPh2)]+/0 square reaction scheme in dichloromethane. Anal. Chem. 1992, 64, 1014–1021. [Google Scholar]
- Oldham, K.B.; Terence, J.C.; Jose, H.S.; Bond, A.M. Effect of ion pairing on steady-state voltammetric limiting currents at microelectrodes. Part II. Experimental studies on charged (Br−, Ag+) and uncharged (copper diethyldithiocarbamate) species in toluene. J. Electroanal. Chem. 1997, 430, 39–46. [Google Scholar] [CrossRef]
- Darío, L.G.; Horacio, R.C. Electrochemistry in supercritical trifluoromethane. Electrochem. Commun. 2000, 2, 663–670. [Google Scholar] [CrossRef]
- Geng, L.; Andrew, G.E.; Jernigan, J.C.; Royce, W.M. Electrochemical reactions of solutes and of electroactive polymer films in low dielectric media: Toluene and heptane. Anal. Chem. 1986, 58, 852–860. [Google Scholar] [CrossRef]
- Bond, A.M.; Mann, T.F. Voltammetric measurements without ohmic and other forms of distortion in aromatic hydrocarbon solvents. Electrochim. Acta 1987, 32, 863–870. [Google Scholar] [CrossRef]
- Yun, F.; Johna, L. Voltammetry in gas phase environments. J. Electroanal. Chem. 1995, 384, 5–17. [Google Scholar] [CrossRef]
- Pamela, A.M.; Stephen, H.L. Feasibility studies for the detection of volatile organic compounds in the gas phase using microelectrode sensors. J. Electroanal. Chem. 1999, 460, 105–118. [Google Scholar] [CrossRef]
- John, R.L.S.; David, M. Amine oxidation. Part 13. Electrochemical oxidation of some substituted tertiary alkylamines. J. Chem. Soc. Perkin Trans. 1977, 2, 1732–1736. [Google Scholar]
- Teresa, L. Electrochemical behaviour of benzylamine, 2-phenylethylamine and 4-hydroxyphenylethylamine at gold. A comparative study. J. Appl. Electrochem. 2008, 38, 43–50. [Google Scholar]
- Teresa, L. Electrochemical oxidation of alkoholamines at gold. J. Appl. Electrochem. 2007, 37, 653–660. [Google Scholar]
- John, R.L.S.; David, M. Amine oxidation. Part IX. The electrochemical oxidation of some tertiary amines. The effect of structure on reactivity. J. Chem. Soc. Perkin Trans. 1976, 2, 47–51. [Google Scholar]
- Ashwin, K.V.M.; Angel, A.J.T. Mechanistic aspects of the electrochemical oxidation of aliphatic amines and aniline derivatives. Molecules 2023, 28, 471. [Google Scholar]
- Weinberg, N.L.; Brown, E.A. The anodic oxidation of organic compounds. II. The electrochemical alkoxylation of tertiary amines. J. Org. Chem. 1966, 31, 4058–4061. [Google Scholar] [CrossRef]
- Kiss, L.; Szabó, P. Acetic acid and ethyl acetate as solvents for electropolymerization reactions, considering 4-methoxyphenol and composition of solvent mixtures. Organics 2024, 5, 670–683. [Google Scholar] [CrossRef]
- Kiss, L. Studies on square wave and cyclic voltammetric behavior of 1,2- and 1,4-dihydroxybenzenes and their derivatives in acetic acid, ethyl acetate and mixtures of the two. Methods Protoc. 2024, 7, 102. [Google Scholar] [CrossRef] [PubMed]
- Agüí, L.; López-Guzmán, J.E.; González-Cortés, A.; Yánez-Sedeno, P.; Pingarrón, J.M. Analytical performance of cylindrical carbon fiber microelectrodes in low-permittivity organic solvents: Determination of vanillin in ethyl acetate. Anal. Chim. Acta 1999, 385, 241–248. [Google Scholar] [CrossRef]
- Hernández-Olmos, M.A.; Agüí, L.; Yánez-Sedeno, P.; Pingarrón, J.M. Analytical voltammetry in low-permittivity organic solvents using disk and cylindrical microelectrodes. Determination of thiram in ethyl acetate. Electrochim. Acta 2000, 46, 289–296. [Google Scholar] [CrossRef]
- Michalkiewicz, S.; Monika, T.; Maria, K.; Jan, M. Electrochemical behavior of tocopherols on microelectrodes in acetic acid medium. Electroanalysis 2002, 14, 297–302. [Google Scholar] [CrossRef]
- Michalkiewicz, S.; Monika, M.; Jan, M. Voltammetric study of some synthetic antioxidants on platinum microelectrodes in acetic acid medium. Electroanalysis 2004, 16, 588–595. [Google Scholar] [CrossRef]
- Michalkiewicz, S. Anodic oxidation of parabens in acetic acid–acetonitrile solutions. J. Appl. Electrochem. 2013, 43, 85–97. [Google Scholar] [CrossRef]
- Jan, M.; Monika, K. Electrochemical oxidation of trolox and α-tocopherol in acetic acid: A comparative study. J. Electroanal. Chem. 2006, 595, 136–144. [Google Scholar] [CrossRef]
Disclaimer/Publisher’s Note: The statements, opinions and data contained in all publications are solely those of the individual author(s) and contributor(s) and not of MDPI and/or the editor(s). MDPI and/or the editor(s) disclaim responsibility for any injury to people or property resulting from any ideas, methods, instructions or products referred to in the content. |
© 2025 by the authors. Licensee MDPI, Basel, Switzerland. This article is an open access article distributed under the terms and conditions of the Creative Commons Attribution (CC BY) license (https://creativecommons.org/licenses/by/4.0/).









