Insights into the Effect of Recycled Glass Fiber Reinforced Polymer on the Mechanical Strengths of Cement Mortar
Abstract
1. Introduction
2. Materials and Methods
2.1. Materials
2.2. Mortar Preparation
3. Test Methods
3.1. Flow Test
3.2. Mechanical Test
3.3. Porosity Measurement
3.4. Microscope Observations
4. Results and Discussion
5. Conclusions
- ▪
- The pre-mixing of water and rGFRP before adding cement and sand allowed the workability of all studied mixes to be maintained without adjusting the water to cement ratio.
- ▪
- The incorporation of rGFRP results in a decrease in mortar density. A significant loss of density was observed for mortars containing more fine particles due to the resin content.
- ▪
- A slight increase in water accessible porosity with the incorporation of rGFRP was observed.
- ▪
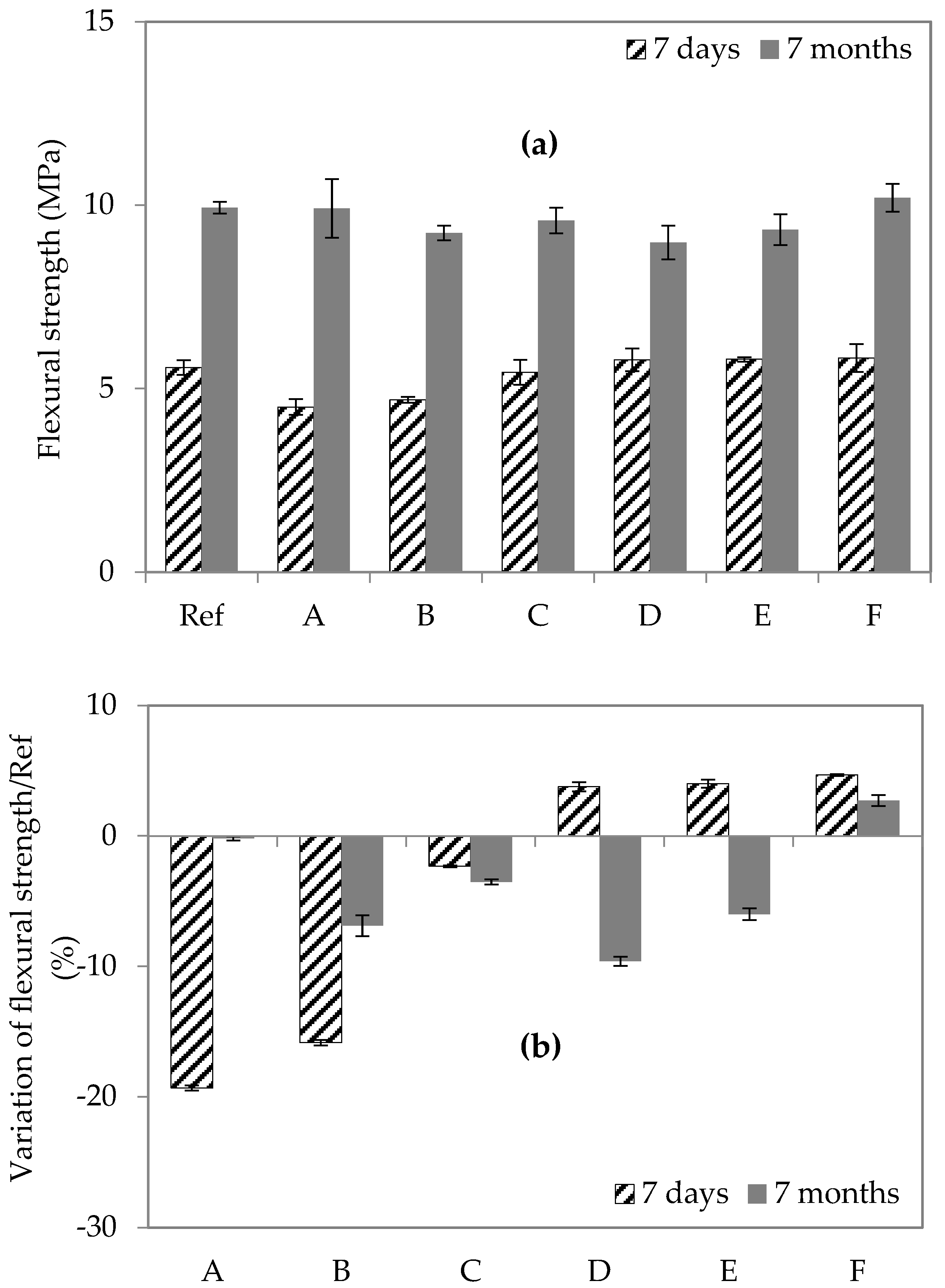
- No significant reduction in compressive strength for sample E (containing 0/2 mm) was observed, while sample F containing mainly glass fibers (>2 mm) exhibited a slight improvement in flexural strength.
- ▪
- No significant reduction was observed in compressive strength for sample F containing mainly fibers >2 mm.
- ▪
- Sample E seems the most suitable for a substitution of a part of sand, whereas for a reinforcement approach, particularly for crack propagation control, sample F containing mainly glass fibers (>2 mm) seems the most relevant.
- ▪
- rGFRP particles are still present in the cement matrix after 7 months of curing, despite the fact that the glass fibers are not alkali-resistant.
Author Contributions
Funding
Informed Consent Statement
Data Availability Statement
Conflicts of Interest
References
- Tao, Y.; Hadigheh, S.A.; Wei, Y. Recycling of Glass Fibre Reinforced Polymer (GFRP) Composite Wastes in Concrete: A Critical Review and Cost Benefit Analysis. Structures 2023, 53, 1540–1556. [Google Scholar] [CrossRef]
- Lefeuvre, A.; Garnier, S.; Jacquemin, L.; Pillain, B.; Sonnemann, G. Anticipating In-Use Stocks of Carbon Fiber Reinforced Polymers and Related Waste Flows Generated by the Commercial Aeronautical Sector until 2050. Resour. Conserv. Recycl. 2017, 125, 264–272. [Google Scholar] [CrossRef]
- Wei, Y.; Hadigheh, S.A. Cost Benefit and Life Cycle Analysis of CFRP and GFRP Waste Treatment Methods. Constr. Build. Mater. 2022, 348, 128654. [Google Scholar] [CrossRef]
- Karuppannan Gopalraj, S.; Kärki, T. A Review on the Recycling of Waste Carbon Fibre/Glass Fibre-Reinforced Composites: Fibre Recovery, Properties and Life-Cycle Analysis. SN Appl. Sci. 2020, 2, 433. [Google Scholar] [CrossRef]
- Liu, P.; Meng, F.; Barlow, C.Y. Wind Turbine Blade End-of-Life Options: An Eco-Audit Comparison. J. Clean. Prod. 2019, 212, 1268–1281. [Google Scholar] [CrossRef]
- Patel, K.; Gupta, R.; Garg, M.; Wang, B.; Dave, U. Development of FRC Materials with Recycled Glass Fibers Recovered from Industrial GFRP-Acrylic Waste. Adv. Mater. Sci. Eng. 2019, 2019, 4149708. [Google Scholar] [CrossRef]
- Baturkin, D.; Hisseine, O.A.; Masmoudi, R.; Tagnit-Hamou, A.; Massicotte, L. Valorization of Recycled FRP Materials from Wind Turbine Blades in Concrete. Resour. Conserv. Recycl. 2021, 174, 105807. [Google Scholar] [CrossRef]
- Krauklis, A.E.; Karl, C.W.; Gagani, A.I.; Jørgensen, J.K. Composite Material Recycling Technology—State-of-the-Art and Sustainable Development for the 2020s. J. Compos. Sci. 2021, 5, 28. [Google Scholar] [CrossRef]
- Hadigheh, S.A.; Wei, Y.; Kashi, S. Optimisation of CFRP Composite Recycling Process Based on Energy Consumption, Kinetic Behaviour and Thermal Degradation Mechanism of Recycled Carbon Fi Bre. J. Clean. Prod. 2021, 292, 125994. [Google Scholar] [CrossRef]
- Jiang, G.; Pickering, S.J.; Walker, G.S.; Wong, K.H.; Rudd, C.D. Surface Characterisation of Carbon Fibre Recycled Using Fluidised Bed. Appl. Surf. Sci. 2008, 254, 2588–2593. [Google Scholar] [CrossRef]
- Rani, M.; Choudhary, P.; Krishnan, V.; Zafar, S. A Review on Recycling and Reuse Methods for Carbon Fiber/Glass Fiber Composites Waste from Wind Turbine Blades. Compos. Part B 2021, 215, 108768. [Google Scholar] [CrossRef]
- Selvan, R.T.; Raja, P.C.V.; Mangal, P.; Mohan, N.; Bhowmik, S. Recycling Technology of Epoxy Glass Fiber and Epoxy Carbon Fiber Composites Used in Aerospace Vehicles. J. Compos. Mater. 2021, 55, 3281–3292. [Google Scholar] [CrossRef]
- Farinha, C.B.; de Brito, J.; Veiga, R. Assessment of Glass Fibre Reinforced Polymer Waste Reuse as Filler in Mortars. J. Clean. Prod. 2019, 210, 1579–1594. [Google Scholar] [CrossRef]
- Zhou, B.; Zhang, M.; Wang, L.; Ma, G. Experimental Study on Mechanical Property and Microstructure of Cement Mortar Reinforced with Elaborately Recycled GFRP Fiber. Cem. Concr. Compos. 2021, 117, 103908. [Google Scholar] [CrossRef]
- Chen, X.; Chen, H.; Tan, W. Effect of Glass Powder on the Mechanical and Drying Shrinkage of Glass-Fiber-Reinforced Cementitious Composites. Case Stud. Constr. Mater. 2022, 17, e01587. [Google Scholar] [CrossRef]
- Tittarelli, F.; Moriconi, G. Use of GRP Industrial By-Products in Cement Based Composites. Cem. Concr. Compos. 2010, 32, 219–225. [Google Scholar] [CrossRef]
- Correia, J.R.; Almeida, N.M.; Figueira, J.R. Recycling of FRP Composites: Reusing Fine GFRP Waste in Concrete Mixtures. J. Clean. Prod. 2011, 19, 1745–1753. [Google Scholar] [CrossRef]
- El Bitouri, Y.; Fofana, B.; Léger, R.; Perrin, D.; Ienny, P. The Effects of Replacing Sand with Glass Fiber-Reinforced Polymer (GFRP) Waste on the Mechanical Properties of Cement Mortars. Eng 2024, 5, 266–281. [Google Scholar] [CrossRef]
- Wang, P.; Wu, H.L.; Li, W.W.; Leung, C.K. Mechanical Properties and Microstructure of Glass Fiber Reinforced Polymer (GFRP) Rebars Embedded in Carbonated Reactive MgO-Based Concrete (RMC). Cem. Concr. Compos. 2023, 142, 105207. [Google Scholar] [CrossRef]
- Ribeiro, M.C.S.; Meira-Castro, A.C.; Silva, F.G.; Santos, J.; Meixedo, J.P.; Fiúza, A.; Dinis, M.L.; Alvim, M.R. Re-Use Assessment of Thermoset Composite Wastes as Aggregate and Filler Replacement for Concrete-Polymer Composite Materials: A Case Study Regarding GFRP Pultrusion Wastes. Resour. Conserv. Recycl. 2015, 104, 417–426. [Google Scholar] [CrossRef]
- Yazdanbakhsh, A.; Bank, L.C.; Rieder, K.-A.; Tian, Y.; Chen, C. Concrete with Discrete Slender Elements from Mechanically Recycled Wind Turbine Blades. Resour. Conserv. Recycl. 2018, 128, 11–21. [Google Scholar] [CrossRef]
- Tittarelli, F.; Shah, S.P. Effect of Low Dosages of Waste GRP Dust on Fresh and Hardened Properties of Mortars: Part 1. Constr. Build. Mater. 2013, 47, 1532–1538. [Google Scholar] [CrossRef]
- Yazdanbakhsh, A.; Bank, L.C.; Chen, C. Use of Recycled FRP Reinforcing Bar in Concrete as Coarse Aggregate and Its Impact on the Mechanical Properties of Concrete. Constr. Build. Mater. 2016, 121, 278–284. [Google Scholar] [CrossRef]
- Oliveira, P.S.; Antunes, M.L.P.; da Cruz, N.C.; Rangel, E.C.; de Azevedo, A.R.G.; Durrant, S.F. Use of Waste Collected from Wind Turbine Blade Production as an Eco-Friendly Ingredient in Mortars for Civil Construction. J. Clean. Prod. 2020, 274, 122948. [Google Scholar] [CrossRef]
- Xu, G.; Liu, M.; Xiang, Y.; Fu, B. Valorization of Macro Fibers Recycled from Decommissioned Turbine Blades as Discrete Reinforcement in Concrete. J. Clean. Prod. 2022, 379, 134550. [Google Scholar] [CrossRef]
- Mastali, M.; Dalvand, A.; Sattarifard, A.R.; Abdollahnejad, Z. Effect of Different Lengths and Dosages of Recycled Glass Fibres on the Fresh and Hardened Properties of SCC. Mag. Concr. Res. 2018, 70, 1175–1188. [Google Scholar] [CrossRef]
- Mastali, M.; Dalvand, A.; Sattarifard, A.R. The Impact Resistance and Mechanical Properties of Reinforced Self- Compacting Concrete with Recycled Glass Fi Bre Reinforced Polymers. J. Clean. Prod. 2016, 124, 312–324. [Google Scholar] [CrossRef]
- Oliveira, R.; De Brito, J.; Veiga, R. Incorporation of Fine Glass Aggregates in Renderings. Constr. Build. Mater. 2013, 44, 329–341. [Google Scholar] [CrossRef]
- ISO 1172; Textile-Glass-Reinforced Plastics—Prepregs, Moulding Compounds and Laminates—Determination of the Textile-Glass and Mineral-Filler Content Using Calcination Methods. European Committee for Standardization: Brussels, Belgium.
- EN 196-1:2016; Methods of Testing Cement—Part 1: Determination of Strength. European Committee for Standardization: Brussels, Belgium, 2016.
- EN 1015-3; Methods of Test for Mortar for Masonry—Part 3: Determination of Consistence of Fresh Mortar (by Flow Table). European Committee for Standardization: Brussels, Belgium, 1999.








| Materials | Cement | Sand | rGFRP | ||||
|---|---|---|---|---|---|---|---|
| 2 mm | 1.25 mm | 0.63 mm | 0.16 mm | 0.063 mm | |||
| Measured density (g/cm3) | 3.2 | 2.7 | 2.1 | 1.9 | 1.7 | 1.6 | 1.6 |
| Fiber/Resin content (%) | - | - | 74/26 | 54/46 | 55/45 | 34/66 | 14/86 |
| Samples | Cement | Water | Sand | rGFRP | ||||
|---|---|---|---|---|---|---|---|---|
| (g) | (g) | (g) | (%) | |||||
| 2 mm | 1.25 mm | 0.63 mm | 0.16 mm | 0.063 mm | ||||
| Ref | 450 | 225 | 1350 | |||||
| A | 450 | 225 | 1215 | 100 | ||||
| B | 450 | 225 | 1215 | 50 | 50 | |||
| C | 450 | 225 | 1215 | 100 | ||||
| D | 450 | 225 | 1215 | 33.3 | 33.3 | 33.3 | ||
| E | 450 | 225 | 1215 | 33.3 | 16.5 | 16.5 | 16.5 | 16.5 |
| F | 450 | 225 | 1215 | 100 | ||||
Disclaimer/Publisher’s Note: The statements, opinions and data contained in all publications are solely those of the individual author(s) and contributor(s) and not of MDPI and/or the editor(s). MDPI and/or the editor(s) disclaim responsibility for any injury to people or property resulting from any ideas, methods, instructions or products referred to in the content. |
© 2024 by the authors. Licensee MDPI, Basel, Switzerland. This article is an open access article distributed under the terms and conditions of the Creative Commons Attribution (CC BY) license (https://creativecommons.org/licenses/by/4.0/).
Share and Cite
Kaboré, M.W.; El Bitouri, Y.; Lharti, H.; Salgues, M.; Frugier, J.; Léger, R.; Perrin, D.; Ienny, P.; Garcia-Diaz, E. Insights into the Effect of Recycled Glass Fiber Reinforced Polymer on the Mechanical Strengths of Cement Mortar. Eng 2024, 5, 2966-2977. https://doi.org/10.3390/eng5040154
Kaboré MW, El Bitouri Y, Lharti H, Salgues M, Frugier J, Léger R, Perrin D, Ienny P, Garcia-Diaz E. Insights into the Effect of Recycled Glass Fiber Reinforced Polymer on the Mechanical Strengths of Cement Mortar. Eng. 2024; 5(4):2966-2977. https://doi.org/10.3390/eng5040154
Chicago/Turabian StyleKaboré, Mohamed Wendlassida, Youssef El Bitouri, Habiba Lharti, Marie Salgues, Jérémy Frugier, Romain Léger, Didier Perrin, Patrick Ienny, and Eric Garcia-Diaz. 2024. "Insights into the Effect of Recycled Glass Fiber Reinforced Polymer on the Mechanical Strengths of Cement Mortar" Eng 5, no. 4: 2966-2977. https://doi.org/10.3390/eng5040154
APA StyleKaboré, M. W., El Bitouri, Y., Lharti, H., Salgues, M., Frugier, J., Léger, R., Perrin, D., Ienny, P., & Garcia-Diaz, E. (2024). Insights into the Effect of Recycled Glass Fiber Reinforced Polymer on the Mechanical Strengths of Cement Mortar. Eng, 5(4), 2966-2977. https://doi.org/10.3390/eng5040154

