Selective Hydrogenation Properties of Ni-Based Bimetallic Catalysts
Abstract
:1. Introduction
2. Preparation Methods of Ni-Based Bimetallic Nanoparticles
3. Catalytic Applications of Ni-Based Bimetallic Nanoparticles for Hydrogenation Reactions
3.1. Hydrogenation of Alkynes
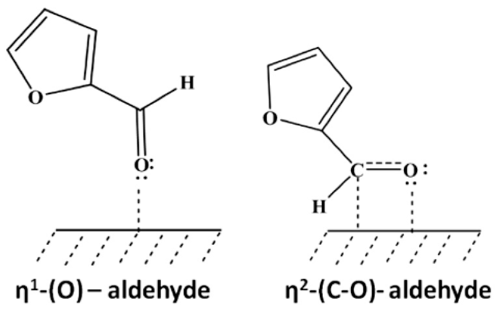
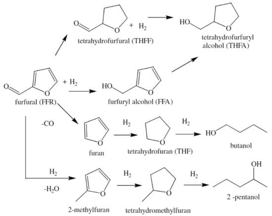
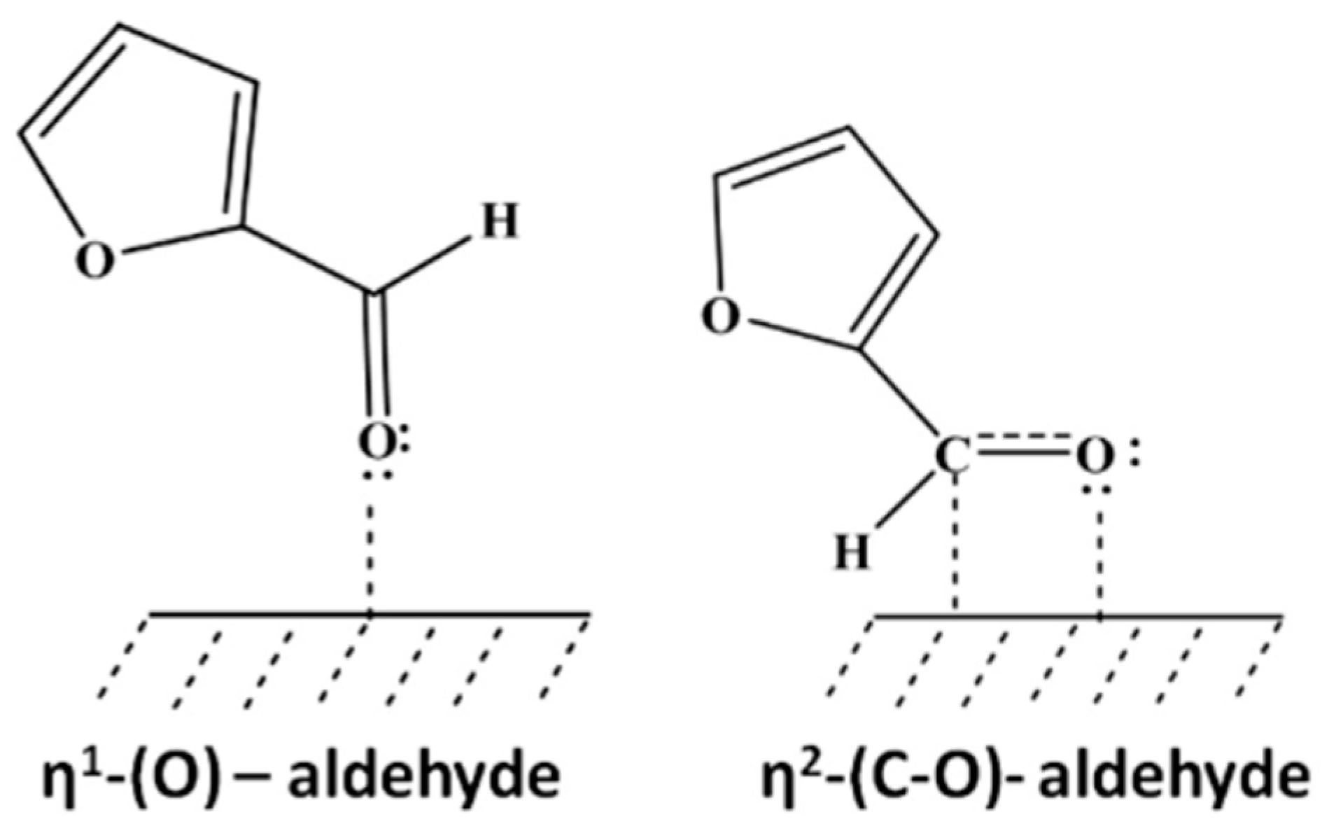
3.2. Hydrogenation of Unsaturated Carbonyl Compounds
3.3. Hydrogenation of Unsaturated Nitro Compounds
3.4. One-Pot Reductive Coupling of Nitrobenzene and Benzaldehyde
4. Conclusions
Author Contributions
Funding
Acknowledgments
Conflicts of Interest
References
- Corma, A.; Serna, P.; Concepcićn, P.; Calvino, J.J. Transforming nonselective into chemoselective metal catalysts for the hydrogenation of substituted nitroaromatics. J. Am. Chem. Soc. 2008, 130, 8748–8753. [Google Scholar] [CrossRef] [PubMed]
- Zhou, P.; Li, D.; Jin, S.; Chen, S.; Zhang, Z. Catalytic transfer hydrogenation of nitro compounds into amines over magnetic graphene oxide supported Pd nanoparticles. Int. J. Hydrogen Energy 2016, 41, 15218–15224. [Google Scholar] [CrossRef]
- Available online: https://www.sciencedirect.com/topics/engineering/homogeneous-catalyst (accessed on 8 February 2021).
- Mei, N.; Liu, B. Pd nanoparticles supported on Fe3O4@C: An effective heterogeneous catalyst for the transfer hydrogenation of nitro compounds into amines. Int. J. Hydrogen Energy 2016, 41, 17960–17966. [Google Scholar] [CrossRef]
- Niu, H.; Lu, J.; Song, J.; Pan, L.; Zhang, X.; Wang, L.; Zou, J.-J. Iron oxide as a catalyst for nitroarene hydrogenation: Important role of oxygen vacancies. Ind. Eng. Chem. Res. 2016, 55, 8527–8533. [Google Scholar] [CrossRef]
- Shesterkina, A.A.; Kustov, L.M.; Strekalova, A.A.; Kazansky, V.B. Heterogeneous iron-containing nanocatalysts—Promising systems for selective hydrogenation and hydrogenolysis. Catal. Sci. Technol. 2020, 10, 3160–3174. [Google Scholar] [CrossRef]
- Su, B.; Cao, Z.-C.; Shi, Z.-J. Exploration of earth-abundant transition metals (Fe, Co, and Ni) as catalysts in unreactive chemical bond activations. Acc. Chem. Res. 2015, 48, 886–896. [Google Scholar] [CrossRef] [PubMed]
- Che, M. Nobel Prize in chemistry 1912 to Sabatier: Organic chemistry or catalysis? Catal. Today 2013, 218–219, 162–171. [Google Scholar] [CrossRef]
- Wei, H.; Ren, Y.; Wang, A.; Liu, X.; Liu, X.; Zhang, L.; Miao, S.; Li, L.; Liu, J.; Wang, J.; et al. Remarkable effect of alkalis on the chemoselective hydrogenation of functionalized nitroarenes over high-loading Pt/FeOx catalysts. Chem. Sci. 2017, 8, 5126–5131. [Google Scholar] [CrossRef] [PubMed] [Green Version]
- Blaser, H.-U.; Steiner, H.; Studer, M. Selective Catalytic Hydrogenation of Functionalized Nitroarenes: An Update. ChemCatChem 2009, 1, 210–221. [Google Scholar] [CrossRef]
- Wei, H.; Wei, X.; Yang, X.; Yin, G.; Wang, A.; Liu, X.; Huang, Y.; Zhang, T. Supported Au-Ni nano-alloy catalysts for the chemoselective hydrogenation of nitroarenes. Chin. J. Catal. 2015, 36, 160–167. [Google Scholar] [CrossRef]
- Shi, D.; Wojcieszak, R.; Paul, S.; Marceau, E. Ni Promotion by Fe: What Benefits for Catalytic Hydrogenation? Catalysts 2019, 9, 451. [Google Scholar] [CrossRef] [Green Version]
- Onda, A.; Komatsu, T.; Yashima, T. Characterizations and catalytic properties of fine particles of Ni-Sn intermetallic compounds supported on SiO2. J. Catal. 2003, 221, 378–385. [Google Scholar] [CrossRef]
- Kaul, B.K. John Sinfelt: A Pioneer in Catalysis. Ind. Eng. Chem. Res. 2003, 42, 1535–1536. [Google Scholar] [CrossRef]
- Li, L.; Niu, Z.; Cai, S.; Zhi, Y.; Li, H.; Rong, H.; Liu, L.; Liu, L.; He, W.; Li, Y. A PdAg bimetallic nanocatalyst for selective reductive amination of nitroarenes. Chem. Commun. 2013, 49, 6843–6845. [Google Scholar] [CrossRef] [PubMed]
- Wang, Y.P.; Li, B.S.; Fu, H.Z. Solid Solution or Intermetallics in a High-Entropy Alloy. Adv. Eng. Mater. 2009, 11, 641–644. [Google Scholar] [CrossRef]
- Zhang, Q.; Kusada, K.; Wu, D.; Yamamoto, T.; Toriyama, T.; Matsumura, S.; Kawaguchi, S.; Kubota, Y.; Kitagawa, H. Selective control of fcc and hcp crystal structures in Au-Ru solid-solution alloy nanoparticles. Nat. Commun. 2018, 9, 510–519. [Google Scholar] [CrossRef] [PubMed] [Green Version]
- Chen, T.; Foo, C.; Tsang, S.C.E. Interstitial and substitutional light elements in transition metals for heterogeneous catalysis. Chem. Sci. 2021, 12, 517–532. [Google Scholar] [CrossRef]
- Available online: https://www.sciencedirect.com/topics/materials-science/intermetallic-compound (accessed on 9 February 2021).
- Liu, C.-J.; Ye, J.; Jiang, J.; Pan, Y. Progresses in the Preparation of Coke Resistant Ni-based Catalyst for Steam and CO2 Reforming of Methane. ChemCatChem 2011, 3, 529–541. [Google Scholar] [CrossRef]
- Li, S.; Gong, J. Strategies for improving the performance and stability of Ni-based catalysts for reforming reactions. Chem. Soc. Rev. 2014, 43, 7245–7256. [Google Scholar] [CrossRef] [PubMed]
- Hasnan, N.S.N.; Timmiati, S.N.; Lim, K.L.; Yaakob, Z.; Kamaruddin, N.H.N.; Teh, L. Recent developments in methane decomposition over heterogeneous catalysts: An overview. Mater. Renew. Sustain. Energy 2020, 9, 1–18. [Google Scholar] [CrossRef] [Green Version]
- Meloni, E.; Martino, M.; Palma, V. A Short Review on Ni Based Catalysts and Related Engineering Issues for Methane Steam Reforming. Catalysts 2020, 10, 352. [Google Scholar] [CrossRef] [Green Version]
- Bian, Z.; Das, S.; Wai, M.H.; Hongmanorom, P.; Kawi, S. A review on bimetallic nickel-based catalysts for CO2 reforming of methane. ChemPhysChem 2017, 17, 3117–3134. [Google Scholar] [CrossRef] [PubMed] [Green Version]
- Wu, Q.; Eriksen, W.L.; Duchstein, L.D.L.; Christensen, J.M.; Damsgaard, C.D.; Wagner, J.B.; Temel, B.; Grunwaldt, J.-D.; Jensen, A.D. Influence of preparation method on supported Cu-Ni alloys and their catalytic properties in high pressure CO hydrogenation. Catal. Sci. Technol. 2014, 4, 378–386. [Google Scholar] [CrossRef]
- Louis, C. Chemical Preparation of Supported Bimetallic Catalysts. Gold-Based Bimetallic, a Case Study. Catalysts 2016, 6, 110. [Google Scholar] [CrossRef]
- Available online: https://www.sciencedirect.com/topics/engineering/catalyst-preparation (accessed on 4 March 2021).
- Liu, T.C.; Chiu, S.J. Promoting Effect of Tin on Ni/C Catalyst for Methanol Carbonylation. Ind. Eng. Chem. Res. 1994, 33, 488–492. [Google Scholar] [CrossRef]
- Yoshida, H.; Kawakami, Y.; Tokuzumi, W.; Shimokawa, Y.; Hirakawa, T.; Ohyama, J.; Machida, M. Low-Temperature NO Reduction over Fe-Ni Alloy Nanoparticles Using Synergistic Effects of Fe and Ni in a Catalytic NO-CO-C3H6-O2 Reaction. Bull. Chem. Soc. Jpn. 2020, 93, 1050–1055. [Google Scholar] [CrossRef]
- Leteba, G.M.; Mitchell, D.R.G.; Levecque, P.B.J.; van Steen, E.; Lang, C. Topographical and compositional engineering of core-shell Ni@Pt ORR electro-catalysts. RSC Adv. 2020, 10, 29268–29277. [Google Scholar] [CrossRef]
- López, P.; Mondragón-Galicia, G.; Espinosa-Pesqueira, M.E.; Mendoza-Anaya, D.; Fernández, M.E.; Gómez-Cortés, A.; Bonifacio, J.; Martínez-Barrera, G.; Pérez-Hernández, R. Hydrogen production from oxidative steam reforming of methanol: Effect of the Cu and Ni impregnation on ZrO2 and their molecular simulation studies. Int. J. Hydrogen Energy 2012, 37, 9018–9027. [Google Scholar] [CrossRef]
- Vetere, V.; Merlo, A.B.; Ruggera, J.F.; Casella, M.L. Transition metal-based bimetallic catalysts for the chemoselective hydrogenation of furfuraldehyde. J. Braz. Chem. Soc. 2010, 21, 914–920. [Google Scholar] [CrossRef] [Green Version]
- Deghedi, L.; Basset, J.-M.; Candy, J.-P.; Dalmon, J.-A.; Dubreuil, A.-C.; Fisher, L. Nanosized bimetallic Ni-Sn and Ni-Zr catalysts prepared by SOMC/M route. Characterization and catalytic properties in styrene selective hydrogenation. Chem. Eng. Trans. 2009, 17, 31–36. [Google Scholar]
- Onda, A.; Komatsu, T.; Yashima, T. Preparation and Catalytic Properties of Single-Phase Ni–Sn Intermetallic Compound Particles by CVD of Sn(CH3)4 onto Ni/Silica. J. Catal. 2001, 201, 13–21. [Google Scholar] [CrossRef]
- Komatsu, T.; Kishi, T.; Gorai, T. Preparation and catalytic properties of uniform particles of Ni3Ge intermetallic compound formed inside the mesopores of MCM-41. J. Catal. 2008, 259, 174–182. [Google Scholar] [CrossRef]
- Onda, A.; Komatsu, T.; Yashima, T. Characterization and catalytic properties of Ni-Sn intermetallic compounds in acetylene hydrogenation. Phys. Chem. Chem. Phys. 2000, 2, 2999–3005. [Google Scholar] [CrossRef]
- Dong, H.; Chen, Y.-C.; Feldmann, C. Polyol synthesis of nanoparticles: Status and options regarding metals, oxides, chalcogenides, and non-metal elements. Green Chem. 2015, 17, 4107–4132. [Google Scholar] [CrossRef]
- Cable, R.E.; Schaak, R.E. Low-Temperature Solution Synthesis of Nanocrystalline Binary Intermetallic Compounds Using the Polyol Process. Chem. Mater. 2005, 17, 6835–6841. [Google Scholar] [CrossRef]
- Dijith, K.S.; Aiswarya, R.; Praveen, M.; Pillai, S.; Surendran, K.P. Polyol derived Ni and NiFe alloys for effective shielding of electromagnetic interference. Mater. Chem. Front. 2018, 2, 1829–1841. [Google Scholar] [CrossRef]
- Li, Y.D.; Li, L.O.; Liao, H.W.; Wang, H.R. Preparation of pure nickel, cobalt, nickel-cobalt and nickel-copper alloys by hydrothermal reduction. J. Mater. Chem. 1999, 9, 2675–2677. [Google Scholar] [CrossRef]
- Khairi, S.; Hara, T.; Ichikuni, N.; Shimazu, S. Highly efficient and selective hydrogenation of unsaturated carbonyl compounds using Ni-Sn alloy catalysts. Catal. Sci. Technol. 2012, 2, 2139–2145. [Google Scholar]
- Putro, W.S.; Hara, T.; Ichikuni, N.; Shimazu, S. Efficiently Recyclable and Easily Separable Ni-Fe Alloy Catalysts for Chemoselective Hydrogenation of Biomass-derived Furfural. Chem. Lett. 2017, 46, 149–151. [Google Scholar] [CrossRef]
- Rodiansono, R.; Astuti, M.D.; Mujiyanti, D.R.; Santoso, U.T.; Shimazu, S. Novel preparation method of bimetallic Ni-In alloy catalysts supported on amorphous alumina for the highly selective hydrogenation of furfural. Mol. Catal. 2018, 445, 52–60. [Google Scholar] [CrossRef]
- Liu, Y.; Liu, X.; Feng, Q.; He, D.; Zhang, L.; Lian, C.; Shen, R.; Zhao, G.; Ji, Y.; Wang, D.; et al. Intermetallic NixMy (M = Ga and Sn) nanocrystals: A non-precious metal catalyst for semi-hydrogenation of alkynes. Adv. Mater. 2016, 28, 4747–4754. [Google Scholar] [CrossRef] [PubMed]
- Borodzinski, A.; Bond, G.C. Selective Hydrogenation of Ethyne in Ethene-Rich Streams on Palladium Catalysts, Part 2: Steady-State Kinetics and Effects of Palladium Particle Size, Carbon Monoxide, and Promoters. Catal. Rev. 2008, 50, 379–469. [Google Scholar] [CrossRef]
- Studt, F.; Abild-Pedersen, F.; Bligaard, T.; Sørensen, R.Z.; Christensen, C.H.; Nørskov, J.K. On the role of surface modifications of palladium catalysts in the selective hydrogenation of acetylene. Angew. Chem. Int. Ed. 2008, 47, 9299–9302. [Google Scholar] [CrossRef] [PubMed]
- Chan, C.W.A.; Mahadi, A.H.; Li, M.M.-J.; Corbos, E.C.; Tang, C.; Jones, G.; Kuo, W.C.H.; Cookson, J.; Brown, C.M.; Bishop, P.T.; et al. Interstitial modification of palladium nanoparticles with boron atoms as a green catalyst for selective hydrogenation. Nat. Commun. 2014, 5, 5787–5807. [Google Scholar] [CrossRef]
- Studt, F.; Abild-Pedersen, F.; Bligaard, T.; Sørensen, R.Z.; Christensen, C.H.; Nørskov, J.K. Identification of Non-Precious Metal Alloy Catalysts for Selective Hydrogenation of Acetylene. Science 2008, 320, 1320–1322. [Google Scholar] [CrossRef] [PubMed]
- Molnár, Á.; Sárkány, A.; Varga, M. Hydrogenation of carbon–carbon multiple bonds: Chemo-, regio- and stereo-selectivity. J. Mol. Catal. A Chem. 2001, 173, 185–221. [Google Scholar] [CrossRef]
- Pei, G.X.; Liu, X.Y.; Wang, A.; Su, Y.; Li, L.; Zhang, T. Selective hydrogenation of acetylene in an ethylene-rich stream over silica supported Ag-Ni bimetallic catalysts. Appl. Catal. A Gen. 2017, 545, 90–96. [Google Scholar] [CrossRef]
- Kabir, L.; Mandal, A.; Mandal, S. Polymer stabilized Ni–Ag and Ni–Fe alloy nanoclusters: Structural and magnetic properties. J. Magn. Magn. Mater. 2010, 322, 934–939. [Google Scholar] [CrossRef]
- Hansen, M.; Anderko, K.; Salzberg, H.W. Constitution of Binary Alloys. J. Electrochem. Soc. 1958, 105, 260C. [Google Scholar] [CrossRef]
- Franciosi, A.; Weaver, J.H.; Schmidt, F.A. Electronic structure of nickel silicides Ni2Si, NiSi, and NiSi2. Phys. Rev. B 1982, 26, 546–553. [Google Scholar] [CrossRef]
- Chen, X.; Li, M.; Guan, J.; Wang, X.; Williams, C.T.; Liang, C. Nickel-silicon intermetallics with enhanced selectivity in hydrogenation reactions of cinnamaldehyde and phenylacetylene. Ind. Eng. Chem. Res. 2012, 51, 3604–3611. [Google Scholar] [CrossRef]
- Zhang, J.; Chen, J. Selective transfer hydrogenation of biomass-based furfural and 5-hydroxymethylfurfural over hydrotalcite-derived copper catalysts using methanol as a hydrogen donor. ACS Sustain. Chem. Eng. 2017, 5, 5982–5993. [Google Scholar] [CrossRef]
- Wang, Y.; Cui, Q.; Guan, Y.; Wu, P. Facile synthesis of furfuryl ethyl ether in high yield via the reductive etherification of furfural in ethanol over Pd/C under mild conditions. Green Chem. 2018, 20, 2110–2117. [Google Scholar] [CrossRef]
- Aellig, C.; Jenny, F.; Scholz, D.; Wolf, P.; Giovinazzo, I.; Kollhoff, F.; Hermans, I. Combined 1,4-butanediol lactonization and transfer hydrogenation/hydrogenolysis of furfural-derivatives under continuous flow conditions. Catal. Sci. Technol. 2014, 4, 2326–2331. [Google Scholar] [CrossRef]
- Nakagawa, Y.; Takada, K.; Tamura, M.; Tomishige, K. Total Hydrogenation of Furfural and 5-Hydroxymethylfurfural over Supported Pd–Ir Alloy Catalyst. ACS Catal. 2014, 4, 2718–2726. [Google Scholar] [CrossRef]
- Wang, S.; Vorotnikov, V.; Vlachos, D.G. Coverage-induced conformational effects on activity and selectivity: Hydrogenation and decarbonylation of furfural on Pd(111). ACS Catal. 2015, 5, 104–112. [Google Scholar] [CrossRef] [Green Version]
- Xiang, X.; Zhang, B.; Ding, G.; Cui, J.; Zheng, H.; Zhu, Y. The effect of Mg(OH)2 on furfural oxidation with H2O2. Catal. Commun. 2016, 86, 41–45. [Google Scholar] [CrossRef]
- Merlo, A.B.; Vetere, V.; Ruggera, J.F.; Casella, M.L. Bimetallic PtSn catalyst for the selective hydrogenation of furfural to furfuryl alcohol in liquid-phase. Catal. Commun. 2009, 10, 1665–1669. [Google Scholar] [CrossRef]
- Wei, H.; Gomez, C.; Liu, J.; Guo, N.; Wu, T.; Lobo-Lapidus, R.; Marshall, C.L.; Miller, J.T.; Meyer, R.J. Selective hydrogenation of acrolein on supported silver catalysts: A kinetics study of particle size effects. J. Catal. 2013, 298, 18–26. [Google Scholar] [CrossRef]
- Delbecq, F.; Sautet, P. Influence of Sn additives on the selectivity of hydrogenation of a-b-unsaturated aldehydes with Pt catalysts: A density functional study of molecular adsorption. J. Catal. 2003, 220, 115–126. [Google Scholar] [CrossRef]
- Li, C.; Chen, Y.; Zhang, S.; Xu, S.; Zhou, J.; Wang, F.; Wei, M.; Evans, D.G.; Duan, X. Ni-In intermetallic nanocrystals as efficient catalysts toward unsaturated aldehydes hydrogenation. Chem. Mater. 2013, 25, 3888–3896. [Google Scholar] [CrossRef]
- Putro, W.S.; Kojima, T.; Hara, T.; Ichikuni, N.; Shimazu, S. Selective hydrogenation of unsaturated carbonyls by Ni–Fe-based alloy catalysts. Catal. Sci. Technol. 2017, 7, 3637–3646. [Google Scholar] [CrossRef]
- Li, H.; Luo, H.; Zhuang, L.; Dai, W.; Qiao, M. Liquid phase hydrogenation of furfural to furfuryl alcohol over the Fe-promoted Ni-B amorphous alloy catalysts. J. Mol. Catal. A Chem. 2003, 203, 267–275. [Google Scholar] [CrossRef]
- Weerachawanasak, P.; Krawmanee, P.; Inkamhaeng, W.; Aires, F.J.C.S.; Sooknoi, T.; Panpranot, J. Development of bimetallic Ni-Cu/SiO2 catalysts for liquid phase selective hydrogenation of furfural to furfuryl alcohol. Catal. Commun. 2021, 149, 106221–106226. [Google Scholar] [CrossRef]
- Du, H.; Ma, X.; Yan, P.; Jiang, M.; Zhao, Z.; Zhang, Z.C. Catalytic furfural hydrogenation to furfuryl alcohol over Cu/SiO2 catalysts: A comparative study of the preparation methods. Fuel Process. Technol. 2019, 193, 221–231. [Google Scholar] [CrossRef]
- Sitthis, S.; Resasco, D.E. Hydrodeoxygenation of furfural over supported metal catalysts: A comparative study of Cu, Pd and Ni. Catal. Lett. 2011, 141, 784–791. [Google Scholar] [CrossRef]
- Bhogeswararao, S.; Srinivas, D. Catalytic conversion of furfural to industrial chemicals over supported Pt and Pd catalysts. J. Catal. 2015, 327, 65–77. [Google Scholar] [CrossRef]
- Wang, H.; Shu, Y.; Zheng, M.; Zhang, T. Selective Hydrogenation of Cinnamaldehyde to Hydrocinnamaldehyde over SiO2 Supported Nickel Phosphide Catalysts. Catal. Lett. 2008, 124, 219–225. [Google Scholar] [CrossRef]
- Reddy, S.K.; Enumula, S.S.; Koppadi, K.S.; Kamaraju, S.R.R.; Burri, D.R. Gas phase transfer hydrogenation of α, β-unsaturated carbonyl compounds into saturated carbonyl compounds over supported Cu catalysts. Mol. Catal. 2020, 482, 110686. [Google Scholar]
- Stinner, C.; Tang, Z.; Haouas, M.; Weber, T.; Prins, R. Preparation and 31P NMR Characterization of Nickel Phosphides on Silica. J. Catal. 2002, 208, 456–466. [Google Scholar] [CrossRef]
- Ono, N. The Nitro Group in Organic Synthesis; Wiley-VCH: New York, NY, USA, 2001. [Google Scholar]
- Rylander, P.N. Catalytic Hydrogenation in Organic Synthesis; Academic Press: New York, NY, USA, 1979. [Google Scholar]
- Yamanaka, N.; Hara, T.; Ichikuni, N.; Shimazu, S. Chemoselective hydrogenation of unsaturated nitro compounds to unsaturated amines by Ni-Sn alloy catalysts. Chem. Lett. 2018, 47, 971–974. [Google Scholar] [CrossRef]
- Yamanaka, N.; Hara, T.; Ichikuni, N.; Shimazu, S. Chemoselective Hydrogenation of 4-Nitrostyrene to 4-Aminostyrene by Highly Efficient TiO2 Supported Ni3Sn2 Alloy Catalyst. Bull. Chem. Soc. Jpn. 2019, 92, 811–816. [Google Scholar] [CrossRef]
- Liu, L.; Gao, F.; Concepción, P.; Corma, A. A new strategy to transform mono and bimetallic non-noble metal nanoparticles into highly active and chemoselective hydrogenation catalysts. J. Catal. 2017, 350, 218–225. [Google Scholar] [CrossRef] [Green Version]
- Xu, J.; Zhu, J.; Liu, Y.; Long, Y.; Feng, J.; Yang, X.; Zhang, Y.; Song, S.; Zhang, H. In situ construction of Pt-Ni NF@Ni-MOF-74 for selective hydrogenation of p-nitrostyrene by ammonia borane. Chem. Eur. J. 2020, 26, 12539–12543. [Google Scholar] [CrossRef]
- Agrawal, A.; Tratnyek, P.G. Reduction of Nitro Aromatic Compounds by Zero-Valent Iron Metal. Environ. Sci. Technol. 1996, 30, 153–160. [Google Scholar] [CrossRef]
- Petkar, D.R.; Kadu, B.S.; Chikate, R.C. Highly efficient and chemoselective transfer hydrogenation of nitroarenes at room temperature over magnetically separable Fe–Ni bimetallic nanoparticles. RSC Adv. 2014, 4, 8004–8010. [Google Scholar] [CrossRef]
- Wen, H.; Yao, K.; Zhang, Y.; Zhou, Z.; Kirschning, A. Catalytic transfer hydrogenation of aromatic nitro compounds in presence of polymer-supported nano-amorphous Ni–B catalyst. Catal. Commun. 2009, 10, 1207–1211. [Google Scholar] [CrossRef]
- Xiong, Z.; Mi, Z.; Zhang, X. A Pd-B/g-Al2O3 amorphous alloy catalyst for hydrogenation of tricyclopentadiene to tetrahydrotricyclopentadiene. Catal. Commun. 2007, 8, 571–575. [Google Scholar] [CrossRef]
- Chen, Y. Chemical preparation and characterization of metal–metalloid ultrafine amorphous alloy particles. Catal. Today 1998, 44, 3–16. [Google Scholar] [CrossRef]
- Li, M.; Hao, Y.; Cárdenas-Lizana, F.; Keane, M.A. Gold promoted imine production by selective gas phase reductive coupling of nitrobenzene and benzaldehyde. Appl. Catal. A Gen. 2017, 531, 52–59. [Google Scholar] [CrossRef]
- Shimizu, K.-I.; Imaiida, N.; Kon, K.; Siddiki, S.M.A.H.; Satsuma, A. Heterogeneous Ni Catalysts for N-Alkylation of Amines with Alcohols. ACS Catal. 2013, 3, 998–1005. [Google Scholar] [CrossRef]
- Das, B.; Ravikanth, B.; Laxminarayana, K.; Rao, B.V. A simple and facile synthesis of homoallylic amines using silica supported sodium hydrogen sulfate. J. Mol. Catal. A Chem. 2006, 253, 92–95. [Google Scholar] [CrossRef]
- Chen, X.; Han, S.; Yin, D.; Liang, C. Intermetallic Ni2Si/SiCN as a highly efficient catalyst for the one-pot tandem synthesis of imines and secondary amines. Inorg. Chem. Front. 2020, 7, 82–90. [Google Scholar] [CrossRef]
- Jiang, L.; Zhou, P.; Zhang, Z.; Jin, S.; Chi, Q. Synthesis of Secondary Amines from One-Pot Reductive Amination with Formic Acid as the Hydrogen Donor over an Acid-Resistant Cobalt Catalyst. Ind. Eng. Chem. Res. 2017, 56, 12556–12565. [Google Scholar] [CrossRef]
- Cho, A.; Byun, S.; Kim, B.M. AuPd–Fe3O4 Nanoparticle Catalysts for Highly Selective, One-Pot Cascade Nitro-Reduction and Reductive Amination. Adv. Synth. Catal. 2018, 360, 1253–1261. [Google Scholar] [CrossRef]
- Chieffi, G.; Braun, M.; Esposito, D. Continuous reductive amination of biomass-derived molecules over carbonize filter paper-supported FeNi alloy. ChemSusChem 2015, 8, 3590–3594. [Google Scholar] [CrossRef] [Green Version]
- Yamanaka, N.; Hara, T.; Ichikuni, N.; Shimazu, S. Chemoselective synthesis of imine and secondary amine from nitrobenzene and benzaldehyde by Ni3Sn2 alloy catalyst supported on TiO2. Mol. Catal. 2021, 505, 111503–111507. [Google Scholar] [CrossRef]
- Nişanci, B.; Ganjehyan, K.; Metin, Ö.; Daştan, A.; Török, B. Graphene-supported NiPd alloy nanoparticles: A novel and highly efficient heterogeneous catalyst system for the reductive amination of aldehydes. J. Mol. Catal. A Chem. 2015, 409, 191–197. [Google Scholar] [CrossRef]
- Furukawa, S.; Suzuki, R.; Komatsu, T. Selective Activation of Alcohols in the Presence of Reactive Amines over Intermetallic PdZn: Efficient Catalysis for Alcohol-Based N-Alkylation of Various Amines. ACS Catal. 2016, 6, 5946–5953. [Google Scholar] [CrossRef]
- Yuan, H.; Li, J.-P.; Su, F.; Yan, Z.; Kusema, B.T.; Streiff, S.; Huang, Y.; Pera-Titus, M.; Shi, F. Reductive Amination of Furanic Aldehydes in Aqueous Solution over Versatile NiyAlOx Catalysts. ACS Omega 2019, 4, 2510–2516. [Google Scholar] [CrossRef] [PubMed] [Green Version]











| Method | Second Metal | Reducing Agent | Reference |
|---|---|---|---|
| Co-impregnation | Sn | H2 | [28] |
| Co-impregnation | Fe | H2 | [29] |
| Successive impregnation | Cu | H2 | [31] |
| SOMC/M | Sn | H2 | [32] |
| SOMC/M | Zn | H2 | [33] |
| CVD | Sn | H2 | [34] |
| CVD | Ge | H2 | [35] |
| Arc-melting | Sn | - | [36] |
| Hydrothermal method without reducing reagents | Sn | H2 | [41] |
| Hydrothermal method without reducing reagents | Fe | H2 | [42] |
| Hydrothermal method without reducing reagents | In | H2 | [43] |
| Polyol-mediated process | Sn | NaBH4 | [38] |
| Polyol-mediated process | Fe | H2 | [39] |
| Hydrothermal method | Co | Hydrazine | [40] |
| Hydrothermal method | Cu | Hydrazine |
| Entry | Catalyst | Time/min | Conv./% | Sel./% | |
|---|---|---|---|---|---|
| FFA | THFA | ||||
| 1 | Ni HT-673 | 120 | 100 | 7 | 61 |
| 2 | Ni-Al(1.0)HT-673 | 120 | 100 | 47 | 43 |
| 3 | Ni-Ga(1.0)HT-673 | 120 | 99 | 48 | 24 |
| 4 | Ni-In(1.0)HT-673 | 120 | 20 | 95 | 0 |
| 5 | Ni-Co(1.0)HT-673 | 120 | 85 | 89 | 9 |
| 6 | Ni-Ti(1.0)HT-673 | 120 | 64 | 72 | 20 |
| 7 | Ni-Fe(1.0)HT-673 | 120 | 32 | 97 | 3 |
| 8 | Ni-Fe(2.0)HT-673 | 120 | 74 | 95 | 5 |
| 9 a | Ni-Fe(2.0)HT-673 | 120 | 100 | 13 | 75 |
| 10 b | Ni-Fe(2.0)HT-673 | 180 | 99 | 96 | 4 |
| 11 b | Ni-Fe(2.0)HT-573 | 30 | 90 | 92 | 8 |
| Entry | Catalyst | Time/min | Conv./% | Sel./% | H2 Uptake a |
|---|---|---|---|---|---|
| 1 | Ni0.33Au/SiO2 | 310 | 90.5 | 96.4 | 12 |
| 2 | Ni1Au/SiO2 | 160 | 92.5 | 92.1 | 27 |
| 3 | Ni3Au/SiO2 | 70 | 90.8 | 93.0 | 15 |
| 4 | 0.46%Ni/SiO2 | 960 | 11.2 | 99.2 | 6 |
| 5 | 1.37%Ni/SiO2 | 480 | 17.3 | 97.8 | 3 |
| 6 | 4.11%Ni/SiO2 | 108 | 93.3 | 78.7 | 5 |
Publisher’s Note: MDPI stays neutral with regard to jurisdictional claims in published maps and institutional affiliations. |
© 2022 by the authors. Licensee MDPI, Basel, Switzerland. This article is an open access article distributed under the terms and conditions of the Creative Commons Attribution (CC BY) license (https://creativecommons.org/licenses/by/4.0/).
Share and Cite
Yamanaka, N.; Shimazu, S. Selective Hydrogenation Properties of Ni-Based Bimetallic Catalysts. Eng 2022, 3, 60-77. https://doi.org/10.3390/eng3010006
Yamanaka N, Shimazu S. Selective Hydrogenation Properties of Ni-Based Bimetallic Catalysts. Eng. 2022; 3(1):60-77. https://doi.org/10.3390/eng3010006
Chicago/Turabian StyleYamanaka, Nobutaka, and Shogo Shimazu. 2022. "Selective Hydrogenation Properties of Ni-Based Bimetallic Catalysts" Eng 3, no. 1: 60-77. https://doi.org/10.3390/eng3010006
APA StyleYamanaka, N., & Shimazu, S. (2022). Selective Hydrogenation Properties of Ni-Based Bimetallic Catalysts. Eng, 3(1), 60-77. https://doi.org/10.3390/eng3010006
