Influence of the Nature of Cement on the Physical and Mechanical Properties of Soil Concretes from Sandy Clay and Laterite
Abstract
1. Introduction
2. Materials and Methods
2.1. Material Properties
- Soils
- Cement
2.2. Mixtures Design
2.3. Specimen Preparation
2.4. Experimental Procedures
- Air trapped
- Water porosity
- Uniaxial compression
- Static modulus of elasticity
- Dynamic modulus of elasticity
- Microscopic observation
3. Results and Discussions
3.1. Physical Characteristics of the Material in the Fresh and Hardened State
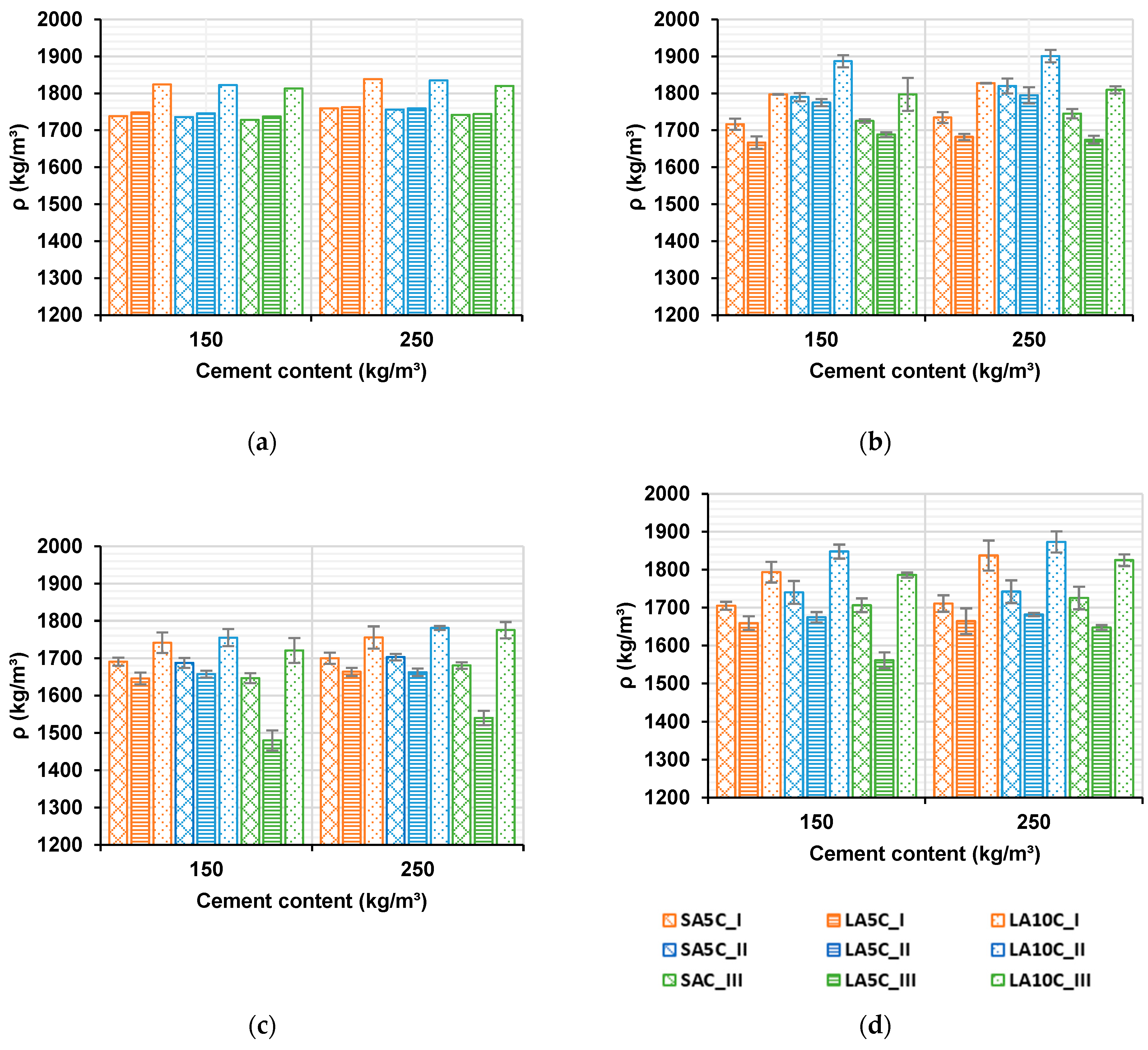
3.1.1. Density
3.1.2. Air Trapped
3.1.3. Water Porosity
3.2. Mechanical Properties
3.2.1. Uni-Axial Compressive Strength
3.2.2. Modulus Static Elasticity
3.2.3. Modulus Dynamic Elasticity
4. Microscopic Observation
5. Conclusions
- For the mixtures made with the three binders, the consistency criterion set (32–33 cm spread) allows for a water content of 570 and 525 kg/m3 for the formulations based, respectively, on a laterite of 5 mm and sandy clay. This is due to the higher Ip of LA (33.81%) than the Ip of SA (27.06%).
- The porosity values are between 43 and 62% for all mixes. This is due to the very high water content required for the formulation of our material. For all types of soil, the lowest values of water porosity were obtained for soil concrete formulated with CEM III 32.5, followed by CEM I 52.5 and CEM II 42.5.
- The values of the occluded air content are higher in soil concrete formulated with CEM I 52.5, followed by CEM II 42.5, and finally CEM III 32.5. We note a decrease in the occluded air content as a function of the cement dosage.
- The highest compressive strength values are observed on the different specimens formulated with CEM III 32.5, followed by CEM I 52.5 and CEM II 42.5. These higher values are obtained on specimens based on sandy clay. This indicates a better compatibility of this soil due to its lower clay content than that of the laterite.
- The analysis of the compressive strength as a function of the W/C parameter allows us to say that whatever the nature of the cement and the soil used, the compressive strength decreases as a function of the W/C ratio.
- The values of the static modulus increase as a function of the cement content. The highest values are obtained for formulations with CEM III 32.5 (1.8 to 3.9 GPa), followed by CEM I 52.5 (1 to 2.5 GPa), and finally CEM II 42.5 (0.5 to 1.5 GPa).
- Whatever the cement used, we note a rapid evolution of the dynamic Young’s modulus values up to 28 days. These values also increase with the cement dosage and are higher for soil concretes formulated with CEM III 32.5.
- We notice that the CSH (paste) is denser for soil concrete formulated with CEM III 32.5, which shows a good bonding of the paste-aggregate interface. For this reason, we observe fewer pores with CEM III 32.5 compared to those formulated with CEM I 52.5 and CEM II 42.5.
Author Contributions
Funding
Data Availability Statement
Acknowledgments
Conflicts of Interest
References
- Terashi, M. The State of Practice in Deep Mixing Methods. In Grouting and Ground Treatment; American Society of Civil Engineers: New Orleans, LA, USA, 2003; pp. 25–49. [Google Scholar] [CrossRef]
- Denies, N.; Huybrechts, N. Deep mixing method for the construction of earth and water retaining walls. RILEM Tech. Lett. 2017, 2, 1–9. [Google Scholar] [CrossRef]
- Tinoco, J.; Correia, A.G.; Cortez, P. Support vector machines applied to uniaxial compressive strength prediction of jet grouting columns. Comput. Geotech. 2014, 55, 132–140. [Google Scholar] [CrossRef]
- Topolnicki, M.; Soltys, G. Novel Application of Wet Deep Soil Mixing for Foundation of Modern Wind Turbines. In Proceedings of the Grouting and Deep Mixing 2012, New Orleans, LA, USA, 15–18 February 2012; American Society of Civil Engineers: Reston, VA, USA, 2012; pp. 533–542. [Google Scholar] [CrossRef]
- Moseley, M.P.; Kirsch, K. Ground Improvement; CRC Press: Boca Raton, FL, USA, 2004; Available online: https://www.taylorfrancis.com/books/mono/10.1201/9780203489611/ground-improvement-klaus-kirsch-michael-moseley (accessed on 19 March 2024).
- Tinoco, J.; Correia, A.G.; Cortez, P. Application of data mining techniques in the estimation of the uniaxial compressive strength of jet grouting columns over time. Constr. Build. Mater. 2011, 25, 1257–1262. [Google Scholar] [CrossRef]
- Porbaha, A.; Shibuya, S.; Kishida, T. State of the art in deep mixing technology. Part III:geomaterial characterization. Proc. Inst. Civ. Eng.-Ground Improv. 2000, 4, 91–110. [Google Scholar] [CrossRef]
- Kitazume, M.; Terashi, M. The Deep Mixing Method; CRC Press: Boca Raton, FL, USA, 2013. [Google Scholar]
- Helson, O.; Beaucour, A.-L.; Eslami, J.; Noumowe, A.; Gotteland, P. Physical and mechanical properties of soilcrete mixtures: Soil clay content and formulation parameters. Constr. Build. Mater. 2017, 131, 775–783. [Google Scholar] [CrossRef]
- Szymkiewicz, F.; Guimond-Barrett, A.; Kouby, A.L.; Reiffsteck, P. Influence of grain size distribution and cement content on the strength and aging of treated sandy soils. Eur. J. Environ. Civ. Eng. 2012, 16, 882–902. [Google Scholar] [CrossRef]
- Sheen, Y.-N.; Zhang, L.-H.; Le, D.-H. Engineering properties of soil-based controlled low-strength materials as slag partially substitutes to Portland cement. Constr. Build. Mater. 2013, 48, 822–829. [Google Scholar] [CrossRef]
- Van Rompaey, G. Etude de la Réactivité des Ciments Riches en Laitier, à Basse Température et à Temps Court, Sans Ajout Chloruré. Ph.D. Thesis, Université libre de Bruxelles, Faculté des Sciences–Sciences de la Terre et de l’Environnement, Bruxelles, Belgium, 2006. [Google Scholar]
- Shen, S.-L.; Wang, Z.-F.; Horpibulsuk, S.; Kim, Y.-H. Jet grouting with a newly developed technology: The Twin-Jet method. Eng. Geol. 2013, 152, 87–95. [Google Scholar] [CrossRef]
- Åhnberg, H. Strength of Stabilised Soil-a Laboratory Study on Clays and Organic Soils Stabilised with Different Types of Binder; Lund University: Lund, Sweden, 2006. [Google Scholar]
- Filz, G.; Adams, T.; Navin, M.; Templeton, A.E. Design of Deep Mixing for Support of Levees and Floodwalls. In Proceedings of the Grouting and Deep Mixing 2012, New Orleans, LA, USA, 15–18 February 2012; Available online: https://ascelibrary.org/doi/abs/10.1061/9780784412350.0004 (accessed on 19 March 2024).
- Lunardi, P. Ground improvement by means of jet-grouting. Proc. Inst. Civ. Eng.-Ground Improv. 1997, 1, 65–85. [Google Scholar] [CrossRef]
- Kolovos, K.G.; Asteris, P.G.; Cotsovos, D.M.; Badogiannis, E.; Tsivilis, S. Mechanical properties of soilcrete mixtures modified with metakaolin. Constr. Build. Mater. 2013, 47, 1026–1036. [Google Scholar] [CrossRef]
- Stalin, V.K.; Muthukumar, M. Effect of acid permeation on the chemical characteristics of soil and fly ash. In Proceedings of the Indian Geotechnical Conference, Allahabad, India, 20–22 December 2002; pp. 301–304. [Google Scholar]
- Norme Ciment NF EN 197-1: Composition des Ciments Courants|Infociments. Available online: https://www.infociments.fr/norme-beton-nf-en-197-1-composition-des-ciments-courants (accessed on 19 August 2023).
- NF EN 197-1. Afnor EDITIONS. Available online: https://www.boutique.afnor.org/fr-fr/norme/nf-en-1971/ciment-partie-1-composition-specifications-et-criteres-de-conformite-des-ci/fa149898/1234 (accessed on 19 August 2023).
- Hessouh, J.J.; Eslami, J.; Beaucour, A.-L.; Noumowe, A.; Mathieu, F.; Gotteland, P. Physical and mechanical characterization of deep soil mixing (DSM) materials: Laboratory vs construction site. Constr. Build. Mater. 2023, 368, 130436. [Google Scholar] [CrossRef]
- Melentijevic, S.; Arcos, J.L.; Oteo, C. Application of cement deep mixing method for underpinning. In Proceedings of the 18th International Conference on Soil Mechanics and Geotechnical Engineering, Paris, France, 2–6 September 2013; pp. 2549–2552. Available online: https://www.cfms-sols.org/sites/default/files/Actes/2549-2552.pdf (accessed on 19 August 2023).
- Denies, N.; Huybrechts, N.; De Cock, F.; Lameire, B.; Maertens, J.; Vervoort, A. Large-Scale Bending Tests on Soil Mix Elements. In Proceedings of the IFCEE 2015, San Antonio, TX, USA, 17–21 March 2015; American Society of Civil Engineers: San Antonio, TX, USA, 2015; pp. 2394–2409. [Google Scholar] [CrossRef]
- Liu, L.; Zhou, A.; Deng, Y.; Cui, Y.; Yu, Z.; Yu, C. Strength performance of cement/slag-based stabilized soft clays. Constr. Build. Mater. 2019, 211, 909–918. [Google Scholar] [CrossRef]
- Saussaye, L.; Boutouil, M.; Baraud, F.; Leleyter, L. Soils treatment with hydraulic binders: Physicochemical and geotechnical investigations of a chemical disturbance. In Proceedings of the ISSMGE-TC 211 International Symposium on Ground Improvement IS-GI, Brussels, Belgium, 30 May–1 June 2012; pp. 479–489. [Google Scholar]
- Terashi, M. Theme lecture: Deep mixing method-Brief state of the art. In Proceedings of the 14th ICSMFE, Hamburg, Germany, 6–12 September 1997; pp. 2475–2478. [Google Scholar]
- NF EN 12350-7. Afnor EDITIONS. Available online: https://www.boutique.afnor.org/fr-fr/norme/nf-en-123507/essais-pour-beton-frais-partie-7-teneur-en-air-methode-de-la-compressibilit/fa190563/83427 (accessed on 16 August 2023).
- NF P18-459. Afnor EDITIONS. Available online: https://www.boutique.afnor.org/fr-fr/norme/nf-p18459/beton-essai-pour-beton-durci-essai-de-porosite-et-de-masse-volumique/fa160729/34961 (accessed on 23 August 2023).
- NF EN 12390-3. Afnor EDITIONS. Available online: https://www.boutique.afnor.org/fr-fr/norme/nf-en-123903/essais-pour-beton-durci-partie-3-resistance-a-la-compression-des-eprouvette/fa190566/83462 (accessed on 23 August 2023).
- Helson, O.; Eslami, J.; Beaucour, A.-L.; Noumowe, A.; Gotteland, P. Hydro-mechanical behaviour of soilcretes through a parametric laboratory study. Constr. Build. Mater. 2018, 166, 657–667. [Google Scholar] [CrossRef]
- Didouche, Z.; Kadri, E.-H.; Ezziane, K. Effet du broyage sur l’amélioration des propriétés mécaniques des mortiers. Acad. J. Civ. Eng. 2018, 36, 191–194. [Google Scholar]
- Akin, M.K. Experimental studies on the physico-mechanical properties of jet-grout columns in sandy and silty soils. J. Afr. Earth Sci. 2016, 116, 190–197. [Google Scholar] [CrossRef]
- Guo, X.; Yuan, S.; Xu, Y.; Qian, G. Effects of phosphorus and iron on the composition and property of Portland cement clinker utilized incinerated sewage sludge ash. Constr. Build. Mater. 2022, 341, 127754. [Google Scholar] [CrossRef]
- Bellato, D.; Marzano, I.P.; Simonini, P. Microstructural Analyses of a Stabilized Sand by a Deep-Mixing Method. J. Geotech. Geoenviron. Eng. 2020, 146, 04020032. [Google Scholar] [CrossRef]


















| Loss on Fire (%) | Elementary Composition (%) | Sandy Clay | ||||||||
| SiO2 | Al2O3 | Fe2O3 | CaO | MgO | SO3 | Na2O | K2O | P2O5 | ||
| 12.87 | 42.95 | 25.72 | 4.62 | 1.10 | 0.04 | 0.03 | 0.13 | 0.20 | 0.09 | |
| Laterite | ||||||||||
| 14.54 | 33.33 | 27.18 | 9.96 | 1.53 | 0.09 | 0.09 | 0.27 | 0.24 | 0.08 | |
| Materials | Specific Density (kg/m3) | pH Value (-) | Surface BET [m2/g] | VBS Value (-) | Wp (%) | WL (%) | Ip (%) | ES (%) |
|---|---|---|---|---|---|---|---|---|
| Sandy clay | 2487 | 5.34 | 0.90 | 0.43 | 29.33 | 56.39 | 27.06 | 10.49 |
| Laterite | 2688 | 5.23 | 0.76 | 0.90 | 42.64 | 76.45 | 33.81 | 5.99 |
| Loss on Fire (%) | SiO2 | Al2O3 | Fe2O3 | CaO | MgO | SO3 | Na2O | K2O | P2O5 | |
| Elementary composition (%) | CEM I 52.5 | |||||||||
| 1.0 | 20.70 | 4.60 | 3.30 | 64.40 | 1.30 | 3.40 | 0.07 | 1.33 | 0.50 | |
| CEM II 42.5 | ||||||||||
| 4.24 | 25.50 | 7.61 | 6.78 | 45.26 | 2.74 | 2.19 | 0.21 | 1.14 | 0.27 | |
| CEM III 32.5 | ||||||||||
| 1.8 | 32.80 | 10.20 | 0.70 | 46.0 | 5.50 | 2.90 | nd | 0.58 | nd | |
| Materials | Specific Density (kg/m3) | Surface BET [m2/g] |
|---|---|---|
| CEM I 52.5 | 3150 | 0.40 |
| CEM II 42.5 | 3100 | 0.35 |
| CEM III 32.5 | 2900 | 0.47 |
| Sandy Clay | |||||
|---|---|---|---|---|---|
| Cement [kg/m3] | Soil [kg/m3] | Water [kg/m3] | W/C [-] | Measurement with Mini-Cone | cm |
| 150 | 1061 | 525 | 3.5 | Diameter of the spread-out soil concrete | 33.0 ± 0.6 |
| 200 | 1021 | 525 | 2.63 | 32.3 ± 1.5 | |
| 250 | 981 | 525 | 2.10 | 33.2 ± 1.0 | |
| 300 | 941 | 525 | 1.75 | 31.5 ± 1.7 | |
| Laterite 5 mm | |||||
| 150 | 1026 | 570 | 3.80 | Diameter of the spread-out soil concrete | 32.3 ± 0.8 |
| 200 | 982 | 570 | 2.85 | 31.2 ± 0.4 | |
| 250 | 939 | 570 | 2.28 | 32.8 ± 0.9 | |
| 300 | 896 | 570 | 1.90 | 33.6 ± 1.7 | |
| Laterite 10 mm | |||||
| 150 | 1147 | 525 | 3.50 | Diameter of the spread-out soil concrete | 31.2 ± 1.0 |
| 200 | 1103 | 525 | 2.62 | 30.2 ± 0.6 | |
| 250 | 1060 | 525 | 2.10 | 32.3 ± 0.5 | |
| 300 | 1017 | 525 | 1.75 | 31.9 ± 2.7 | |
| Sandy Clay | |||||
|---|---|---|---|---|---|
| Cement [kg/m3] | Soil [kg/m3] | Water [kg/m3] | W/C [-] | Measurement with Mini-Cone | cm |
| 150 | 1053 | 525 | 3.50 | Diameter of the spread-out soil concrete | 34.1 ± 1.0 |
| 250 | 967 | 525 | 2.10 | 33.3 ± 0.8 | |
| Laterite 5 mm | |||||
| 150 | 1017 | 570 | 3.80 | Diameter of the spread-out soil concrete | 33.2 ± 1.2 |
| 250 | 924 | 570 | 2.28 | 33.6 ± 0.7 | |
| Laterite 10 mm | |||||
| 150 | 1138 | 525 | 3.50 | Diameter of the spread-out soil concrete | 32.7 ± 0.6 |
| 250 | 1045 | 525 | 2.10 | 33.4 ± 0.9 | |
| Sandy Clay | |||||
|---|---|---|---|---|---|
| Cement [kg/m3] | Soil [kg/m3] | Water [kg/m3] | W/C [-] | Measurement with Mini-Cone | cm |
| 150 | 1063 | 525 | 3.50 | Diameter of the spread-out soil concrete | 30.8 ± 1.2 |
| 250 | 984 | 525 | 2.10 | 31.1 ± 0.7 | |
| Laterite 5 mm | |||||
| 150 | 1028 | 570 | 3.80 | Diameter of the spread-out soil concrete | 29.9 ± 1.1 |
| 250 | 943 | 570 | 2.28 | 30.4 ± 0.8 | |
| Laterite 10 mm | |||||
| 150 | 1149 | 525 | 3.50 | Diameter of the spread-out soil concrete | 29.5 ± 1.6 |
| 250 | 1063 | 525 | 2.10 | 30.1 ± 0.9 | |
Disclaimer/Publisher’s Note: The statements, opinions and data contained in all publications are solely those of the individual author(s) and contributor(s) and not of MDPI and/or the editor(s). MDPI and/or the editor(s) disclaim responsibility for any injury to people or property resulting from any ideas, methods, instructions or products referred to in the content. |
© 2024 by the authors. Licensee MDPI, Basel, Switzerland. This article is an open access article distributed under the terms and conditions of the Creative Commons Attribution (CC BY) license (https://creativecommons.org/licenses/by/4.0/).
Share and Cite
Kamdem, A.; Elat, E.; Eslami, J.; Amba, J.C.; Sali, M.; Mbessa, M.; Noumowé, A. Influence of the Nature of Cement on the Physical and Mechanical Properties of Soil Concretes from Sandy Clay and Laterite. CivilEng 2024, 5, 307-326. https://doi.org/10.3390/civileng5020016
Kamdem A, Elat E, Eslami J, Amba JC, Sali M, Mbessa M, Noumowé A. Influence of the Nature of Cement on the Physical and Mechanical Properties of Soil Concretes from Sandy Clay and Laterite. CivilEng. 2024; 5(2):307-326. https://doi.org/10.3390/civileng5020016
Chicago/Turabian StyleKamdem, Alain, Emmanuel Elat, Javad Eslami, Jean Chills Amba, Moussa Sali, Michel Mbessa, and Albert Noumowé. 2024. "Influence of the Nature of Cement on the Physical and Mechanical Properties of Soil Concretes from Sandy Clay and Laterite" CivilEng 5, no. 2: 307-326. https://doi.org/10.3390/civileng5020016
APA StyleKamdem, A., Elat, E., Eslami, J., Amba, J. C., Sali, M., Mbessa, M., & Noumowé, A. (2024). Influence of the Nature of Cement on the Physical and Mechanical Properties of Soil Concretes from Sandy Clay and Laterite. CivilEng, 5(2), 307-326. https://doi.org/10.3390/civileng5020016

