Recent Advances in the Synthesis of Piperazines: Focus on C–H Functionalization
Abstract
:1. Introduction
2. Discussion
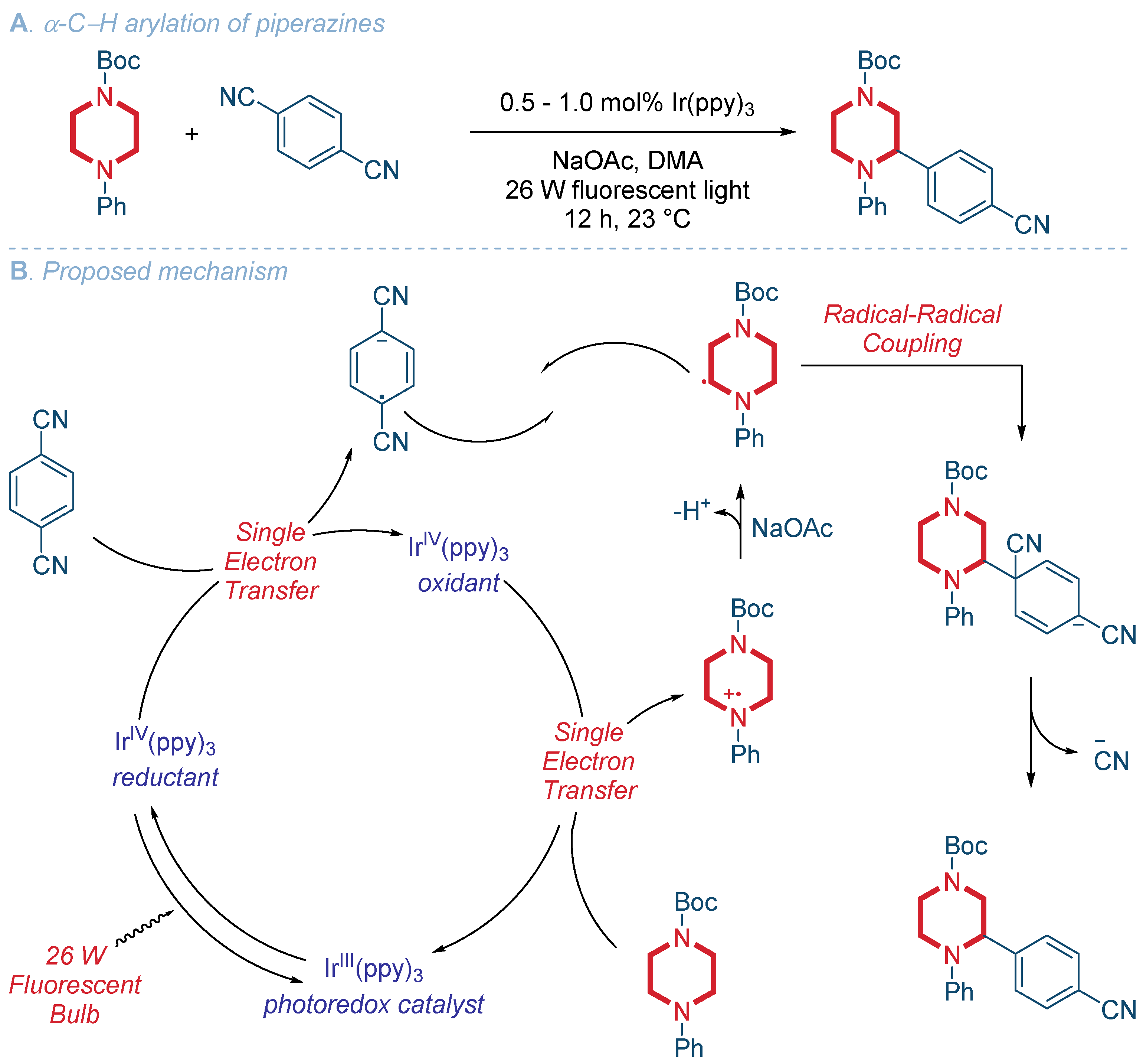
2.1. Photoredox C–H Arylation and C–H Vinylation
2.2. SnAP Reagents
2.3. Organic Photoredox C–H Alkylation
2.4. Direct C–H Lithiation
3. Conclusions
Author Contributions
Funding
Conflicts of Interest
References
- Vitaku, E.; Smith, D.T.; Njardarson, J.T. Analysis of the structural diversity, substitution patterns, and frequency of nitrogen heterocycles among U.S. FDA approved pharmaceuticals. J. Med. Chem. 2014, 57, 10257–10274. [Google Scholar] [CrossRef] [PubMed]
- Brunton, L.; Chabner, B.; Knollman, B. Goodman and Gilman’s The Pharmacological Basis of Therapeutics; MacGraw-Hill: New York, NY, USA, 2010. [Google Scholar]
- Elliott, S. Current awareness of piperazines: Pharmacology and toxicology. Drug Test. Anal. 2011, 3, 430–438. [Google Scholar] [CrossRef] [PubMed]
- Shaquiquzzaman, M.; Verma, G.; Marella, A.; Akhter, M.; Akhtar, W.; Khan, M.F.; Tasneem, S.; Alam, M.M. Piperazine scaffold: A remarkable tool in generation of diverse pharmacological agents. Eur. J. Med. Chem. 2015, 102, 487–529. [Google Scholar] [CrossRef] [PubMed]
- Rathi, A.K.; Syed, R.; Shin, H.S.; Patel, R.V. Piperazine derivatives for therapeutic use: A patent review (2010-present). Expert Opin. Ther. Pat. 2016, 7, 777–797. [Google Scholar] [CrossRef] [PubMed]
- Zhang, R.H.; Guo, H.Y.; Deng, H.; Li, J.; Quanb, Z.S. Piperazine skeleton in the structural modification of natural products: A review. J. Enzyme Inhib. Med. Chem. 2021, 36, 1165–1197. [Google Scholar] [CrossRef] [PubMed]
- Blakemore, D.C.; Castro, L.; Churcher, I.; Rees, D.C.; Thomas, A.W.; Wilson, D.M.; Wood, A. Organic Synthesis Provides Opportunities to Transform Drug Discovery. Nat. Chem. 2018, 10, 383–394. [Google Scholar] [CrossRef]
- Cernak, T.; Dykstra, K.D.; Tyagarajan, S.; Vachal, P.; Krska, S.W. The medicinal chemist’s toolbox for late stage functionalization of drug-like molecules. Chem. Soc. Rev. 2016, 45, 546–576. [Google Scholar] [CrossRef] [PubMed]
- Prier, C.K.; Rankic, D.A.; MacMillan, D.W.C. Visible Light Photoredox Catalysis with Transition Metal Complexes: Applications in Organic Synthesis. Chem. Rev. 2013, 113, 5322–5363. [Google Scholar] [CrossRef] [Green Version]
- Romero, N.A.; Nicewicz, D.A. Organic Photoredox Catalysis. Chem. Rev. 2016, 116, 10075–10166. [Google Scholar] [CrossRef]
- McAtee, R.C.; McClain, E.J.; Stephenson, C.R.J. Illuminating Photoredox Catalysis. Trends Chem. 2019, 1, 111–125. [Google Scholar] [CrossRef]
- McNally, A.; Prier, C.K.; MacMillan, D.W.C. Discovery of an α-amino C-H arylation reaction using the strategy of accelerated serendipity. Science 2011, 334, 1114–1117. [Google Scholar] [CrossRef]
- Noble, A.; MacMillan, D.W.C. Photoredox α-Vinylation of α-Amino Acids and N-Aryl Amines. J. Am. Chem. Soc. 2014, 136, 11602–11605. [Google Scholar] [CrossRef]
- Prier, C.K.; MacMillan, D.W.C. Amine α-heteroarylation via photoredox catalysis: A homolytic aromatic substitution pathway. Chem. Sci. 2014, 5, 4173–4178. [Google Scholar] [CrossRef]
- Vo, C.-V.T.; Mikutis, G.; Bode, J.W. SnAP reagents for the transformation of aldehydes into substituted thiomorpholines—An alternative to cross-coupling with saturated heterocycles. Angew. Chem. Int. Ed. 2013, 52, 1705–1708. [Google Scholar] [CrossRef] [PubMed]
- Vo, C.-V.T.; Luescher, M.U.; Bode, J.W. SnAP reagents for the one-step synthesis of medium-ring saturated N-heterocycles from aldehydes. Nat. Chem. 2014, 6, 310–314. [Google Scholar] [CrossRef] [PubMed] [Green Version]
- Luescher, M.U.; Vo, C.-V.T.; Bode, J.W. SnAP reagents for the synthesis of piperazines and morpholines. Org. Lett. 2014, 16, 1236–1239. [Google Scholar] [CrossRef] [PubMed]
- Luescher, M.U.; Bode, J.W. Catalytic Synthesis of N-Unprotected Piperazines, Morpholines, and Thiomorpholines from Aldehydes and SnAP Reagents. Angew. Chem. Int. Ed. 2015, 54, 10884–10888. [Google Scholar] [CrossRef]
- Hsieh, S.-Y.; Bode, J.W. Silicon Amine Reagents for the Photocatalytic Synthesis of Piperazines from Aldehydes and Ketones. Org. Lett. 2016, 18, 2098–2101. [Google Scholar] [CrossRef]
- Jindakun, C.; Hsieh, S.-Y.; Bode, J.W. Iridium-catalyzed Synthesis of Saturated N-Heterocycles from Aldehydes and SnAP Reagents with Continuous Flow Photochemistry. Org. Lett. 2018, 20, 2071–2075. [Google Scholar] [CrossRef]
- SnAP Reagents. Available online: https://www.sigmaaldrich.com/US/en/technical-documents/protocol/chemistry-and-synthesis/reaction-design-and-optimization/snap-reagents (accessed on 25 August 2021).
- SLAP Reagents for Piperazine Synthesis. Available online: https://www.sigmaaldrich.com/US/en/technical-documents/protocol/chemistry-and-synthesis/reaction-design-and-optimization/slap-reagents (accessed on 25 August 2021).
- Gueret, R.; Pelinski, L.; Bousquet, T.; Sauthier, M.; Ferey, V.; Bigot, A. Visible-Light-Driven CarboxyLic Amine Protocol (CLAP) for the Synthesis of 2-Substituted Piperazines under Batch and Flow Conditions. Org. Lett. 2020, 22, 5157–5162. [Google Scholar] [CrossRef]
- Romero, N.A.; Margrey, K.A.; Tay, N.E.; Nicewicz, D.A. Site-selective arene C-H amination via photoredox catalysis. Science 2015, 349, 1326–1330. [Google Scholar] [CrossRef] [Green Version]
- Majek, M.; Jacobi von Wangelin, A. Mechanistic Perspectives on Organic Photoredox Catalysis for Aromatic Substitutions. Acc. Chem. Res. 2016, 49, 2316–2327. [Google Scholar] [CrossRef]
- Crisenza, G.E.M.; Melchiorre, P. Chemistry glows green with photoredox catalysis. Nat. Commun. 2020, 11, 803. [Google Scholar] [CrossRef]
- Bobo, M.V.; Kuchta, J.J., III; Vannucci, A.K. Recent advancements in the development of molecular organic photocatalysts. Org. Biomol. Chem. 2021, 19, 4816–4834. [Google Scholar] [CrossRef]
- Reischauer, S.; Pieber, B. Emerging concepts in photocatalytic organic synthesis. iScience 2021, 24, 102209. [Google Scholar] [CrossRef]
- Joshi-Pangu, A.; Lévesque, F.; Roth, H.G.; Oliver, S.F.; Campeau, L.-C.; Nicewicz, D.; DiRocco, D.A. Acridinium-Based Photocatalysts: A Sustainable Option in Photoredox Catalysis. J. Org. Chem. 2016, 81, 7244–7249. [Google Scholar] [CrossRef]
- McManus, J.B.; Onuska, N.P.R.; Nicewicz, D.A. Generation and Alkylation of α-Carbamyl Radicals via Organic Photoredox Catalysis. J. Am. Chem. Soc. 2018, 140, 9056–9060. [Google Scholar] [CrossRef] [PubMed]
- McManus, J.B.; Onuska, N.P.R.; Jeffreys, M.S.; Goodwin, N.C.; Nicewicz, D.A. Site-Selective C–H Alkylation of Piperazine Substrates via Organic Photoredox Catalysis. Org. Lett. 2020, 22, 679–683. [Google Scholar] [CrossRef] [PubMed]
- Stead, D.; Carbone, G.; O’Brien, P.; Campos, K.R.; Coldham, I.; Sanderson, A. Asymmetric Deprotonation of N-Boc Piperidine: React IR Monitoring and Mechanistic Aspects. J. Am. Chem. Soc. 2010, 132, 7260–7261. [Google Scholar] [CrossRef] [PubMed]
- Firth, J.D.; O’Brien, P.; Ferris, L. Synthesis of Enantiopure Piperazines via Asymmetric Lithiation-Trapping of N-Boc Piperazines: Unexpected Role of the Electrophile and Distal N-Substituent. J. Am. Chem. Soc. 2016, 138, 651–659. [Google Scholar] [CrossRef] [PubMed]
- Firth, J.D.; O’Brien, P.; Ferris, L. General Procedures for the Lithiation/Trapping of N-Boc Piperazines. J. Org. Chem. 2017, 82, 7023–7031. [Google Scholar] [CrossRef] [PubMed] [Green Version]
- Gelardi, G.; Barker, G.; O’Brien, P.; Blakemore, D.C. Asymmetric Lithiation Trapping of N-Boc Heterocycles at Temperatures above −78 °C. Org. Lett. 2013, 15, 5424–5427. [Google Scholar] [CrossRef]
- Ishii, Y.; Chatani, N.; Kakiuchi, F.; Murai, S. Rhodium-Catalyzed Reaction of N-(2-Pyridinyl)piperazines with CO and Ethylene. A Novel Carbonylation at a C−H Bond in the Piperazine Ring. Organometallics 1997, 16, 3615–3622. [Google Scholar] [CrossRef]
- Payne, P.R.; Garcia, P.; Eisenberger, P.; Yim, J.C.-H.; Schafer, L.L. Tantalum Catalyzed Hydroaminoalkylation for the Synthesis of α- and β-Substituted N-Heterocycles. Org. Lett. 2013, 15, 2182–2185. [Google Scholar] [CrossRef] [PubMed]
- Genovino, J.; Lütz, S.; Sames, D.; Touré, B.B. Complementation of Biotransformations with Chemical C–H Oxidation: Copper-Catalyzed Oxidation of Tertiary Amines in Complex Pharmaceuticals. J. Am. Chem. Soc. 2013, 135, 12346–12352. [Google Scholar] [CrossRef]
- Gettys, K.E.; Ye, Z.; Dai, M. Recent Advances in Piperazine Synthesis. Synthesis 2017, 49, 2589–2604. [Google Scholar] [CrossRef]
- Magriotis, P.A. Recent progress toward the asymmetric synthesis of carbon-substituted piperazine pharmacophores and oxidative related heterocycles. RSC Med. Chem. 2020, 11, 745–759. [Google Scholar] [CrossRef]
- Sharma, A.; Wakode, S.; Fayaz, F.; Khasimbi, S.; Pottoo, F.H.; Kaur, A. An Overview of Piperazine Scaffold as Promising Nucleus for Different Therapeutic Targets. Curr. Pharm. Design 2020, 26, 4373–4385. [Google Scholar] [CrossRef]













Publisher’s Note: MDPI stays neutral with regard to jurisdictional claims in published maps and institutional affiliations. |
© 2021 by the authors. Licensee MDPI, Basel, Switzerland. This article is an open access article distributed under the terms and conditions of the Creative Commons Attribution (CC BY) license (https://creativecommons.org/licenses/by/4.0/).
Share and Cite
Durand, C.; Szostak, M. Recent Advances in the Synthesis of Piperazines: Focus on C–H Functionalization. Organics 2021, 2, 337-347. https://doi.org/10.3390/org2040018
Durand C, Szostak M. Recent Advances in the Synthesis of Piperazines: Focus on C–H Functionalization. Organics. 2021; 2(4):337-347. https://doi.org/10.3390/org2040018
Chicago/Turabian StyleDurand, Carolina, and Michal Szostak. 2021. "Recent Advances in the Synthesis of Piperazines: Focus on C–H Functionalization" Organics 2, no. 4: 337-347. https://doi.org/10.3390/org2040018
APA StyleDurand, C., & Szostak, M. (2021). Recent Advances in the Synthesis of Piperazines: Focus on C–H Functionalization. Organics, 2(4), 337-347. https://doi.org/10.3390/org2040018

