ARQ-Enhanced Short-Packet NOMA Communications with STAR-RIS
Abstract
1. Introduction
- We propose the use of a STAR-RIS to enable a downlink short-packet NOMA network, in which a base station (BS) communicates with a near user positioned in the reflection region and a far user located in the refraction region of the STAR-RIS. To improve transmission reliability under practical imperfections, an ARQ protocol with one retransmission opportunity is employed. This mechanism is designed to mitigate packet errors arising from ipSIC, ipCSI, and hardware impairments.
- We present newly derived closed-form expressions that characterize both the average BLER and the effective throughput achieved by the near and far users. The analysis covers various transmission scenarios based on the success/failure states of the first transmission and the corresponding resource allocation strategies in the retransmission phase. The conventional non-ARQ scheme is evaluated as a baseline to quantify the improvements in reliability and spectral efficiency offered by the proposed scheme.
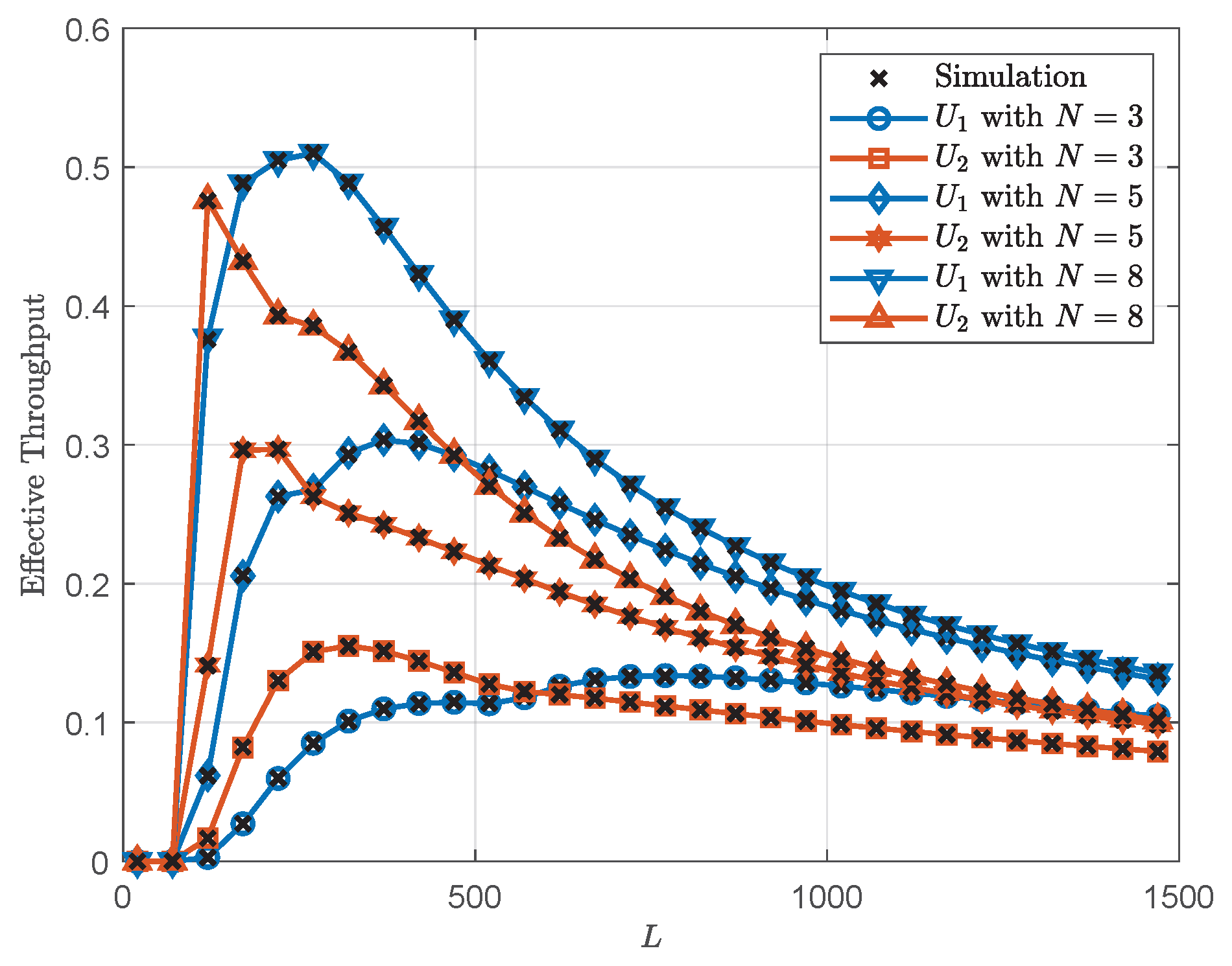
- Comprehensive Monte Carlo simulations are performed to verify the accuracy of the derived analytical expressions and demonstrate that the ARQ scheme provides substantial reliability gains for both NOMA users, and its combination with STAR-RIS technology yields synergistic benefits. Moreover, the optimal blocklength required for achieving maximum effective throughput decreases with more STAR-RIS elements, as the resultant channel improvement reduces the need for long blocklength transmissions.
2. System Model
2.1. The First Phase
2.2. The Second Phase
3. Performance Analysis
3.1. Preliminaries
3.2. Average BLER of
3.3. Average BLER of
3.4. Effective Throughput of
3.5. Effective Throughput of
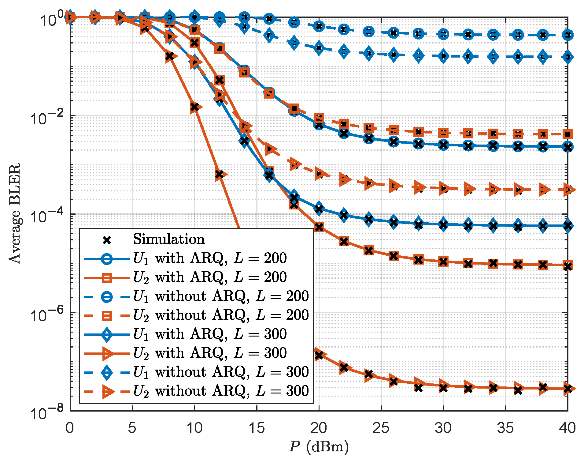
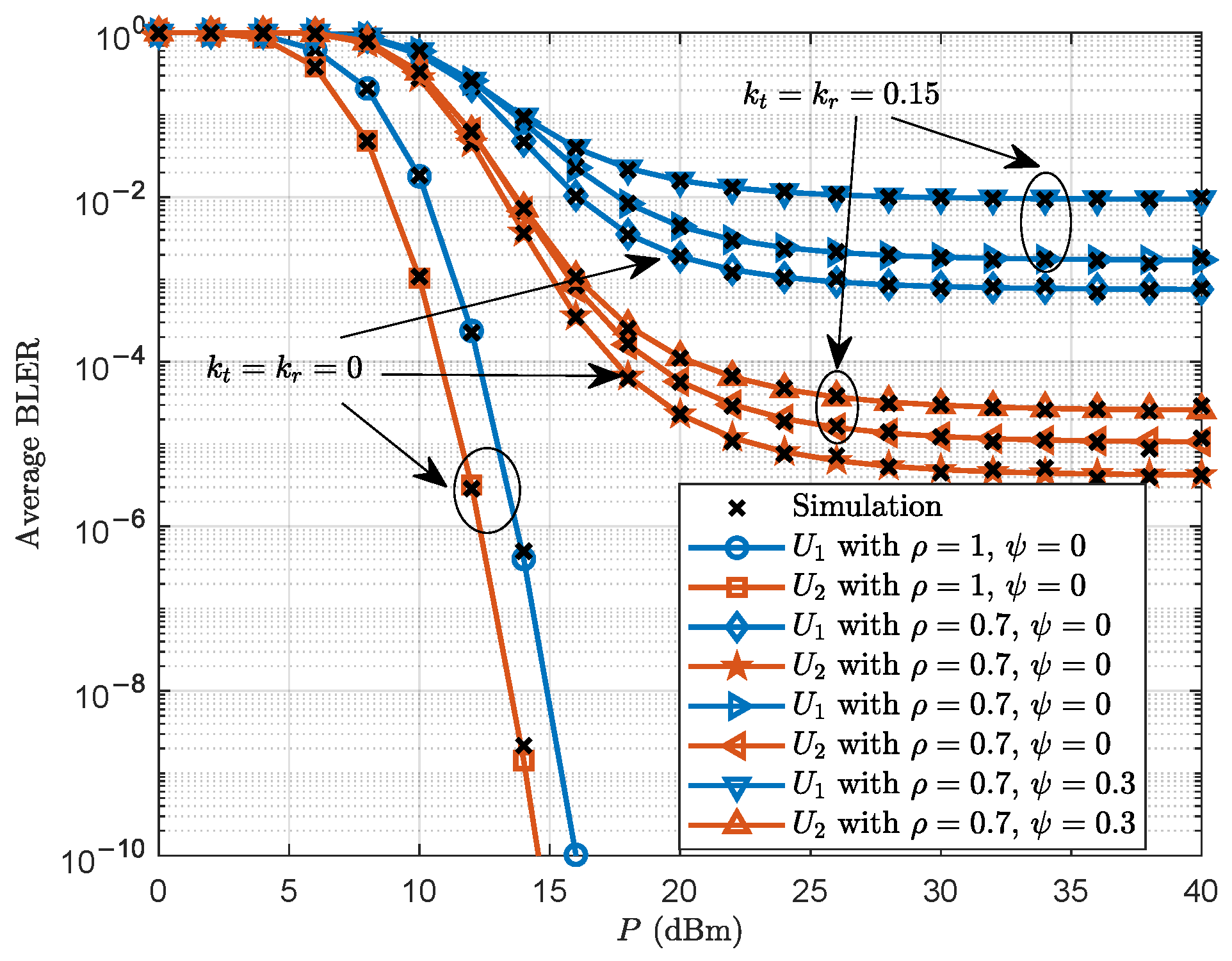
4. Numerical Results
5. Conclusions
Author Contributions
Funding
Data Availability Statement
Conflicts of Interest
Appendix A
References
- Adhikari, M.; Hazra, A. 6G-Enabled Ultra-Reliable Low-Latency Communication in Edge Networks. IEEE Commun. Stand. Mag. 2022, 6, 67–74. [Google Scholar] [CrossRef]
- Wang, C.X.; You, X.; Gao, X.; Zhu, X.; Li, Z.; Zhang, C.; Wang, H.; Huang, Y.; Chen, Y.; Haas, H.; et al. On the Road to 6G: Visions, Requirements, Key Technologies, and Testbeds. IEEE Commun. Surv. Tutor. 2023, 25, 905–974. [Google Scholar] [CrossRef]
- Ma, R.; Yang, W.; Guan, X.; Lu, X.; Song, Y.; Chen, D. Covert mmWave Communications with Finite Blocklength Against Spatially Random Wardens. IEEE Internet Things J. 2024, 11, 3402–3416. [Google Scholar] [CrossRef]
- Yue, C.; Miloslavskaya, V.; Shirvanimoghaddam, M.; Vucetic, B.; Li, Y. Efficient Decoders for Short Block Length Codes in 6G URLLC. IEEE Commun. Mag. 2023, 61, 84–90. [Google Scholar] [CrossRef]
- Xia, C.; Xiang, Z.; Meng, J.; Liu, H.; Pan, G. Reliable Transmission of Short Packets in Cognitive Radio Inspired NOMA Network. IEEE Syst. J. 2023, 17, 6148–6158. [Google Scholar] [CrossRef]
- Zhang, Y.; Guan, X.; Ding, G.; Yang, W.; Yu, B.; Zhang, R.; Wu, W.; Cai, Y. Optimizing Age of Information for IRS-Assisted NOMA-Based Short Packet Communication Systems. IEEE Trans. Cogn. Commun. Netw. 2026, 12, 43–55. [Google Scholar] [CrossRef]
- Li, X.; Wang, Q.; Zeng, M.; Liu, Y.; Dang, S.; Tsiftsis, T.A.; Dobre, O.A. Physical-Layer Authentication for Ambient Backscatter-Aided NOMA Symbiotic Systems. IEEE Trans. Commun. 2023, 71, 2288–2303. [Google Scholar]
- Xiang, Z.; Yang, W.; Cai, Y.; Ding, Z.; Song, Y.; Zou, Y. NOMA-Assisted Secure Short-Packet Communications in IoT. IEEE Wirel. Commun. 2020, 27, 8–15. [Google Scholar] [CrossRef]
- Xia, C.; Xiang, Z.; Meng, J.; Liu, H.; Pan, G. NOMA-Assisted Cognitive Short-Packet Communication with Node Mobility and Imperfect Channel Estimation. IEEE Trans. Veh. Technol. 2023, 72, 12276–12287. [Google Scholar]
- Lou, Y.; Zou, Y.; Wang, H.; Zhai, L.; Li, Y. Joint Phase Shifts and Blocklength Resources Optimization in RIS-Assisted NOMA Short-Packet Systems. IEEE Trans. Veh. Technol. 2024, 73, 12132–12136. [Google Scholar]
- Liu, Y.; Zhang, S.; Mu, X.; Ding, Z.; Schober, R.; Al-Dhahir, N.; Hossain, E.; Shen, X. Evolution of NOMA Toward Next Generation Multiple Access (NGMA) for 6G. IEEE J. Sel. Areas Commun. 2022, 40, 1037–1071. [Google Scholar] [CrossRef]
- Cheng, Y.; Li, K.H.; Liu, Y.; Teh, K.C.; Poor, H.V. Downlink and Uplink Intelligent Reflecting Surface Aided Networks: NOMA and OMA. IEEE Trans. Wirel. Commun. 2021, 20, 3988–4000. [Google Scholar] [CrossRef]
- Fu, M.; Zhou, Y.; Shi, Y.; Letaief, K.B. Reconfigurable Intelligent Surface Empowered Downlink Non-Orthogonal Multiple Access. IEEE Trans. Commun. 2021, 69, 3802–3817. [Google Scholar] [CrossRef]
- Gao, X.; Li, X.; Han, C.; Zeng, M.; Liu, H.; Mumtaz, S.; Nallanathan, A. Rate-Splitting Multiple Access-Based Cognitive Radio Network with ipSIC and CEEs. IEEE Trans. Veh. Technol. 2024, 73, 1430–1434. [Google Scholar] [CrossRef]
- Li, Q.; Li, H.; Hao, S.; Li, L.; Dai, X. Impact of RHIs and ipSIC on Active RIS-NOMA Systems with Low-Precision ADCs. IEEE Commun. Lett. 2025, 29, 2376–2380. [Google Scholar]
- Li, X.; Liu, M.; Dang, S.; Luong, N.C.; Yuen, C.; Nallanathan, A.; Niyato, D. Covert Communications with Enhanced Physical Layer Security in RIS-Assisted Cooperative Networks. IEEE Trans. Wirel. Commun. 2025, 24, 5605–5619. [Google Scholar] [CrossRef]
- Mu, X.; Liu, Y.; Guo, L.; Lin, J.; Schober, R. Simultaneously Transmitting and Reflecting (STAR) RIS Aided Wireless Communications. IEEE Trans. Wirel. Commun. 2022, 21, 3083–3098. [Google Scholar] [CrossRef]
- Li, X.; Zhao, J.; Chen, G.; Hao, W.; Da Costa, D.B.; Nallanathan, A.; Shin, H.; Yuen, C. STAR-RIS-Assisted Covert Wireless Communications with Randomly Distributed Blockages. IEEE Trans. Wirel. Commun. 2025, 24, 4690–4705. [Google Scholar] [CrossRef]
- Vu, T.; Nguyen, T.; Pham, Q.; da Costa, D.B.; Kim, S. STAR-RIS-Enabled Short-Packet NOMA Systems. IEEE Trans. Veh. Technol. 2023, 72, 13764–13769. [Google Scholar] [CrossRef]
- Le, T.H.T.; Dien, N.V.; Nguyen, L.V.; Nguyen, T.-H.; Lee, O.-J. Transmission Power Optimization for Hybrid NOMA-URLLC System with STAR-RIS Assistance. IEEE Access 2025, 13, 50216–50225. [Google Scholar] [CrossRef]
- Perdana, R.H.Y.; Nguyen, T.-V.; Pramitarini, Y.; Nguyen, D.H.N.; An, B. Enhancing Spectral Efficiency of Short-Packet Communications in STAR-RIS-Assisted SWIPT MIMO-NOMA Systems with Deep Learning. IEEE Trans. Wirel. Commun. 2025, 24, 842–859. [Google Scholar] [CrossRef]
- Karim, F.; Singh, S.K.; Singh, K.; Prakriya, S.; Flanagan, M.F. On the Performance of STAR-RIS-Aided NOMA at Finite Blocklength. IEEE Wirel. Commun. Lett. 2023, 12, 868–872. [Google Scholar] [CrossRef]
- Vu, T.; Nguyen, K.; da Costa, D.B.; Shin, H.; Kim, S. Aerial STAR-RIS-Based Symbiotic Systems with Semi-NOMA Transmission: Performance Analysis and Optimization. IEEE Internet Things J. 2025, 12, 38043–38058. [Google Scholar] [CrossRef]
- Katwe, M.V.; Deshpande, R.; Singh, K.; Pan, C.; Ghare, P.H.; Duong, T.Q. Spectrally-Efficient Beamforming Design for STAR-RIS-Aided URLLC NOMA Systems. IEEE Trans. Commun. 2024, 72, 4414–4431. [Google Scholar] [CrossRef]
- Kumar, S.; Kumbhani, B.; Darshi, S. Performance Analysis of STAR-RIS Aided Short-Packet NOMA Network Under Imperfect SIC and CSI. IEEE Syst. J. 2025, 19, 600–611. [Google Scholar] [CrossRef]
- Li, X.; Li, J.; Liu, Y.; Ding, Z.; Nallanathan, A. Residual Transceiver Hardware Impairments on Cooperative NOMA Networks. IEEE Trans. Wirel. Commun. 2020, 19, 680–695. [Google Scholar]
- Li, Q.; El-Hajjar, M.; Sun, Y.; Hemadeh, I.; Shojaeifard, A.; Liu, Y.; Hanzo, L. Achievable Rate Analysis of the STAR-RIS-Aided NOMA Uplink in the Face of Imperfect CSI and Hardware Impairments. IEEE Trans. Commun. 2023, 71, 6100–6114. [Google Scholar]
- Li, X.; Zhao, M.; Zeng, M.; Mumtaz, S.; Menon, V.G.; Ding, Z.; Dobre, O.A. Hardware Impaired Ambient Backscatter NOMA Systems: Reliability and Security. IEEE Trans. Commun. 2021, 69, 2723–2736. [Google Scholar] [CrossRef]
- Xia, C.; Xiang, Z.; Su, B.; Liu, H.; Meng, J.; Pan, G. RIS-NOMA-Assisted Short-Packet Communication with Hardware Impairments. IEEE Internet Things J. 2024, 11, 2990–3002. [Google Scholar] [CrossRef]
- Ren, Y.; Wang, J.; Zhang, X.; Lv, T.; Lin, S.; Lu, G. RIS-Assisted Short-Packet NOMA Systems with Discrete Phase Shifts and Hardware Impairments. IEEE Internet Things J. 2025, 12, 50213–50231. [Google Scholar] [CrossRef]
- Kumar, S.; Kumbhani, B. Performance Analysis of Active STAR-RIS-Assisted NOMA with Hardware Impairments at Finite Blocklength. Digit. Signal Process. 2025, 105206. [Google Scholar] [CrossRef]
- Xiang, Z.; Yang, W.; Cai, Y.; Ding, Z.; Song, Y. Secure Transmission Design in HARQ Assisted Cognitive NOMA Networks. IEEE Trans. Inf. Forensics Secur. 2020, 15, 2528–2541. [Google Scholar] [CrossRef]
- Sarkar, D.; Yadav, S.S.; Pal, V.; Yogita; Kumar, N. Intelligent Reflecting Surface Aided NOMA-HARQ Based IoT Framework for Future Wireless Networks. IEEE Trans. Veh. Technol. 2023, 72, 6268–6280. [Google Scholar] [CrossRef]
- Liu, Y.; Clerckx, B.; Popovski, P. Performance Analysis of Uplink Rate-Splitting Multiple Access with Hybrid ARQ. IEEE Trans. Wirel. Commun. 2024, 23, 14201–14214. [Google Scholar] [CrossRef]
- Gao, J.; Fan, P.; Li, L. Optimized Polarizing Matrix Extension Based HARQ Scheme for Short Packet Transmission. IEEE Commun. Lett. 2020, 24, 951–955. [Google Scholar] [CrossRef]
- Shi, Z.; Chen, Y.; Wang, H.; Fu, Y.; Yang, G.; Lei, H.; Ma, S. BLER Analysis of HARQ-IR-Aided Short Packet Communications Over Correlated Fading Channels. In Proceedings of the 2024 IEEE Wireless Communications and Networking Conference (WCNC), Dubai, United Arab Emirates, 21–24 April 2024. [Google Scholar]
- Cao, F.; Song, Y.; Yang, Y. ARQ Assisted Short-Packet Communications for NOMA Networks Over Nakagami-m Fading Channels. IEEE Access 2020, 8, 158263–158272. [Google Scholar] [CrossRef]
- Ebrahimi, M.M.; Khamforoosh, K.; Amini, M.; Sheikhahmadi, A.; Khamfroush, H. Adaptive-Persistent Nonorthogonal Random Access Scheme for URLL Massive IoT Networks. IEEE Syst. J. 2023, 17, 1660–1671. [Google Scholar] [CrossRef]
- Asemian, G.; Amini, M.; Kantarci, B. Active RIS-NOMA Uplink in URLLC, Jamming Mitigation via Surrogate and Deep Learning. IEEE Open J. Commun. Soc. 2025, 6, 690–707. [Google Scholar] [CrossRef]
- Yang, P.; Yang, L.; Wang, S. Performance Analysis for RIS-Aided Wireless Systems with Imperfect CSI. IEEE Wirel. Commun. Lett. 2022, 11, 588–592. [Google Scholar] [CrossRef]
- Zhang, Y.; Yang, L.; Li, X.; Guo, K.; Liu, H.; Bian, Y. STAR-RIS-Assisted IoV NOMA Networks with Hardware Impairments and Imperfect CSI. IEEE Trans. Intell. Transp. Syst. 2024, 25, 13501–13510. [Google Scholar] [CrossRef]
- Polyanskiy, Y.; Poor, H.V.; Verdu, S. Channel Coding Rate in the Finite Blocklength Regime. IEEE Trans. Inf. Theory 2010, 56, 2307–2359. [Google Scholar] [CrossRef]
- Boulogeorgos, A.; Alexiou, A. Performance Analysis of Reconfigurable Intelligent Surface-Assisted Wireless Systems and Comparison with Relaying. IEEE Access 2020, 8, 94463–94483. [Google Scholar] [CrossRef]
- Gradshteyn, I.S.; Ryzhik, I.M. Table of Integrals, Series, and Products, 7th ed.; Academic: New York, NY, USA, 2007. [Google Scholar]







| Cases | Retransmitted Signals | STAR-RIS Working Modes | ||
|---|---|---|---|---|
| 1 | NACK | NACK | ES | |
| 2 | ACK | NACK | Full refraction mode | |
| 3 | NACK | ACK | Full reflection mode | |
| 4 | ACK | ACK | Null | Null |
| ℓ | Corresponding SINR | ||||
|---|---|---|---|---|---|
| 1 | |||||
| 2 | |||||
| 3 | |||||
| 4 | |||||
| 5 | |||||
| 6 | |||||
| 7 | |||||
| 8 |
| Parameter | Value |
|---|---|
| Blocklength | |
| Noise power | dBm |
| Transmit power | dBm |
| Number of STAR-RIS elements | |
| Channel correlation coefficient | |
| IpSIC factor | |
| Complexity accuracy tradeoff parameter | , |
| Level of hardware impairments | |
| Distance between nodes | km, km, km |
| Path loss coefficient | |
| Number of information bits | , |
| Power allocation factors | , |
| Reflection and refraction coefficients | , |
Disclaimer/Publisher’s Note: The statements, opinions and data contained in all publications are solely those of the individual author(s) and contributor(s) and not of MDPI and/or the editor(s). MDPI and/or the editor(s) disclaim responsibility for any injury to people or property resulting from any ideas, methods, instructions or products referred to in the content. |
© 2026 by the authors. Licensee MDPI, Basel, Switzerland. This article is an open access article distributed under the terms and conditions of the Creative Commons Attribution (CC BY) license.
Share and Cite
Wang, Z.; Li, J.; Zhang, S.; Chen, D. ARQ-Enhanced Short-Packet NOMA Communications with STAR-RIS. Telecom 2026, 7, 25. https://doi.org/10.3390/telecom7020025
Wang Z, Li J, Zhang S, Chen D. ARQ-Enhanced Short-Packet NOMA Communications with STAR-RIS. Telecom. 2026; 7(2):25. https://doi.org/10.3390/telecom7020025
Chicago/Turabian StyleWang, Zhipeng, Jin Li, Shuai Zhang, and Dechuan Chen. 2026. "ARQ-Enhanced Short-Packet NOMA Communications with STAR-RIS" Telecom 7, no. 2: 25. https://doi.org/10.3390/telecom7020025
APA StyleWang, Z., Li, J., Zhang, S., & Chen, D. (2026). ARQ-Enhanced Short-Packet NOMA Communications with STAR-RIS. Telecom, 7(2), 25. https://doi.org/10.3390/telecom7020025

