Influence of Dead Volume Ration on the Thermodynamic Performance of Free-Piston Stirling Machines
Abstract
1. Introduction
2. Mathematical Model
2.1. Model Assumptions
- (1)
- Perfect regeneration is assumed, with no thermal losses; the regenerator is considered to have 100% effectiveness.
- (2)
- No flow resistance is considered for the working fluid; pressure losses within the system are neglected, and instantaneous pressure is assumed to be uniform throughout the cycle.
- (3)
- The working fluid behaves as an ideal gas, following the ideal gas law pV = MRT.
- (4)
- No mass leakage occurs during operation; the mass of the working fluid remains constant.
- (5)
- The volumes of the compression and expansion chambers vary sinusoidally over time.
- (6)
- The compression and expansion processes are isothermal, and the thermodynamic cycle is divided into five distinct processes, each occurring at a constant temperature.
2.2. Model Establishment
2.3. Model Calibration and Parametric Sensitivity Analysis
3. Results and Discussion
3.1. Structural Parameters of the Free-Piston Stirling Machine
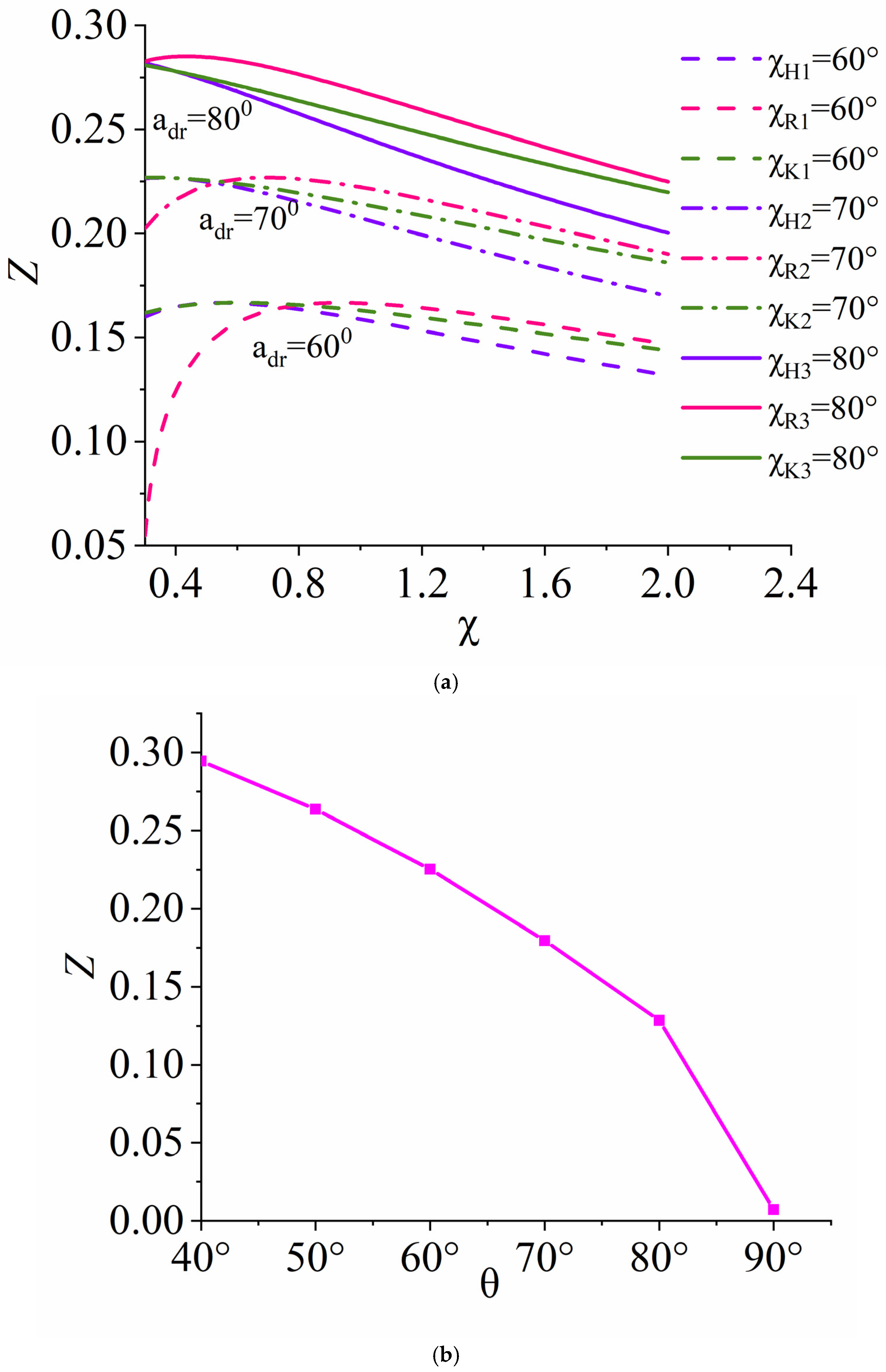
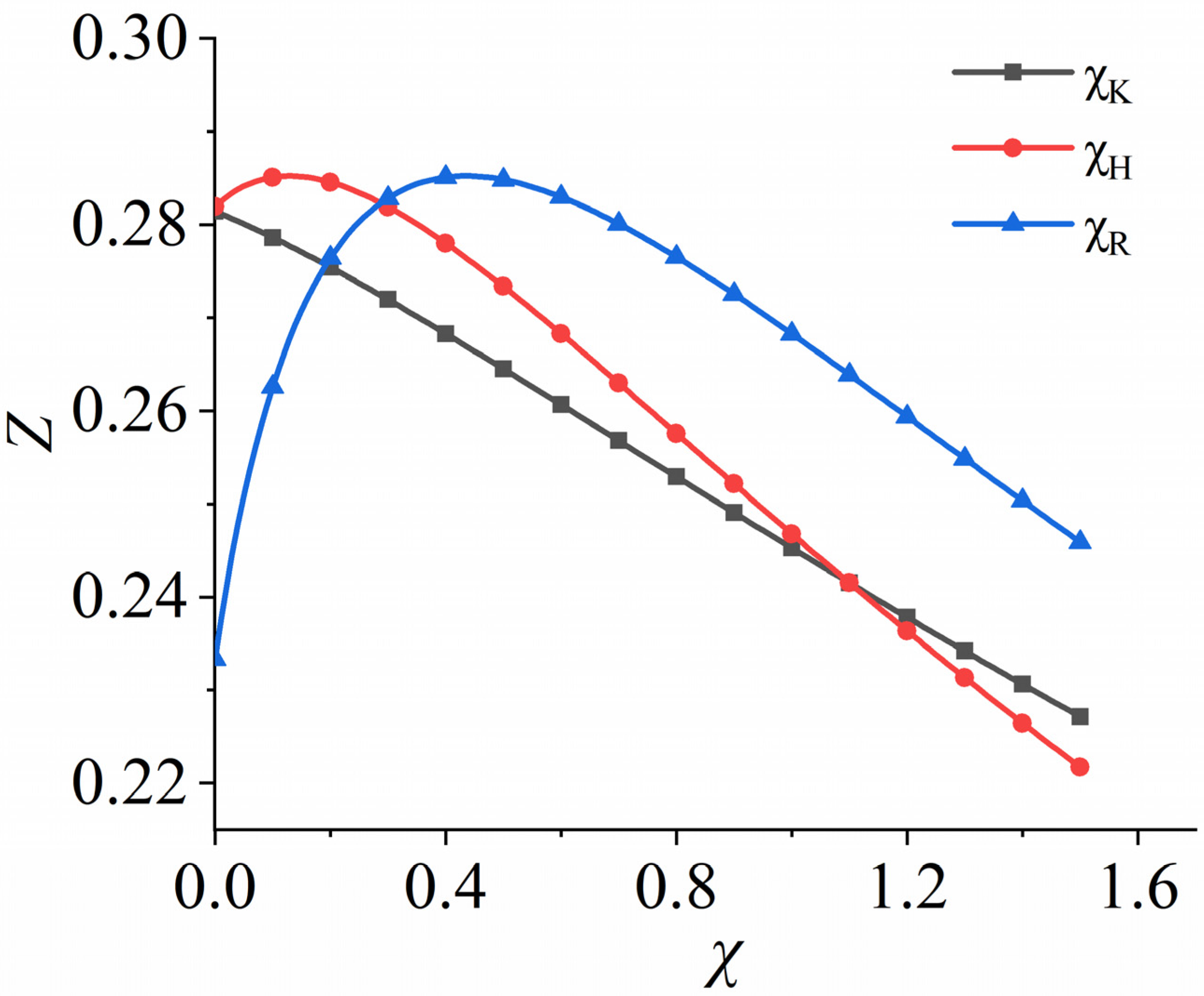
3.2. Effect of Dead Volume Ratio on Dimensionless Power
3.3. Effects of the Other Factors on the Dimensionless Power and the Dead Volume Ratio
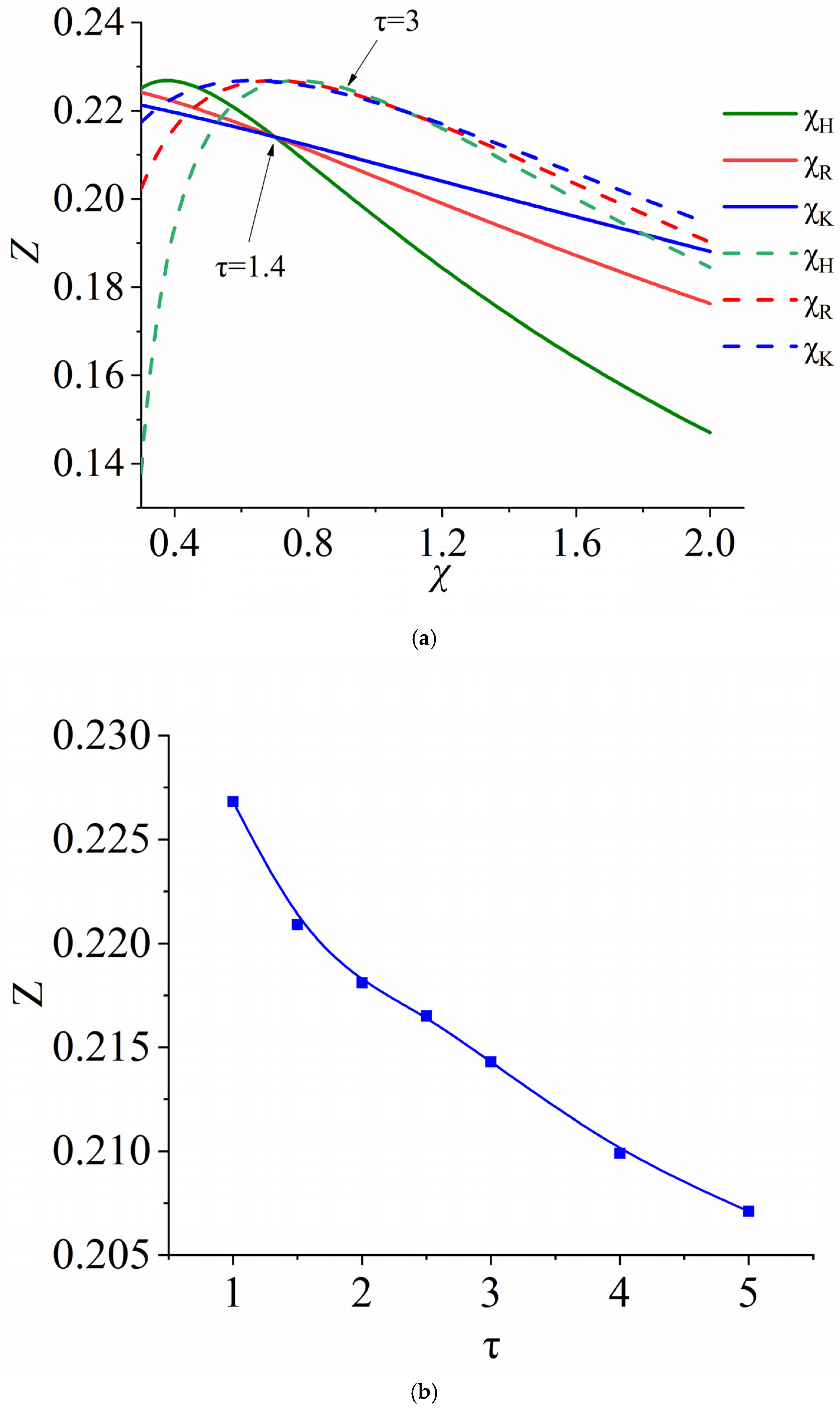
3.3.1. The Temperature Ration τ
3.3.2. The Dead Volume Ratio of the Regenerator χR
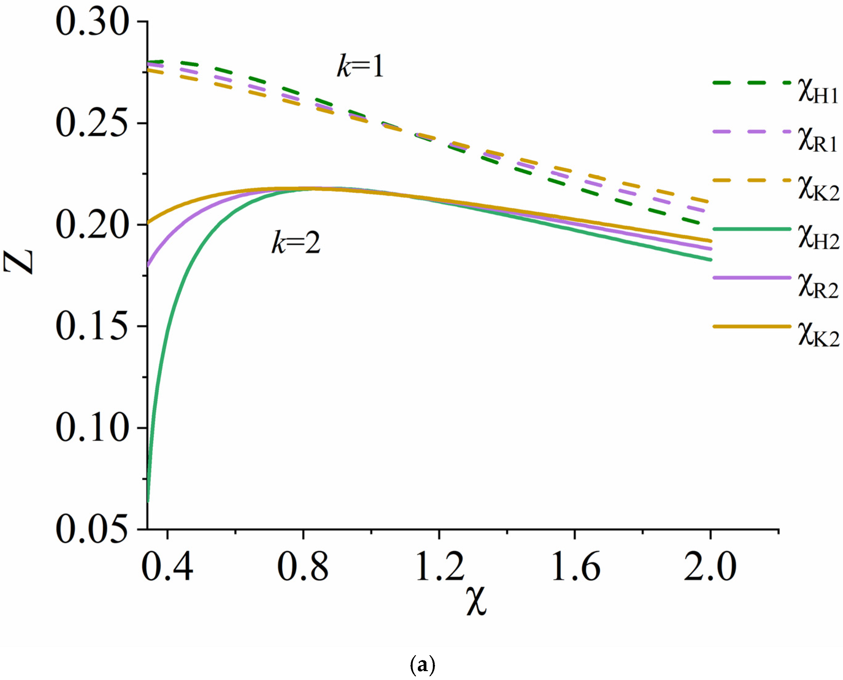
3.3.3. The Sweeping Volume Ratio k
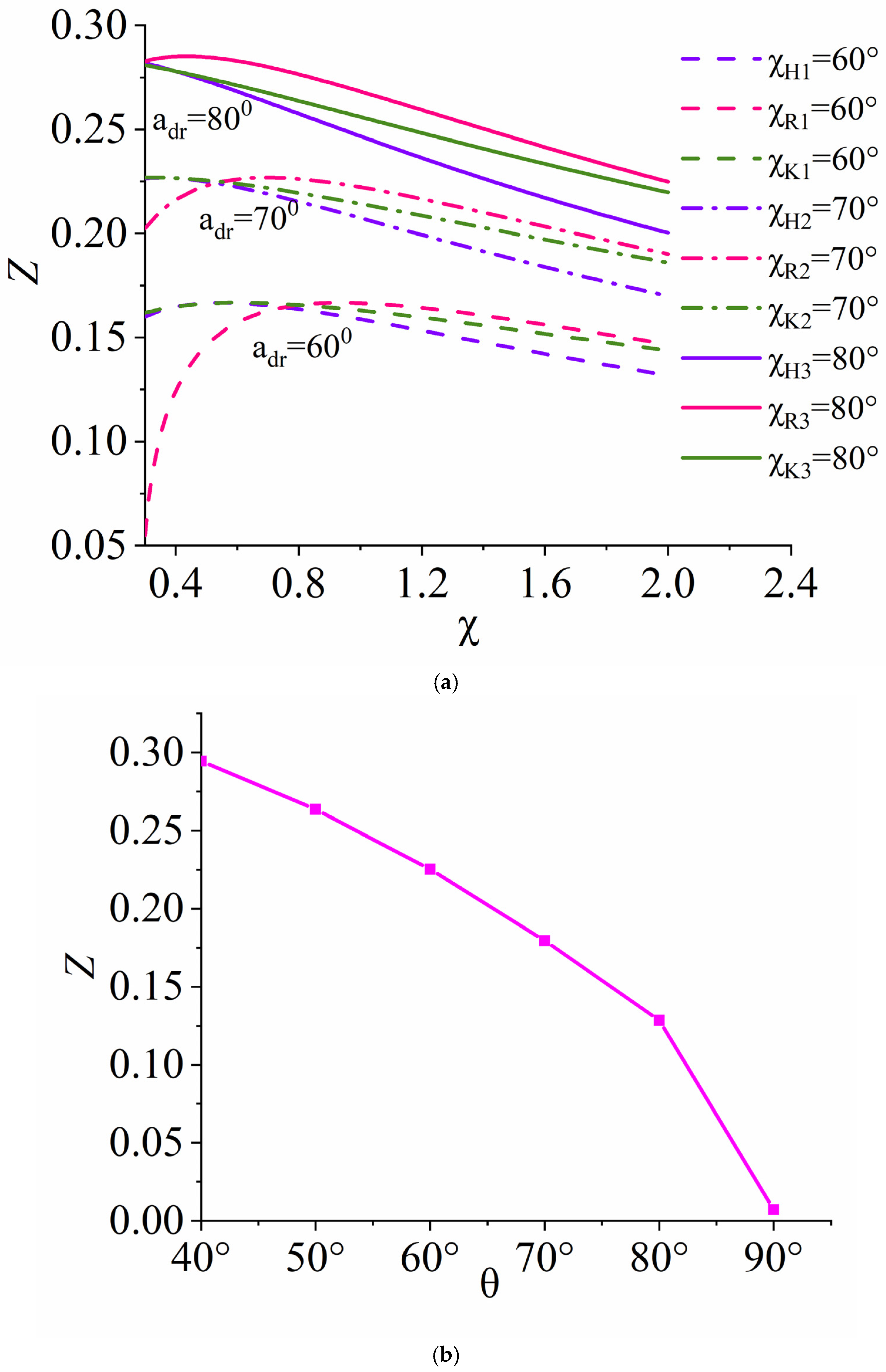
3.3.4. The Minimum Pressure Angle θ
3.4. Model Validation: Comparison with the Classical Schmidt Model
4. Conclusions and Recommendations
- (1)
- Priority should be given to maintaining the dead volume ratios at the cold and hot ends within their optimal ranges, while appropriately reducing the regenerator volume to mitigate irreversible losses, as its impact, while lesser, remains non-negligible, especially at higher swept volume ratios.
- (2)
- The sweep volume ratio should remain within a moderate range (preferably closer to k = 1 than k = 2) to avoid performance degradation caused by excessive values.
- (3)
- Additionally, adopting a larger piston phase angle (αdr ≥ 70°) and a smaller minimum pressure angle (θ ≤ 60°) is beneficial for enhancing gas work capacity and improving the efficiency of the p-v cycle, this parameter coupling strategy ensures that the system operates close to its optimal thermodynamic state, maximizing the dimensionless power output Z.
Author Contributions
Funding
Data Availability Statement
Acknowledgments
Conflicts of Interest
Abbreviations
| p | pressure |
| v | volume |
| M | mass |
| T | temperature |
| H | heater |
| C | cooler |
| R | regenerator |
| θ | minimum pressure angle |
| χ | dead volume ratio |
| adr | piston phase angle |
| av | volume phase angle |
| k | sweep volume ration |
| τ | temperature ration |
| Z | dimensionless power |
| W | cycle work |
References
- Walker, G. Stirling Engines; Oxford University Press: Oxford, UK, 1980. [Google Scholar]
- Thombare, D.G.; Verma, S.K. Technological development in the Stirling cycle engines. Renew. Sustain. Energy Rev. 2008, 12, 1–38. [Google Scholar] [CrossRef]
- Cheng, C.; Yang, H. Optimization of geometrical parameters for Stirling engines based on theoretical analysis. Appl. Energy 2012, 92, 395–405. [Google Scholar] [CrossRef]
- Formosa, F.; Despesse, G. Analytical model for Stirling cycle machine design. Energy Convers. Manag. 2010, 51, 1855–1863. [Google Scholar] [CrossRef]
- Gschwendtner, M.; Bell, G. The Myth about Dead Volume in Stirling Engines. J. Mech. Eng. Sci. 2016, 231, 0954406216651303. [Google Scholar] [CrossRef]
- Urieli, I.; Berchowitz, D. Stirling Cycle Engine Analysis; CRC Press: Boca Raton, FL, USA, 1983. [Google Scholar]
- Organ, A.J. Thermodynamics and Gas Dynamics of the Stirling Cycle Machine; Cambridge University Press: Cambridge, UK, 1992. [Google Scholar]
- Kongtragool, B.; Wongwises, S. Thermodynamic Analysis of a Stirling Engine including Dead Volumes of Hot Space, Cold Space and Regenerato. Renew. Energy 2006, 31, 345–359. [Google Scholar] [CrossRef]
- Harrod, J.; Mago, P.; Srinivasan, K.; Chamara, L.M. First and Second Law Analysis of a Stirling Engine with Imperfect Regeneration and Dead Volume. Proc. Inst. Mech. Eng. Part C J. Mech. Eng. Sci. 2009, 223, 2595–2607. [Google Scholar] [CrossRef]
- Qu, J.; Xu, G.; Zhang, X.; Zhang, A. Impact Analysis of Unhelpful Volume Radio for a γ-type Stirling Engine. Vac. Cryog. 2018, 24, 393–397. [Google Scholar]
- Alfarawi, S.; Al-Dadah, R.; Mahmoud, S. Influence of Phase Angle and Dead Volume on Gamma-type Stirling Engine Power Using CFD Simulation. Energy Convers. Manag. 2016, 124, 130–140. [Google Scholar] [CrossRef]
- Yang, X.; Lei, H.; Tian, R.; Wang, L. Analysis of Influence of Various Factors on Power of β-Stirling Engine. J. Drain. Irrig. Mach. Eng. 2020, 38, 6. [Google Scholar]
- Puech, P.; Tishkova, V. Thermodynamic Analysis of a Stirling Engine including Regenerator Dead Volume. Renew. Energy 2011, 36, 872–878. [Google Scholar] [CrossRef]
- Qian, G.; Zhou, Z.; Yan, S. Principles and Design of Stirling Engines; National Defense Industry Press: Arlington, VA, USA, 1987. [Google Scholar]
- You, E.; Zhang, T.; Xing, D.; Xu, J.; Yan, X. Research on System Performance and Engineering Application of Stirling Power Conversion Technology. Nucl. Power Eng. 2024, 45, 269–276. [Google Scholar]
- Mou, J.; Lin, M.; Chi, C.; Hong, G. The Phase Characteristics of Free Piston Stirling Engine. Huazhong Univ. Sci. Technol. Nat. Sci. Ed. 2019, 47, 56–61. [Google Scholar]
- Huo, Y.; Zhang, W.; Guo, C.; Liu, Y. The Parameters Designing for Heat Powered Dual Stirling Refrigerator. Vac. Cryog. 2023, 29, 504–510. [Google Scholar]
- Chang, D.; Hu, J.; Sun, Y.; Zhang, L.; Chen, Y.; Luo, E. Numerical Investigation on Key Parameters of a Double-acting Free Piston Stirling Generator. Energy 2023, 278, 128003. [Google Scholar] [CrossRef]
- Yang, D.; Gschwendtner, M.; Waleed, Z.; Protheroe, M. The Pressure-volume Relationship in an Ideal Stirling Refrigerator. Cryogenics 2024, 141, 103882. [Google Scholar] [CrossRef]
- Yang, H.; Kuan, S.; Ali, M. Effect of Dynamic Characteristics on the Performance of a Free-piston Stirling Heat-driven Cooler. Appl. Therm. Eng. 2025, 274, 126795. [Google Scholar] [CrossRef]
- Daniarta, S.; Sowa, D.; Blasiak, P.; Kolasinski, P.; Imre, A. Techno-economic survey of enhancing Power-to-Methane efficiency via waste heat recovery from electrolysis and biomethanation. Renew. Sustain. Energy Rev. 2024, 194, 1.1–1.21. [Google Scholar] [CrossRef]
- Jin, D. Stirling Engine Technology; Harbin Engineering University Press: Harbin, China, 2009. [Google Scholar]








| Parameters | Symbol | Value Range |
|---|---|---|
| Temperature Ratio | τ | 1–5 |
| Volume Ratio | k | 0.5–3.5 |
| Piston Phase Angle | adr | 55–90° |
| Volume Phase Angle | av | 90° |
| Minimum Pressure Angle | θ | 40–90° |
| Dead Volume Ratio of the Regenerator | χr | 0–2 |
| Dead Volume Ratio of the Hot Region | χh | 0–2 |
| Dead Volume Ratio of the Cold Region | χk | 0–2 |
Disclaimer/Publisher’s Note: The statements, opinions and data contained in all publications are solely those of the individual author(s) and contributor(s) and not of MDPI and/or the editor(s). MDPI and/or the editor(s) disclaim responsibility for any injury to people or property resulting from any ideas, methods, instructions or products referred to in the content. |
© 2025 by the authors. Licensee MDPI, Basel, Switzerland. This article is an open access article distributed under the terms and conditions of the Creative Commons Attribution (CC BY) license (https://creativecommons.org/licenses/by/4.0/).
Share and Cite
Wang, Y.; Guo, J. Influence of Dead Volume Ration on the Thermodynamic Performance of Free-Piston Stirling Machines. Modelling 2025, 6, 150. https://doi.org/10.3390/modelling6040150
Wang Y, Guo J. Influence of Dead Volume Ration on the Thermodynamic Performance of Free-Piston Stirling Machines. Modelling. 2025; 6(4):150. https://doi.org/10.3390/modelling6040150
Chicago/Turabian StyleWang, Yajuan, and Junde Guo. 2025. "Influence of Dead Volume Ration on the Thermodynamic Performance of Free-Piston Stirling Machines" Modelling 6, no. 4: 150. https://doi.org/10.3390/modelling6040150
APA StyleWang, Y., & Guo, J. (2025). Influence of Dead Volume Ration on the Thermodynamic Performance of Free-Piston Stirling Machines. Modelling, 6(4), 150. https://doi.org/10.3390/modelling6040150

