A Carbon-Particle-Supported Palladium-Based Cobalt Composite Electrocatalyst for Ethanol Oxidation Reaction (EOR)
Abstract
1. Introduction
2. Experimental Details
2.1. Reagents and Materials
2.2. Preparation of a Carbon Particle Supported Palladium Based Cobalt Composite Electrocatalyst (PdxCoy/CP)
2.3. Preparation of PdxCoy/CP Coated GC (Glassy Carbon) Electrodes
2.4. Characterization
3. Results and Discussion
3.1. Characterizations
3.2. SEM Characterization
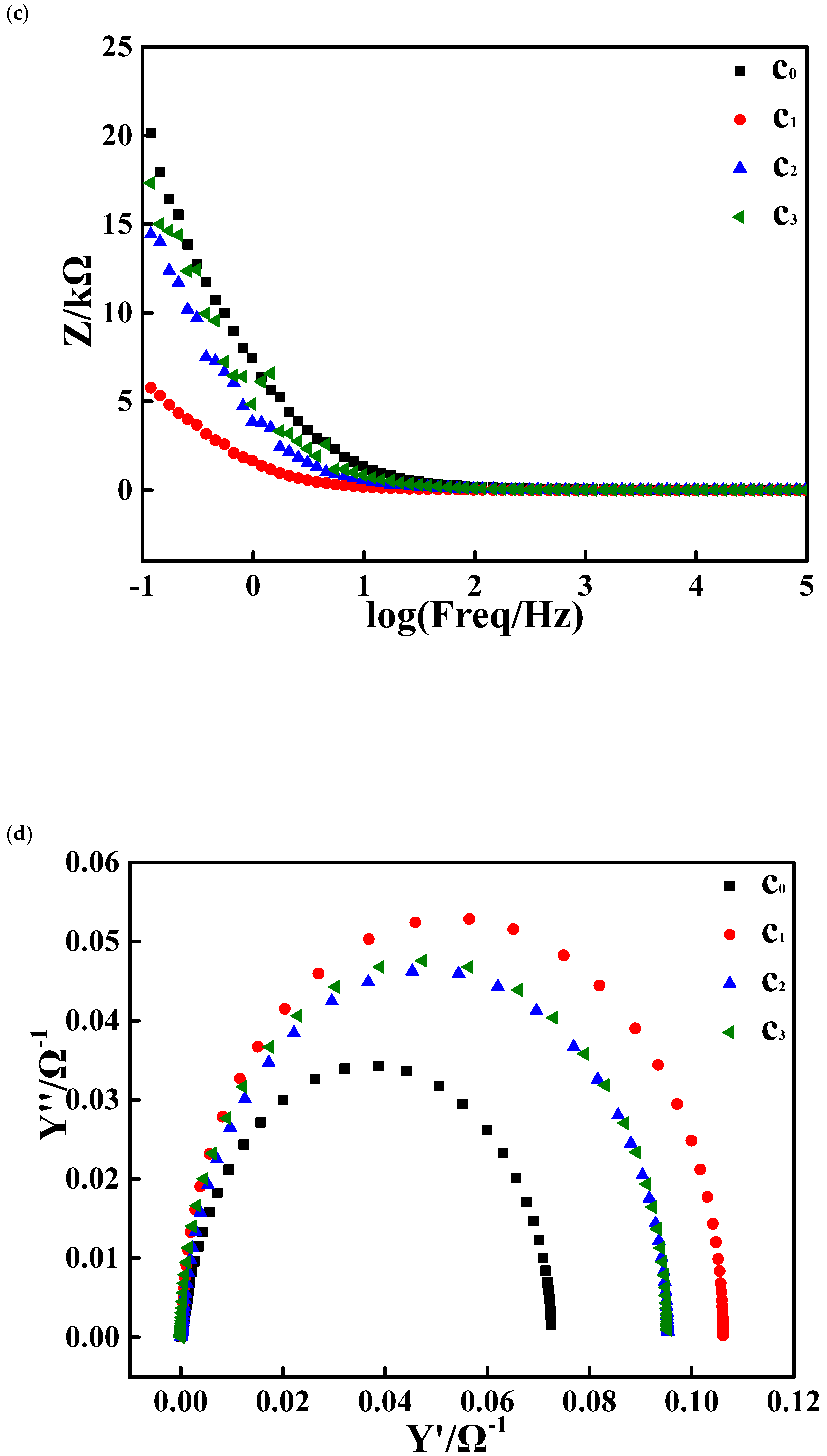
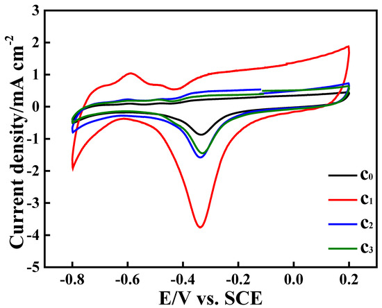
3.3. Electrocatalytic Performances of All Prepared Catalysts Towards EOR
3.4. The Role of Co Element in Promoting the Electrocatalytic Ability of Pd/CP Towards EOR
4. Conclusions
Author Contributions
Funding
Informed Consent Statement
Data Availability Statement
Conflicts of Interest
References
- Shinde, S.S.; Wagh, N.K.; Lee, C.H.; Kim, D.H.; Kim, S.H.; Um, H.D.; Lee, S.U.; Lee, J.H. Scaling-Up Insights for Zinc-Air Battery Technologies Realizing Reversible Zinc Anodes. Adv. Mater. 2023, 35, 2303509. [Google Scholar] [CrossRef] [PubMed]
- Wang, T.; He, J.; Zhu, Z.; Cheng, X.B.; Zhu, J.; Lu, B.; Wu, Y. Heterostructures Regulating Lithium Polysulfides for Advanced Lithium-Sulfur Batteries. Adv. Mater. 2023, 35, 2303520. [Google Scholar] [CrossRef] [PubMed]
- Zhang, S.; Wang, J.; Chen, K.; Pu, X.; Zhu, H.; Zhao, Y.; Zhao, A.; Chen, X.; Fang, Y.; Chen, Z.; et al. Aromatic Ketones as Mild Presodiating Reagents toward Cathodes for High-Performance Sodium-Ion Batteries. Angew. Chem. Int. Ed. 2024, 63, e202317439. [Google Scholar] [CrossRef]
- Feng, S.; Zhang, M.; Ma, Y.; Ding, X.; Yan, T.; Wu, Y.; Huang, W.; Zhang, L.; Ye, H.; Ji, Y.; et al. 3D π-d Conjugated Coordination Polymer Enabling Ultralong Life Magnesium-Ion Storage. Adv. Mater. 2023, 35, 2307736. [Google Scholar] [CrossRef]
- Das, S.K. Graphene: A Cathode Material of Choice for Aluminum-Ion Batteries. Angew. Chem. Int. Ed. 2018, 57, 16606–16617. [Google Scholar] [CrossRef]
- Li, L.; Tang, X.; Wu, B.; Huang, B.; Yuan, K.; Chen, Y. Advanced Architectures of Air Electrodes in Zinc-Air Batteries and Hydrogen Fuel Cells. Adv. Mater. 2024, 36, 2308326. [Google Scholar] [CrossRef] [PubMed]
- Queiroz, M.B.; Duarte, R.C.O.; Lima, J.F.; Vilar, E.O. Comparative Evaluation of Grid Corrosion of Lead-Acid Batteries Formed by Casting and Rolling Process. J. Power Sources 2024, 596, 234113. [Google Scholar] [CrossRef]
- Zhao, Y.; Hu, Z.; Zhao, Z.; Chen, X.; Zhang, S.; Gao, J.; Luo, J. Strong Solvent and Dual Lithium Salts Enable Fast-Charging Lithium-Ion Batteries Operating from −78 to 60 °C. J. Am. Chem. Soc. 2023, 145, 22184–22193. [Google Scholar] [CrossRef]
- Zhou, X.; Ma, Y.; Ge, Y.; Zhu, S.; Cui, Y.; Chen, B.; Liao, L.; Yun, Q.; He, Z.; Long, H.; et al. Preparation of Au@Pd Core-Shell Nanorods with fcc-2H-fcc Heterophase for Highly Efficient Electrocatalytic Alcohol Oxidation. J. Am. Chem. Soc. 2022, 144, 547–555. [Google Scholar] [CrossRef]
- Li, J.J.; Geng, W.C.; Jiang, L.; Li, Y.J. Surface-Pt-Rich AgPtAu Trimetallic Nanotrough Arrays for Boosting Alcohol Electrooxidation. Green Chem. 2023, 25, 3561–3569. [Google Scholar] [CrossRef]
- Saritha, D.; Reddy, N.M.; Ramesh, G.V. Pt- and Pd- Based Intermetallic Anode Catalysts for Direct Ethanol Fuel Cell (DEFC): An Overview. Mater. Today Proc. 2022, 64, 357–362. [Google Scholar] [CrossRef]
- Mohammadi, T.; Hosseini, M.G.; Ashassi-Sorkhabi, H.; Sefidi, P.Y. Investigating Performance of Flower-Like CoCu-MOF Supported on Carbon Felt as A Binder-Free Anode Electrode in Direct Ethanol Fuel Cell. Synth. Met. 2023, 298, 117443. [Google Scholar] [CrossRef]
- Reddy, L.E.; Gollapudi, D.; Jain, G.M.; Kolluru, S.; Ramesh, G.V. Recent Progress in the Development of Platinum-Based Electrocatalysts for the Oxidation of Ethanol in Fuel Cells. Mater. Today Proc. 2023, 92, 636–641. [Google Scholar] [CrossRef]
- Qiu, Y.; Zhang, J.; Jin, J.; Sun, J.; Tang, H.; Chen, Q.; Zhang, Z.; Sun, W.; Meng, G.; Xu, Q.; et al. Construction of Pd-Zn Dual Sites to Enhance the Performance for Ethanol Electro-Oxidation Reaction. Nat. Commun. 2021, 12, 5273. [Google Scholar] [CrossRef] [PubMed]
- Almeida, C.V.S.; Colmati, F.; Ciapina, E.G.; Eguiluz, K.I.B.; Salazar-Banda, G.R. Nanowires of Pd and Pd Alloys for Fuel Cell Applications: A Review of the Current State-of-the-Art. J. Electroanal. Chem. 2024, 955, 118073. [Google Scholar] [CrossRef]
- Zhang, N.; Yu, S.; Li, J.; Liang, W.; Li, Y.; Wu, Z.; Wang, C.; Du, Y. Advanced Low-Dimensional PdAg Networked Nanochains for the Superior Alcohol Electrocatalysis. Appl. Surf. Sci. 2024, 651, 159291. [Google Scholar] [CrossRef]
- Singha, T.; Mishra, S.M.; Chini, T.K.; Satpati, B. Highly Strained Gold (Au)-Palladium (Pd) Core-Shell Nanobipyramids with Extraordinary High Activity and Durability towards Ethanol Electrooxidation. Appl. Surf. Sci. 2022, 604, 154491. [Google Scholar] [CrossRef]
- Wang, X.; Fan, W.; Zhang, C.; Chi, M.; Zhu, A.; Zhang, Q.; Liu, Q. Well-Dispersed Pd-Sn Nanocatalyst Anchored on TiO2 Nanosheets with Enhanced Activity and Durability for Ethanol Electarooxidation. Electrochim. Acta 2019, 320, 134588. [Google Scholar] [CrossRef]
- Lestarini, D.T.; Hong, J.W. Intermetallic Pd3Pb Nanobranches with Low-Coordinated Surface Atoms for Highly Efficient Ethanol Oxidation Reaction. Appl. Surf. Sci. 2023, 610, 155311. [Google Scholar] [CrossRef]
- Łukowiec, D.; Wasiak, T.; Janas, D.; Drzymała, E.; Depciuch, J.; Tarnawski, T.; Kubacki, J.; Wacławek, S.; Radoń, A. Pd Decorated Co-Ni Nanowires as a Highly Efficient Catalyst for Direct Ethanol Fuel Cells. Int. J. Hydrogen Energy 2022, 47, 41279–41293. [Google Scholar] [CrossRef]
- Zhao, L.; Wen, M.; Fang, H.; Meng, K.; Qiu, X.; Wu, Q.; Fu, Y. NiCoPd Inlaid NiCo-Bimetallene for Efficient Electrocatalytic Methanol Oxidation. Inorg. Chem. 2022, 61, 10211–10219. [Google Scholar] [CrossRef] [PubMed]
- Ipadeola, A.K.; Abdelgawad, A.; Salah, B.; Ghanem, A.; Chitt, M.; Abdullah, A.M.; Eid, K. Self-Standing Foam-Like Pd-Based Alloys Nanostructures for Efficient Electrocatalytic Ethanol Oxidation. Int. J. Hydrogen Energy 2023, 48, 30354–30364. [Google Scholar] [CrossRef]
- Chang, J.; Wang, G.; Chang, X.; Yang, Z.; Wang, H.; Li, B.; Zhang, W.; Kovarik, L.; Du, Y.; Orlovskaya, N.; et al. Interface Synergism and Engineering of Pd/Co@N-C for Direct Ethanol Fuel Cells. Nat. Commun. 2023, 14, 1346. [Google Scholar] [CrossRef] [PubMed]
- Rodríguez-Barajas, M.H.; Gutiérrez, A.; Martínez-Lázaro, A.; Espinosa-Lagunes, F.I.; Rey-Raap, N.; Arenillas, A.; Ledesma-García, J.; Arriaga, L.G. Palladium-Cobalt Aerogels for Ethanol Oxidation: Electrochemical Study of Chemical Ratio Effects. J. Alloys Compd. 2023, 969, 172390. [Google Scholar] [CrossRef]
- Xiang, Y.; Zhao, J.; Qin, L.; Wu, B.; Tang, X.; Xu, Y. Construction of PdCo Catalysts on Ni Bowl-Like Micro/Nano Array Films for Efficient Methanol and Ethanol Electrooxidation. J. Alloys Compd. 2022, 924, 166483. [Google Scholar] [CrossRef]
- Yao, B.; Ye, J.; Wang, C.; Mu, W.; Liu, F.; Wen, D. Pd-CoOx Nanocomposite Aerogels for Highly Efficient Methanol and Ethanol Oxidation. Appl. Surf. Sci. 2023, 631, 157540. [Google Scholar] [CrossRef]
- Martínez-Lázaro, A.; Rodriguez-Barajas, M.H.; Rey-Raap, N.; Espinosa, F.I.; Álvarez-Contreras, L.; Ledesma-García, J.; Arenillas, A.; Arriaga, L.G. Novel and High Electrocatalytic Activity Aerogel Pd-TM (TM=Co, Ni, Fe). Mater. Today Nano 2023, 22, 100308. [Google Scholar] [CrossRef]
- Song, W.; Xu, Y.; Xie, X.; Li, C.; Zhu, W.; Xiang, Q.; Chen, W.; Tang, N.; Wang, L. CoFe-Layered Double Hydroxide Coupled with Pd Particles for Electrocatalytic Ethanol Oxidation. ACS Appl. Mater. Interfaces 2023, 15, 27253–27263. [Google Scholar] [CrossRef]
- Wen, F.; Song, M.; Du, X.; Zhuang, W.; Zhao, C.; Sun, L. Electrooxidation of Methanol and Ethanol Catalyzed by High-Performance Three-Dimensional Graphene-Supported PdM (Co, Cu) Binder-Free Electrode. Int. J. Hydrogen Energy 2024, 51, 846–856. [Google Scholar] [CrossRef]
- Wan, Z.; Bai, X.; Mo, H.; Yang, J.; Wang, Z.; Zhou, L. Multi-Porous NiAg-Doped Pd Alloy Nanoparticles Immobilized on Reduced Graphene Oxide/CoMoO4 Composites as A Highly Active Electrocatalyst for Direct Alcohol Fuel Cell. Colloids Surf. A Physicochem. Eng. Asp. 2021, 614, 126048. [Google Scholar] [CrossRef]
- Co, T.T.; Pham, T.T.T.; Pham, T.K.C.; Diep, T.D.; Huynh, L.T.N.; Le, V.H. Preparation of Carbon-Supported Ternary Nanocatalysts Palladium-Vanadium-Cobalt for Alcohol Electrooxidation. J. Chem. 2020, 2020, 6027613. [Google Scholar] [CrossRef]
- Wang, M.; Li, D.; Jia, W.; Zhao, J.; Ma, J.; Ma, D.; Tang, T.; Hu, T.; Jia, J.; Wu, H. Amorphous NiCo2O4 Decorated Pd/C as Electrocatalysts for Boosting Ethanol Oxidation Reaction in Alkaline Media. Electrochim. Acta 2022, 411, 140048. [Google Scholar] [CrossRef]
- Lashkenari, M.S.; Rezaei, S.; Fallah, J. Experimental and Theoretical Studies of Methanol Oxidation in the Presence of Co-Pd@Polyaniline/N-Doped Reduced Graphene Oxide Electrocatalyst. J. Appl. Electrochem. 2021, 51, 1267–1278. [Google Scholar] [CrossRef]
- Chen, Y.; Wen, Y.; Zhou, Q.; Shen, L.; Du, F.; Peng, P.; Chen, Y.; Zheng, J. Electrochemically-Induced Highly Reactive PdO* Interface on Modulated Mesoporous MOF-Derived Co3O4 Support for Selective Ethanol Electro-Oxidation. J. Energy Chem. 2023, 86, 609–619. [Google Scholar] [CrossRef]
- Ding, K.; Gu, H.; Zheng, C.; Liu, L.; Liu, L.; Yan, X.; Guo, Z. Octagonal Prism Shaped Lithium Iron Phosphate Composite Particlesas Positive Electrode Materials for Rechargeable Lithium-Ion Battery. Electrochim. Acta 2014, 146, 585–590. [Google Scholar] [CrossRef]
- Ding, K.; Han, J.; Gao, X.; Wang, L.; Zhou, L.; Qu, R.; He, X. An Ionic Liquid-Present Hydrothermal Method for Preparing Hawthorn Sherry Ball Shaped Palladium (Pd)-Based Composite Catalysts for Ethanol Oxidation Reaction (EOR). Int. J. Hydrogen Energy 2020, 45, 1930–1939. [Google Scholar] [CrossRef]
- Kannan, P.; Maiyalagan, T.; Pandikumar, A.; Guo, L.; Veerakumar, P.; Rameshkumar, P. Highly Sensitive Enzyme-Free Amperometric Sensing of Hydrogen Peroxide in Real Samples Based on Co3O4 Nanocolumn Structures. Anal. Methods 2019, 11, 2292–2302. [Google Scholar] [CrossRef]
- Li, Y.; Yao, L.; Zhang, L.Q.; Liu, A.R.; Zhang, Y.J.; Liu, S.Q. Palladium Nanoparticles Supported on Nitrogen-Doped Carbon Spheres as Enhanced Catalyst for Ethanol Electro-Oxidation. J. Electroanal. Chem. 2014, 730, 65–68. [Google Scholar] [CrossRef]
- López-Coronel, A.; Ortiz-Ortega, E.; Torres-Pacheco, L.J.; Guerra-Balcázar, M.; Arriaga, L.G.; Álvarez-Contreras, L.; Arjona, N. High Performance of Pd and PdAg with Well-Defined Facets in Direct Ethylene Glycol Microfluidic Fuel Cells. Electrochim. Acta 2019, 320, 134622. [Google Scholar] [CrossRef]
- Gao, D.; Wang, Z.; Wang, C.; Wang, L.; Chi, Y.; Wang, M.; Zhang, J.; Wu, C.; Gu, Y.; Wang, H.; et al. CrPd Nanoparticles on NH2-Functionalized Metal-Organic Framework as a Synergistic Catalyst for Efficient Hydrogen Evolution from Formic Acid. Chem. Eng. J. 2019, 361, 953–959. [Google Scholar] [CrossRef]
- Wang, Y.H.; Dai, Z.; Zhang, C.Y.; Sun, G.W.; Lu, Z.W.; Gao, X.P.; Sun, G.Z.; Lan, W.; Zhang, Z.X.; Pan, X.J.; et al. Investigation into Performance Enhancements of Li-S Batteries Via Oxygen-Containing Functional Groups on Activated Multi-Walled Carbon Nanotubes Using Fourier Transform Infrared Spectroscopy. Curr. Appl. Phys. 2020, 20, 1049–1057. [Google Scholar] [CrossRef]
- Bi, H.; Ye, G.; Yang, H.; Sun, H.; Ren, Z.; Guo, R.; Xu, M.; Cai, L.; Huang, Z. Near Infrared-Induced Shape Memory Polymer Composites with Dopamine-Modified Multiwall Carbon Nanotubes Via 3D-Printing. Eur. Polym. J. 2020, 136, 109920. [Google Scholar] [CrossRef]
- Sun, X.; Li, Y. Colloidal Carbon Spheres and Their Core/Shell Structures with Noble-Metal Nanoparticles. Angew. Chem. Int. Ed. 2004, 43, 597–601. [Google Scholar] [CrossRef]
- Zhang, S.W.; Yin, B.S.; Luo, Y.Z.; Shen, L.; Tang, B.S.; Kou, Z.; Liu, X.; Lim, D.B.K.; Gu, D.M.; Wang, Z.B.; et al. Fabrication and Theoretical Investigation of Cobaltosic Sulfide Nanosheets for Flexible Aqueous Zn/Co Batteries. Nano Energy 2020, 68, 104314. [Google Scholar] [CrossRef]
- Bu, X.; Zhou, Y.; Zhang, T.; Wang, Y.; Zhang, Z.; He, M. Optically Active Substituted Polyacetylene@Carbon Nanotube Hybrids: Preparation, Characterization and Infrared Emissivity Property Study. J. Solid State Chem. 2014, 216, 23–29. [Google Scholar] [CrossRef]
- Hu, F.; Xu, J.; Wei, L.; Wang, Z.; Jiang, F. In Situ Raman Study of High Potential Scan Enhanced Pt/C and Pd/C Catalyst Performance for Ethanol Oxidation. Electrochem. Commun. 2023, 154, 107561. [Google Scholar] [CrossRef]
- Yao, C.; Zhang, Q.; Cheng, B.; Chen, Q.; Wang, R.; Zhou, X.; Ren, Y.; Wei, F.; Zhang, M. Palladium Nanoparticles Anchored on MXene-Based N-Doped Porous Carbon Nanosheets as an Advanced Electrocatalyst for Ethanol Oxidation. J. Alloys Compd. 2023, 953, 169983. [Google Scholar] [CrossRef]
- Przybylska, N.; Śliwińska-Bartkowiak, M.; Kościński, M.; Rotnicki, K.; Bartkowiak, M.; Jurga, S. Confined Effect of Water Solution of Ciprofloxacin in Carbon Nanotubes Studied by Raman and Fourier Transform Infrared Spectroscopy Methods. J. Mol. Liq. 2021, 336, 115938. [Google Scholar] [CrossRef]
- Jahromi, H.; Adhikari, S.; Roy, P.; Hassani, E.; Pope, C.; Oh, T.S.; Karki, Y. Production of Green Transportation Fuels from Brassica Carinata Oil: A Comparative Study of Noble and Transition Metal Catalysts. Fuel Process. Technol. 2021, 215, 106737. [Google Scholar] [CrossRef]
- Selepe, C.T.; Gwebu, S.S.; Matthews, T.; Mashola, T.A.; Sikeyi, L.L.; Zikhali, M.; Mbokazi, S.P.; Makhunga, T.S.; Adegoke, K.A.; Maxakato, N.W. Electro-Catalytic Properties of Palladium and Palladium Alloy Electro-Catalysts Supported on Carbon Nanofibers for Electro-Oxidation of Methanol and Ethanol in Alkaline Medium. Catalysts 2022, 12, 608. [Google Scholar] [CrossRef]
- Nguyen, M.T.X.; Nguyen, M.K.; Pham, P.T.T.; Huynh, H.K.P.; Nguyen, S.T. Pd Coated One-Dimensional Ag Nanostructures: Controllable Architecture and Their Electrocatalytic Performance for Ethanol Oxidation in Alkaline Media. Int. J. Hydrogen Energy 2021, 46, 3909–3921. [Google Scholar] [CrossRef]
- Zhao, Z.; Zhang, L.; Ma, X.; Min, Y.; Xu, Q.; Li, Q. Pd3Pb1@Pt2 Core-Shell Concave Nanocubes to Boost the Ethanol Oxidation Reaction. Electrochim. Acta 2023, 442, 141866. [Google Scholar] [CrossRef]
- Yu, D.; Xu, C.; Su, Y.; Liu, D.; He, X. Nitrogen-Doped Graphene Aerogels-Supported Cobaltosic Oxide Nanocrystals as High-Performance bi-Functional Electrocatalysts for Oxygen Reduction and Evolution Reactions. J. Electroanal. Chem. 2017, 787, 46–54. [Google Scholar] [CrossRef]
- Ding, K.; Wang, Y.; Yang, H.; Zheng, C.; Cao, Y.; Wei, H.; Wang, Y.; Guo, Z. Electrocatalytic Activity of Multi-Walled Carbon Nanotubes-Supported PtxPdy Catalysts Prepared by a Pyrolysis Process toward Ethanol Oxidation Reaction. Electrochim. Acta 2013, 100, 147–156. [Google Scholar] [CrossRef]
- Wang, Y.F.; Zhu, C.; Yang, Y.Y.; Zhao, Z.G. Surface-Clean Low-Doped PdB/C as Superior Electrocatalysts toward Ethanol Oxidation in Alkaline Media. J. Energy Chem. 2018, 27, 389–394. [Google Scholar] [CrossRef]
- Sharma, R.; Gyergyek, S.; Andersen, S.M. Critical Thinking on Baseline Corrections for Electrochemical Surface Area (ECSA) Determination of Pt/C Through H-Adsorption/H-Desorption Regions of a Cyclic Voltammogram. Appl. Catal. B Environ. 2022, 311, 121351. [Google Scholar] [CrossRef]
- Cao, J.; Wu, X.; Chen, Y.; Chen, Z.; Jiang, R.; Zhao, Y.; Tian, Q.; Chen, D.; Xiao, S.; Yu, B.; et al. Electronic Regulation over Pd Nanoparticles: One-Pot Synthesis of B, N Co-Doping MXene-Supported Pd Catalyst for Efficient Ethanol Oxidation. J. Alloys Compd. 2023, 955, 170240. [Google Scholar] [CrossRef]
- Liang, Z.X.; Zhao, T.S.; Xu, J.B.; Zhu, L.D. Mechanism Study of the Ethanol Oxidation Reaction on Palladium in Alkaline Media. Electrochim. Acta 2009, 54, 2203–2208. [Google Scholar] [CrossRef]
- Cui, Z.; Hu, J.; Jiang, X.; Zhang, D.; Fang, C. Asymmetric Au/(PdAg alloy) Nano-Allium Giganteums for Their Enhanced Electrocatalytic Performances to Ethanol Oxidation Reaction. J. Alloys Compd. 2021, 855, 157385. [Google Scholar] [CrossRef]
- Mozafari, V.; Parsa, J.B. Promoted Electrocatalytic Performance of Palladium Nanoparticles Using Doped-NiO Supporting Materials toward Ethanol Electro-Oxidation in Alkaline Media. Int. J. Hydrogen Energy 2020, 45, 28847–28859. [Google Scholar] [CrossRef]
- Xu, Y.; Wang, S.; Peng, H.; Yang, Z.; Martin, D.J.; Bund, A.; Nanjundan, A.K.; Yamauchi, Y. The Interphase Electrochemical Characteristics of the Cobaltosic Oxide in Organic Electrolyte by Bode Plots: Double Layer Capacitance and Pseudocapacitance. ChemElectroChem 2019, 6, 2456–2463. [Google Scholar] [CrossRef]
- Tian, S. Electrochemical Research Methods; China Science Publishing & Media: Beijing, China, 1984; p. 273. (In Chinese) [Google Scholar]





















Disclaimer/Publisher’s Note: The statements, opinions and data contained in all publications are solely those of the individual author(s) and contributor(s) and not of MDPI and/or the editor(s). MDPI and/or the editor(s) disclaim responsibility for any injury to people or property resulting from any ideas, methods, instructions or products referred to in the content. |
© 2024 by the authors. Licensee MDPI, Basel, Switzerland. This article is an open access article distributed under the terms and conditions of the Creative Commons Attribution (CC BY) license (https://creativecommons.org/licenses/by/4.0/).
Share and Cite
Ding, K.; Li, W.; Li, M.; Bai, Y.; Liang, X.; Wang, H. A Carbon-Particle-Supported Palladium-Based Cobalt Composite Electrocatalyst for Ethanol Oxidation Reaction (EOR). Electrochem 2024, 5, 506-529. https://doi.org/10.3390/electrochem5040033
Ding K, Li W, Li M, Bai Y, Liang X, Wang H. A Carbon-Particle-Supported Palladium-Based Cobalt Composite Electrocatalyst for Ethanol Oxidation Reaction (EOR). Electrochem. 2024; 5(4):506-529. https://doi.org/10.3390/electrochem5040033
Chicago/Turabian StyleDing, Keqiang, Weijia Li, Mengjiao Li, Ying Bai, Xiaoxuan Liang, and Hui Wang. 2024. "A Carbon-Particle-Supported Palladium-Based Cobalt Composite Electrocatalyst for Ethanol Oxidation Reaction (EOR)" Electrochem 5, no. 4: 506-529. https://doi.org/10.3390/electrochem5040033
APA StyleDing, K., Li, W., Li, M., Bai, Y., Liang, X., & Wang, H. (2024). A Carbon-Particle-Supported Palladium-Based Cobalt Composite Electrocatalyst for Ethanol Oxidation Reaction (EOR). Electrochem, 5(4), 506-529. https://doi.org/10.3390/electrochem5040033
