You are currently viewing a new version of our website. To view the old version click .
Applied Mechanics
  • Communication
  • Open Access

17 December 2025

A Creep Model with a Real Structural Parameter for Deformable Solids †

Department of Mechanics and Digital Design, Ufa University of Science and Technology, 32 Zaki Validi St., 450076 Ufa, Russia
This article is an expanded version of a report, which was presented at “The 8th International Conference on Numerical Modelling in Engineering (NME 2025)”, 29–31 July 2025, Ghent, Belgium.
This article belongs to the Collection Fracture, Fatigue, and Wear

Abstract

Creep in metals as a phenomenon has been comprehensively studied in solid mechanics as well as in materials science. This interest stems from two key motivations: assessing the strength characteristics of components subjected to prolonged exposure at high temperatures and enhancing our understanding of plastic deformation mechanisms. As it is known, the mechanics of deformable solids employ constitutive equations when describing creep behavior, whereas strength physics utilize models aimed at quantifying a particular creep deformation mechanism or mechanisms in novel materials and to predict the performance of the parts manufactured from them. However, such models are rarely encountered within traditional mechanics problem-solving frameworks. To bridge this gap, this study demonstrates how some classic boundary value problems can incorporate the kinetic equation of a metal creep model with a real structural parameter derived from the theory of irreversible deformations. The main derivation steps and numerical solutions are provided for steady and transient creep conditions, along with visualizations illustrating the distribution of actual structural parameters. This research outlines promising pathways for incorporating diverse structural creep models—typically associated with materials science—into solid mechanics. These findings lay the groundwork for more accurate predictions of evolving material properties in applications where creep deformations play a critical role.

1. Introduction

There exist a lot of models that describe creep phenomenon nowadays that could be used to describe viscoelastic, viscoplastic, and viscoelastoplastic media. In the strength estimation of aviation equipment, creep is usually understood as the accumulation of irreversible deformations at elevated temperatures and stresses that are less than the yield stress [1]. There are two kinds of creep theories that describe the creep process. Those in the first and the most prominent group are called phenomenogical theories. Since the earliest proposed creep laws, including those by Norton and Bailey, up to modern formulations [2], they have all been developed to address a broad spectrum of mechanical issues, such as one-dimensional boundary value problems (like torsion and bending), multiaxial stress state problems, anisotropic material response, damage accumulation in creep and creep rupture, different behavior in strength and compression, etc. [3,4,5]. The second category is physical theories that are generally intended to describe specific creep mechanism of a particular material [6,7]. To verify the latest theories, the standard creep experiment is used, in which the specimen is elongated up to failure under creep conditions and the theoretical creep curve is compared with the experimental one. Models and theories of this type seek to quantify the processes that occur at each stage of a creep curve [6,7,8,9]. If plastic deformation in materials such as metals is driven by dislocation transformations during creep, then corresponding kinetic equations for these transformations can be formulated for every stage of creep [8,9]. Comprehensive studies in this field have led to the development of Ashby’s deformation mechanism map, which enable the evaluation of the predominant creep mechanisms for specific materials under given thermomechanical conditions, thereby facilitating informed material selection [7]. At the same time, physical theories are less frequently used than phenomenological approaches when addressing mechanical problems. It may therefore be interesting to explore the application of specific physical theories in solving typical mechanical problems. This paper aims to demonstrate how a particular physical theory can be integrated into various classical mechanics problem formulations. Additionally, numerical solutions for these formulations will also be presented.
In order to capture structural changes occurring in materials under creep conditions, phenomenological constitutive models may incorporate additional structural parameters that lack clear physical interpretation or significance [3]. By contrast, physically based theories offer the distinct advantage of being specifically formulated to explicitly consider the underlying physical mechanisms governing creep behavior. One physical theory that uses a real structural parameter, i.e., dislocation density, and that will be used in this article is described in detail here [10,11,12,13]. Here, we mention that there are two principles at its core. The first one establishes that the process of irreversible deformation in metals is a multi-stage process carried out under competitive conditions of strengthening and weakening. It is established that the leading deformation mechanism is dislocation sliding. Resistance to deformation and strengthening is caused by the slowing down of the flow of mobile dislocations, and softening is associated with a decrease in the density of immobile dislocations due to some of them overcoming barriers and turning back into mobile ones. Considering these facts, the kinetic balance equation for immobile dislocation density is suggested (Equation (1)). The second principle introduces the relationship between strain rate, stress, and temperature (Equation (2)).

2. Kinetic Physics and Phenomenological Model of Dislocation Creep Controlled by Thermally Activated Dislocation Slip

As it was said in the Introduction, the dislocation sliding theory [10] is the main mechanism of deformation. Under given temperature conditions and a stress–strain state, dislocation sources begin to generate mobile dislocations, the directed movement of which carries out deformation. Having passed from a source to a barrier, the mobile dislocation becomes immobile dislocations. This occurs with some volume-averaged frequency ν gs . The strain rate ε ˙ is proportional to the mobile dislocation flow ε ˙ = ρ g b v = ρ g b ν gs λ by Orowan’s Law, where v is the mean dislocation sliding speed in the presence of barriers, λ is the mean free path dislocation length, and b is Burger’s vector. The increase in the immobile dislocation density ρ s is the main reason of strengthening. Decreasing the number of immobile dislocations can happen through annihilation, overcoming obstacles, and the formation of new grain boundaries with some frequency ν s 0 = ν 0 exp U σ V s 0 / m / k T , where U = β G b 3 is the micromechanism of softening activation energy ( β —empirical coefficient; G —shear modulus), σ is stress intensity, m = 3.1 is Taylor’s factor for polycrystals, k is Boltzmann’s constant, T is temperature, V s 0 = b 2 ρ s 1 / 2 is the activation volume, and ν 0 is the number of attempts made by a immobile dislocation to overcome barriers per unit of time ( ν 0 is equal to the thermal oscillations in a dislocation segment of length ρ s 1 in which the number of atoms is ρ s 1 b ). The oscillation frequency of one atom is equal to Debye’s frequency of thermal oscillation of atoms in a crystalline lattice ν D = 10 12 s−1 [14], and the oscillation frequency of ρ s 1 b atoms is equal to ν D b ρ s . This leads to the kinetic equation for the immobile dislocation density rate ρ ˙ s = ρ g s g s ρ s ν s 0 that could be rewritten with the above consideration (Equation (1)):
ρ ˙ s = ε ˙ c b λ ρ s 3 / 2 ν D b exp β G b 3 σ b 2 / m ρ s k T
Subscript c in ε ˙ c for the creep strain rate is used in the theory [10], suggesting that constitutive equations for viscoplastic media would also be applicable for creep conditions.
The second equation that introduces the creep strain rate law, i.e., the assumption that stress, the creep strain rate, and temperature are dependent, is written as follows:
ε ˙ c = ν D b ρ s exp β G b 3 σ b 2 / m ρ s k T
With Equations (1) and (2), one could describe a typical experimental creep curve by solving them with the following initial conditions: ε c ( t = 0 ) = 0 , ρ s ( t = 0 ) = ρ s 0 . Since the values of the initial immobile dislocation density ρ s 0 and the mean free path dislocation length λ are the characteristics of the original dislocation structure of the metal, they could be defined with via microstructure analysis or through calculation from the experimental cold stress-strain curve σ ε (i.e., a simple tensile test at room temperature). By cold deformation, the author [10] means that the probability of overcoming obstacles will be equal to one, and we should set the expression in the brackets of Equation (1) at the exponent to zero. Upon integrating the remaining expression, one could obtain expressions for determining necessary model constants based on data obtained from tension tests [10]:
ρ s 0 = σ T exp 2 β c m G b 2
where β c =   0 . 38 0 . 48 is the activation energy of the self-diffusion coefficient [10], which is similar to that of β in Equations (1) and (2), but used for describing plasticity curves; σ T exp is the experimental yield strength of a material; and
λ = b β c m G 2 exp ε 1 σ 2 exp ε β c m G b 2 ρ s 0
For instance, for the nickel alloy with the chemical composition in Table 1 that will be used in further calculations, the creep curves are shown in Figure 1, where experimental points and cold curves are taken from [15] and all constants of the creep model are in Table 2. The function for coefficient β that fits the theoretical curves to the experimental ones and that was calculated for the alloy mentioned is β   =   6.67 × 10 4 σ + 1.90 × 10 4 T + 0.4122 (stress should be taken in MPa, and temperature in K).
Table 1. Chemical composition of the nickel alloy used (in %).
Figure 1. Creep curves for nickel alloy at a constant temperature T = 1023 [K] under stresses σ : bottom line—180 [MPa]; middle line—200 [MPa]; top line—250 [MPa]; circles—experimental points [15].
Table 2. Constants and model parameters.

3. Classical Problem Formulation with the Proposed Creep Model Applied

This section demonstrates how classical problem formulation could be incorporated with the proposed creep model. As it was stated above, physical creep models usually do not appear in such problems, but we consider this step to have great importance for theory development. By classical formulations, we mean those reducible to one-dimensional boundary value problems such as pure bending, torsion, and relaxation problems, where the plane section of the rod remains plane even under creep conditions in steady (where strain is due to creep strain only ε = ε c ) and transient (where strain is a sum of elastic and creep strain ε = ε e + ε c ) states. The solution path for such problems, as well as phenomenological creep laws and common procedures with which to derive the equations we used, is presented in [16]. In contrast with classical phenomenological theories, the proposed creep model requires being implemented on the particular alloy (with the creep curves and model constants provided in the section above). The following problems assume no temperature changes, and T = 1023 [K].
Pure bending. A thin cantilever beam ( v ( x = 0 ) = 0 , v ( x = 0 ) = 0 ) of length L = 1 [m] with a rectangular cross-section of 10 × 5 [cm] and an axial moment of inertia I z = 104.16 [cm4] is under the action of a constant bending moment M = 10 [kNm]. In case the process of creep is steady, the curvature rate κ ˙ is to be found. When κ ˙ is known, the stress distribution and the deflection will be found. In transient creep mode, it is necessary to find the stress distribution rate σ ˙ ( y , t ) first, which will then allow one to find the curvature rate κ ˙ and the deflection distribution v ( x , t ) .
The hypothesis of the steady creep state with a plane section gives
ε ˙ = κ ˙ y = ε ˙ c
In expressing the stress from Equation (2), the bending moment is
M = A σ y d A = A β G b ρ s k T m b 2 ln ν D b ρ s κ ˙ y ρ s y d A
Taking the curvature rate outside, we obtain
κ ˙ = exp M A β m G b k T m b 2 ln ν D b ρ s y ρ s y d A k T m b 2 A ρ s y d A = exp M I 1 ρ s I 2 ρ s
When transient creep is considered with the plane section hypothesis,
ε ˙ = κ ˙ y = σ ˙ E + ε ˙ c
where E is Young’s modulus.
In expressing the stress rate,
σ ˙ = E κ ˙ y ε ˙ c
Using the fact that the bending moment is constant and substituting into Equation (8), one could write
M ˙ = A σ ˙ y d A = 0 = E A κ ˙ y ε ˙ c y d A = 0
which leads to
κ ˙ A y 2 d A = κ ˙ I z = A ε ˙ c y d A
This means that the curvature rate will be equal to
κ ˙ = 1 I z A ε ˙ c y d A
By setting Equation (12) to Equation (9), we end up with an expression for the stress rate:
σ ˙ = E y I z A ε ˙ c y d A ε c
Torsion. A thick-walled tube of length L = 1 [m] with an inner radius r = 2 [cm], outer radius R = 8 [cm], and polar moment of inertia I p = 6409 [cm4] is under the action of a constant torque T = 100 [kNm]. The angle of twist for the left end is equal to zero ( φ ( x = 0 ) = 0 ). In case the process of creep is steady, the relative twist angle rate θ ˙ = d d t d φ d x is to be found. When θ ˙ is known, the shear stress distribution and the twist angle will be found as well. In transient creep mode, it is necessary to find the stress distribution rate τ ˙ ( r , t ) first, which will then allow one to find the relative twist angle rate θ ˙ .
In taking the same path as for bending, the hypothesis of the steady creep state with a plane section gives
γ ˙ = θ ˙ r = γ ˙ c
where γ ˙ c is the shear strain rate due to creep.
In expressing stress from Equation (2) and using both the relationship between the shear strain intensity and strain intensity as γ ˙ i = 3 ε ˙ i , as well as between the shear stress intensity and stress intensity σ ˙ i = 3 τ ˙ i , the relative twist angle rate in the steady creep state can be written as
θ ˙ = exp 2 π M / 3 r R β m G b k T m b 2 ln 3 s D b ρ s r ρ s r 2 d r k T m b 2 r R ρ s r 2 d r = exp 2 π M / 3 I 1 ρ s I 2 ρ s
In transient creep for torsion, we have
θ ˙ r = τ ˙ G + γ ˙ c
By repeating the same steps as for bending (Equations (8)–(12)), the shear stress rate can be written as follows:
τ ˙ = G 2 π I p r R γ ˙ c r 2 d r γ ˙ c
Relaxation. We consider the relaxation of a rod under axial pre-stretching σ = 150 MPa and assume that the full strain ε = 0 . Thus, the stress distribution relaxation due to creep needs to be found.
Since the full strain for the relaxation process is zero,
ε ˙ e + ε ˙ c = 0
But ε ˙ e = σ ˙ E , so the stress relaxation could be written as
σ ˙ = E ε ˙ e = E ε ˙ c

4. Solutions

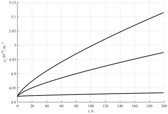
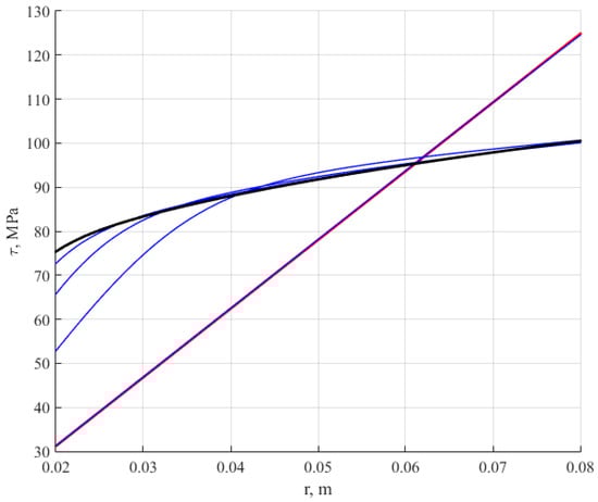
For steady-state creep in bending, we obtain the curvature rate with Equation (7) first. Then, we can obtain the stress distribution (Figure 2) using Equation (2) and solve the boundary value problem ( v = κ ) with conditions ( v ( x = 0 , t ) = 0 , v ( x = 0 , t ) = 0 , ρ s ( x , t = 0 ) = ρ s 0 ) and obtain deflection changes under creep. For transient creep in bending, we should first integrate Equation (13) with Equations (1) and (2) and use Equation (12) to solve for deflections with the same boundary and initial conditions. The deflection growth due to creep is shown in Figure 3. As a result, we shall obtain solutions that are similar to the known phenomenological ones, but in addition, there will be a solution for the dislocation density growth from Equation (2), which is depicted in Figure 4. By the same procedures, we obtain shear stress distributions along the radius in steady creep for torsion (Figure 5), as well as the dislocation density evolution (Figure 6). For the relaxation problem, we obtain stress relaxation and dislocation density changes (Figure 7) by integrating Equation (19) with Equation (1).
Figure 2. Pure bending stresses changes in 200 h creep (elongated half of the section considered). Bold black line—steady state; blue lines—transient states; red line—initial state.
Figure 3. Deflection growth due to creep for 200 h. Bottom line—initial state (elastic); top line—final state.
Figure 4. Immobile dislocation density growth in pure bending due to 200 h creep (several fibers along the elongated half of the height were taken).
Figure 5. Torsion shear stresses changes in 200 h creep. Bold black line—steady state; blue lines—transient states; red line—initial state.
Figure 6. Immobile dislocation density growth in torsion due to 200 h creep (several fibers along the radius were taken).
Figure 7. Stress relaxation and dislocation growth due to creep.

5. Summary

i.
The implementation of one uncommon creep model with the evolution of a real structural parameter [10] in classical boundary value problems is considered. The model comprises two coupled differential equations that need to be solved to describe creep curves. One of the equations governs the evolution of the real structure parameter in time, namely, immobile density changes. The initial immobile density value can be determined from a standard tensile stress–strain curve.
ii.
Despite the fact that the creep model is written in terms of derivatives, it is shown how to include them into well-known problems such as bending, torsion, and relaxation in both steady and transient formulations. The steps that need to be taken to solve them are presented. During derivation, we can notice that, in comparison with well-known creep solutions for such problems (for instance, in [15]), such things like generalized axial and polar moments of inertia will not exist anymore and curvature in the case of bending and a relative twist angle becomes a function that depends on the real structure parameter.
iii.
It was obtained that solutions describing the stress state and values related to mechanics are similar to those in the phenomenological formulation of creep problems. In the relaxation problem, we obtained decreasing stresses. It might be seen that the stress distribution along the height in bending as well as under shear stress distribution along the radius in torsion are both approaching some steady stress distribution starting from a linear elastic distribution. This leaves no questions about the correctness of the mechanical part of the derived equations.
iv.
In addition to finding (iii), we provide a solution for the evolution of the real structure parameter. If the theoretical assumptions [10] hold true, this function allows predictions of microstructure changes during creep, akin to what has already been achieved for plasticity studies [11]. The author [10] expects that an additional equation will prove valuable for estimating both the linear size of the microstructure and its overall strength.

Funding

This research received no external funding.

Institutional Review Board Statement

Not applicable.

Data Availability Statement

The great amount of creep response curves has been collected in previous centuries by different various researches. Usually, one may find this data in so-called Atlases of creep curves or creep response as we used, for instance, in [15]. Nowadays open creep data could be found in open material databases, for instance, in JRC Data Catalogue (data.jrc.ec.europa.eu).

Acknowledgments

This article is an expanded version of a report, which was presented at “The 8th International Conference on Numerical Modelling in Engineering (NME 2025)”, 29–31 July 2025, Ghent, Belgium. The author is grateful for the opportunity to engage in insightful discussions on cutting-edge topics in modern solid mechanics during this esteemed conference. Special thanks to Ermolenko A.N. of the Department of Strength of Material at Ufa University of Science and Technology, who patiently listened to my thoughts, which ultimately helped me overcome the difficulties in formulating the creep problems presented here. The manuscript benefited greatly from comments by anonymous reviewers. English-language polishing was kindly done by the journal editors.

Conflicts of Interest

The author declares no conflict of interest.

References

  1. Lokoshchenko, A.M.; Fomin, L.V.; Teraud, W.V.; Basalov, Y.G.; Agababyan, V.S. Creep and long-term strength of metals under unsteady complex stress states. J. Samara State Tech. Univ. Ser. Phys. Math. Sci. 2020, 24, 275–318. [Google Scholar]
  2. Altenbach, H. Creep Mechanics—A Long History and Current Developments. In Lectures Notes on Advanced Structured Materials 3; Springer Nature: Cham, Switzerland, 2025; pp. 3–22. [Google Scholar]
  3. Rabotnov, Y.N.; Leckie, F.A. Creep Problems in Structural Members; North-Holland Pub. Co.: Amsterdam, The Netherlands, 1969. [Google Scholar]
  4. Betten, J. Creep Mechanics; Springer: Berlin/Heidelberg, Germany, 2005. [Google Scholar]
  5. Kachanov, L. Introduction to Continuum Damage Mechanics; Springer Science & Business Media: Heidelberg, Germany, 2013; Volume 10. [Google Scholar]
  6. Cadek, J. Creep in metallic materials. Mater. Sci. Monogr. 1988, 48, 372. [Google Scholar]
  7. Frost, H.J.; Ashby, M.F. Deformation-Mechanism Maps: The Plasticity and Creep of Metals and Ceramics; Pergamon Press: Oxford, UK, 1982. [Google Scholar]
  8. Kassner, M.E. Fundamentals of Creep in Metals and Alloys; Butterworth-Heinemann: Oxford, UK, 2015. [Google Scholar]
  9. Estrin, Y. Dislocation-density-related constitutive modeling. In Unified Constitutive Laws of Plastic Deformation; Elsevier: Amsterdam, The Netherlands, 1996; Volume 1, pp. 69–106. [Google Scholar]
  10. Greshnov, V.M. Physico-Mathematical Theory of High Irreversible Strains in Metals; CRC Press: Boca Raton, FL, USA, 2019. [Google Scholar]
  11. Greshnov, V.M.; Safin, F.F.; Shaikhutdinov, R.I.; Yanova, I.R. Al-Mg-Sc (1570) alloy structure formation process. In International Conference on Aerospace System Science and Engineering; Springer Nature: Singapore, 2021. [Google Scholar]
  12. Greshnov, V.M.; Shaikhutdinov, R.I. On the kinetic physical and mathematical metal creep theory controlled by thermally activated dislocation sliding. Mech. Solids 2024, 59, 769–780. [Google Scholar] [CrossRef]
  13. Greshnov, V.M.; Shaikhutdinov, R.I.; Puchkova, I.V. Kinetic physical phenomenological model of creep-rupture strength of metals. J. Appl. Mech. Tech. Phys. 2017, 58, 165–172. [Google Scholar] [CrossRef]
  14. Shtremel, M.A. Strength of Alloys. Part I. Deformation; MISiS Publ.: Moscow, Russia, 1997. [Google Scholar]
  15. Bulygin, I.P.; Vlasova, P.T.; Gorbodey, A.T.; Seliverstova, P.M.; Chupakhin, S.E. Atlas of High-Temperature Stress-Strain Curves, Creep Curves, and Long-Term Strength of Steels and Alloys for Engines; Oborongiz: Moscow, Russia, 1953. [Google Scholar]
  16. Boyle, J.T.; Spence, J. Stress Analysis for Creep; Elsevier: Amsterdam, The Netherlands, 2013. [Google Scholar]
Disclaimer/Publisher’s Note: The statements, opinions and data contained in all publications are solely those of the individual author(s) and contributor(s) and not of MDPI and/or the editor(s). MDPI and/or the editor(s) disclaim responsibility for any injury to people or property resulting from any ideas, methods, instructions or products referred to in the content.

Article Metrics

Citations

Article Access Statistics

Multiple requests from the same IP address are counted as one view.