Performance of Microconcretes with Different Percentages of Recycled Tire Rubber Granulate
Abstract
1. Introduction
2. Materials and Methods
2.1. Materials and Mixture
2.2. Testing Program
2.2.1. Tests on Fresh Microconcretes
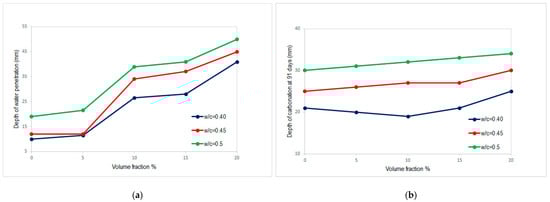
2.2.2. Tests on Hardened Microconcretes
- : Compressive strength (N/mm2)
- Q: Maximum compressive load recorded in the test (N)
- S: Cross section of the specimen (mm2)
- : Compressive strain (dimensionless)
- : Initial length of the specimen (mm)
- L: Final length of the specimen (mm)

2.3. Cost Efficiency Factor
- CEF: Cost-effectiveness factor
- : Compressive strength (N/mm2)
- C: Cost of materials per m3
3. Results and Discussion
3.1. Fresh Properties
3.2. Mechanical Properties
- SRFc: Reduction factor of the compressive strength
- VR: Rubber volume fraction (%)
- α = 0.281: Experimental parameter (dimensionless)
- β = 0.773: Experimental parameter (dimensionless)
3.3. Results of the Cost Efficiency Factor
4. Conclusions
- An increase in the slump of the fresh microconcretes is observed when the fine aggregate is replaced by recycled rubber. Maximum values of increase are obtained for RmC-10 vol% rubber (250%), and these values stabilize for higher percentages (225% for RmC-30 vol% rubber). These results can be explained by the hydrophobicity of rubber and the lack of surface roughness of most of the particles used.
- A decrease of more than 4% in bulk density has been measured at fresh RmC-30 vol%. This effect can be justified by the low bulk density of the rubber and the increased porosity due to the poor compactness of the fresh mortar.
- In line with the results obtained for fresh concrete, which indicated a poor cohesion of the mix, large drops in compressive strength are observed with increasing rubber content up to 20%, with no further deterioration noted for higher percentages: 32% for RMC-10 vol% rubber, 58% for RmC-20 vol%, and 56% for RmC-30 vol%.
- Stress–strain curves with smooth strength dips are observed. RmC specimens break without spalling. For large replacement volumes of 20% and 30%, hardly any longitudinal cracks are noted, indicating a high capacity to dissipate energy. The increases in ductility are significant with small percentages and stabilize around RmC-20 vol% rubber, with no significant changes observed for higher percentages. The increases in strain and energy ductility for RmC-20 vol% with respect to the reference specimen are greater than 16% and 42%, respectively.
- RmC 0% vol. gives cost efficiency factors 47.3% higher than RmC 10%vol, 139% higher than RmC 20% vol, and 128% higher than RmC 30% vol. These values are explained both by the deterioration of the compressive performance of the RmCs and by the high cost of rubber.
5. Future Scope
- Comprehensive reviews of the work done on the use of recycled rubber as an aggregate in cement-based products such as microconcretes, mortars, and lightweight concretes, are necessary. Often the mixtures tested are not sufficiently detailed to distinguish the type of product, and comparative studies cannot be established to allow significant advances in the innovation cycle.
- In order to guarantee the quality of the final products and their mass application in industry, it is essential to characterize the recycled rubber aggregate and make its production cheaper. In this respect, further research is needed in the technological development of ELT management.
- Studies aimed at determining optimum dosages focused on the influence of the percentage of rubber and particle size in CRC are not yet conclusive. These lines of work should be extended to other products such as microconcretes. Other factors that determine their technological performance, such as w/c ratios, manufacturing conditions, and curing parameters, should be analyzed.
- Research aimed at determining the long-term mechanical behavior of RmCs is necessary to assess their real application possibilities.
- The development of predictive models that enable material choice decisions based on life-cycle costs are also key to enabling the paradigm shift in the construction industry that the climate crisis demands.
Author Contributions
Funding
Institutional Review Board Statement
Informed Consent Statement
Data Availability Statement
Acknowledgments
Conflicts of Interest
References
- Roychand, R.; Gravina, R.J.; Zhuge, Y.; Ma, X.; Youssf, O.; Mills, J.E. A comprehensive review on the mechanical properties of waste tire rubber concrete. Constr. Build. Mater. 2020, 237, 117651. [Google Scholar] [CrossRef]
- Eltayeb, E.; Ma, X.; Zhuge, Y.; Xiao, J.; Youssf, O. Dynamic performance of rubberised concrete and its structural applications–An overview. Eng. Struct. 2021, 234, 111990. [Google Scholar] [CrossRef]
- Ren, F.; Mo, J.; Wang, Q.; Ho, J.C.M. Crumb rubber as partial replacement for fine aggregate in concrete: An overview. Constr. Build. Mater. 2022, 343, 128049. [Google Scholar] [CrossRef]
- Ozbay, E.; Lachemi, M.; Sevim, U.K. Compressive strength, abrasion resistance and energy absorption capacity of rubberized concretes with and without slag. Mater. Struct. 2011, 44, 1297–1307. [Google Scholar] [CrossRef]
- Ministerio para la Transición Ecológica y el Reto Demográfico. Calidad y Evaluación Ambiental. Prevención y Gestión Residuos. Flujos de Residuos. Available online: https://www.miteco.gob.es/es/calidad-y-evaluacion-ambiental/temas/prevencion-y-gestion-residuos/flujos/neumaticos/Informe-Registro-Neumaticos.aspx (accessed on 21 April 2023).
- Real Decreto 1619/2005, de 30 de Diciembre, Sobre la Gestión de Neumáticos Fuera de Uso; Boletín Oficial del Estado: Madrid, Spain, 2006; Volume 2, pp. 352–357.
- Ministerio para la Transición Ecológica y el Reto Demográfico. Calidad y Evaluación Ambiental. Prevención y Gestión Residuos. Flujos de Residuos. Available online: https://www.miteco.gob.es/es/calidad-y-evaluacion-ambiental/temas/prevencion-y-gestion-residuos/flujos/neumaticos/Cual-es-su-ciclo-gestion.aspx (accessed on 21 April 2023).
- Ministerio para la Transición Ecológica y el Reto Demográfico. Calidad y Evaluación Ambiental. Prevención y Gestión Residuos. Flujos de Residuos. Available online: https://www.miteco.gob.es/es/calidad-y-evaluacion-ambiental/temas/prevencion-y-gestion-residuos/flujos/neumaticos/Que-aplicaciones-tienen-materiales-reciclados.aspx (accessed on 21 April 2023).
- Ministerio para la Transición Ecológica y el Reto Demográfico. Calidad y Evaluación Ambiental. Prevención y Gestión Residuos. Flujos de Residuos. Available online: https://www.miteco.gob.es/es/calidad-y-evaluacion-ambiental/temas/prevencion-y-gestion-residuos/flujos/neumaticos/Como-se-tratan.aspx (accessed on 21 April 2023).
- EN 14243-1:2019; Materials Obtained from End of Life Tyres-Part 1: General Definitions Related to the Methods for Determining Their Dimension(s) and Impurities. AENOR: Madrid, Spain, 2019.
- EN 14243-3:2019; Materials Obtained from End of Life Tyres-Part 3: Shreds, Cuts and Chips-Methods for Determining Their Dimension(s) Including Protruding Filaments Dimensions. AENOR: Madrid, Spain, 2019.
- EN 14243-2:2019; Materials Obtained from End of Life Tyres-Part 2: Granulates and Powders-Methods for Determining the Grain Size Distribution and Impurities, Including Free Steel and Free Textile. AENOR: Madrid, Spain, 2019.
- Thomas, B.S.; Gupta, R.C. A comprehensive review on the applications of waste tire rubber in cement concrete. Renew. Sustain. Energy Rev. 2016, 54, 1323–1333. [Google Scholar] [CrossRef]
- Xiong, B.; Falliano, D.; Restuccia, L.; Di Trapani, F.; Demartino, C.; Marano, G.C. Concrete Incorporating Recycled Plastic Aggregates: Physical and Mechanical Properties and Predictive Models. J. Mater. Civ. Eng. 2024, 36, 04024138. [Google Scholar] [CrossRef]
- Xiong, B.; Falliano, D.; Restuccia, L.; Di Trapani, F.; Demartino, C.; Marano, G.C. Mortar with Substituted Recycled PET Powder: Experimental Characterization and Data-Driven Strength Predictive Models. J. Mater. Civ. Eng. 2023, 35, 04023312. [Google Scholar] [CrossRef]
- Xiong, B.; Falliano, D.; Restuccia, L.; Di Trapani, F.; Demartino, C.; Marano, G.C. High-strain rate compressive behavior of concrete with two different substituted recycled plastic aggregates: Experimental characterization and probabilistic modeling. Constr. Build. Mater. 2023, 368, 130279. [Google Scholar] [CrossRef]
- Aslani, F.; Ma, G.; Wan, D.L.Y.; Muselin, G. Development of high-performance self-compacting concrete using waste recycled concrete aggregates and rubber granules. J. Clean. Prod. 2018, 182, 553–566. [Google Scholar] [CrossRef]
- Zhu, H.; Liang, J.; Xu, J.; Bo, M.; Li, J.; Tang, B. Research on anti-chloride ion penetration property of crumb rubber concrete at different ambient temperatures. Constr. Build. Mater. 2018, 189, 42–53. [Google Scholar] [CrossRef]
- Medina, N.F.; Garcia, R.; Hajirasouliha, I.; Pilakoutas, K.; Guadagnini, M.; Raffoul, S. Composites with recycled rubber aggregates: Properties and opportunities in construction. Constr. Build. Mater. 2018, 188, 884–897. [Google Scholar] [CrossRef]
- Su, H.; Yang, J.; Ling, T.-C.; Ghataora, G.S.; Dirar, S. Properties of concrete prepared with waste tyre rubber grains of uniform and varying sizes. J. Clean. Prod. 2015, 91, 288–296. [Google Scholar] [CrossRef]
- Huang, X.; Ranade, R.; Ni, W.; Li, V.C. On the use of recycled tire rubber to develop low E-modulus ECC for durable concrete repairs. Constr. Build. Mater. 2013, 46, 134–141. [Google Scholar] [CrossRef]
- Marie, I. Zones of weakness of rubberized concrete behavior using the UPV. J. Clean. Prod. 2016, 116, 217–222. [Google Scholar] [CrossRef]
- Wu, Y.-F.; Kazmi, S.M.S.; Munir, M.J.; Zhou, Y.; Xing, F. Effect of compression casting method on the compressive strength, elastic modulus and microstructure of rubber concrete. J. Clean. Prod. 2020, 264, 121746. [Google Scholar] [CrossRef]
- Thomas, B.S.; Gupta, R.C. Long term behaviour of cement concrete containing discarded tire rubber. J. Clean. Prod. 2015, 102, 78–87. [Google Scholar] [CrossRef]
- Bisht, K.; Ramana, P. Evaluation of mechanical and durability properties of crumb rubber concrete. Constr. Build. Mater. 2017, 155, 811–817. [Google Scholar] [CrossRef]
- Azunna, S.U.; Aziz, F.N.; Rashid, R.S.; Bakar, N.B. Review on the characteristic properties of crumb rubber concrete. Clean. Mater. 2024, 12, 100237. [Google Scholar] [CrossRef]
- Gesoğlu, M.; Güneyisi, E. Strength development and chloride penetration in rubberized concretes with and without silica fume. Mater. Struct. 2007, 40, 953–964. [Google Scholar] [CrossRef]
- Mohammadi, I.; Khabbaz, H. Shrinkage performance of Crumb Rubber Concrete (RMC) prepared by water-soaking treatment method for rigid pavements. Cem. Concr. Compos. 2015, 62, 106–116. [Google Scholar] [CrossRef]
- Sukontasukkul, P.; Tiamlom, K. Expansion under water and drying shrinkage of rubberized concrete mixed with crumb rubber with different size. Constr. Build. Mater. 2011, 29, 520–526. [Google Scholar] [CrossRef]
- Richardson, A.E.; Coventry, K.A.; Ward, G. Freeze/thaw protection of concrete with optimum rubber crumb content. J. Clean. Prod. 2011, 23, 96–103. [Google Scholar] [CrossRef]
- Si, R.; Guo, S.; Dai, Q. Durability performance of rubberized mortar and concrete with NaOH-Solution treated rubber grains. Constr. Build. Mater. 2017, 153, 496–505. [Google Scholar] [CrossRef]
- Richardson, A.; Coventry, K.; Edmondson, V.; Dias, E. Crumb rubber used in concrete to provide freeze–thaw protection (optimal grain size). J. Clean. Prod. 2016, 112, 599–606. [Google Scholar] [CrossRef]
- Wang, J.; Du, B. Experimental studies of thermal and acoustic properties of recycled aggregate crumb rubber concrete. J. Build. Eng. 2020, 32, 101836. [Google Scholar] [CrossRef]
- Benazzouk, A.; Douzane, O.; Mezreb, K.; Laidoudi, B.; Quéneudec, M. Thermal conductivity of cement composites containing rubber waste particles: Experimental study and modelling. Constr. Build. Mater. 2007, 22, 573–579. [Google Scholar] [CrossRef]
- Guo, Q.; Zhang, R.; Luo, Q.; Wu, H.; Sun, H.; Ye, Y. Prediction on damage evolution of recycled crumb rubber concrete using quantitative cloud imagine correlation. Constr. Build. Mater. 2019, 209, 340–353. [Google Scholar] [CrossRef]
- Cojocaru, A.; Isopescu, D.N.; Maxineasa, S.G.; Petre, S.G. Assessment of Thermal and Mechanical Properties of Cement-Based Materials—Part 1: Crumb Rubber Concrete. Buildings 2023, 13, 324. [Google Scholar] [CrossRef]
- Kadhim, A.A.; Kadhim, H.M. Experimental investigation of rubberized reinforced concrete continuous deep beams. J. King Saud Univ. Eng. Sci. 2021, 35, 174–184. [Google Scholar] [CrossRef]
- Sgobba, S.; Borsa, M.; Molfetta, M.; Marano, G.C. Mechanical performance and medium-term degradation of rubberised concrete. Constr. Build. Mater. 2015, 98, 820–831. [Google Scholar] [CrossRef]
- Fraile-Garcia, E.; Ferreiro-Cabello, J.; Mendivil-Giro, M.; Vicente-Navarro, A.S. Thermal behaviour of hollow blocks and bricks made of concrete doped with waste tyre rubber. Constr. Build. Mater. 2018, 176, 193–200. [Google Scholar] [CrossRef]
- Elsayed, M.; Tayeh, B.A.; Mohamed, M.; Elymany, M.; Mansi, A.H. Punching shear behaviour of RC flat slabs incorporating recycled coarse aggregates and crumb rubber. J. Build. Eng. 2021, 44, 103363. [Google Scholar] [CrossRef]
- Yi, O.; Mills, J.E.; Zhuge, Y.; Ma, X.; Gravina, R.J.; Youssf, O. Performance of crumb rubber concrete composite-deck slabs in 4-point-bending. J. Build. Eng. 2021, 40, 102695. [Google Scholar] [CrossRef]
- Kashani, A.; Ngo, T.D.; Mendis, P.; Black, J.R.; Hajimohammadi, A. A sustainable application of recycled tyre crumbs as insulator in lightweight cellular concrete. J. Clean. Prod. 2017, 149, 925–935. [Google Scholar] [CrossRef]
- Youssf, O.; ElGawady, M.A.; Mills, J.E. Static cyclic behaviour of FRP-confined crumb rubber concrete columns. Eng. Struct. 2016, 113, 371–387. [Google Scholar] [CrossRef]
- Abendeh, R.; Ahmad, H.S.; Hunaiti, Y.M. Experimental studies on the behavior of concrete-filled steel tubes incorporating crumb rubber. J. Constr. Steel Res. 2016, 122, 251–260. [Google Scholar] [CrossRef]
- Najim, K.B.; Hall, M.R. Crumb rubber aggregate coatings/pre-treatments and their effects on interfacial bonding, air entrapment and fracture toughness in self-compacting rubberised concrete (SRMC). Mater. Struct. 2013, 46, 2029–2043. [Google Scholar] [CrossRef]
- Pham, N.P.; Toumi, A.; Turatsinze, A. Rubber aggregate-cement matrix bond enhancement: Microstructural analysis, effect on transfer properties and on mechanical behaviours of the composite. Cem. Concr. Compos. 2018, 94, 1–12. [Google Scholar] [CrossRef]
- Rivas-Vázquez, L.P.; Suárez-Orduña, R.; Hernández-Torres, J.; Aquino-Bolaños, E. Effect of the surface treatment of recycled rubber on the mechanical strength of composite concrete/rubber. Mater. Struct. 2014, 48, 2809–2814. [Google Scholar] [CrossRef]
- Helmy, S.H.; Tahwia, A.M.; Mahdy, M.G.; Elrahman, M.A.; Abed, M.A.; Youssf, O. The Use of Recycled Tire Rubber, Crushed Glass, and Crushed Clay Brick in Lightweight Concrete Production: A Review. Sustainability 2023, 15, 10060. [Google Scholar] [CrossRef]
- Islam, M.M.U.; Li, J.; Wu, Y.-F.; Roychand, R.; Saberian, M. Design and strength optimization method for the production of structural lightweight concrete: An experimental investigation for the complete replacement of conventional coarse aggregates by waste rubber particles. Resour. Conserv. Recycl. 2022, 184, 106390. [Google Scholar] [CrossRef]
- Angelin, A.F.; Lintz, R.C.C.; Osório, W.R.; Gachet, L.A. Evaluation of efficiency factor of a self-compacting lightweight concrete with rubber and expanded clay contents. Constr. Build. Mater. 2020, 257, 119573. [Google Scholar] [CrossRef]
- Lv, J.; Zhou, T.; Du, Q.; Wu, H. Effects of rubber particles on mechanical properties of lightweight aggregate concrete. Constr. Build. Mater. 2015, 91, 145–149. [Google Scholar] [CrossRef]
- Chen, H.; Li, D.; Ma, X.; Zhong, Z.; Abd-Elaal, E.-S. Compressive strength prediction of crumb rubber mortar based on mesoscale model. Eng. Fail. Anal. 2023, 152, 107485. [Google Scholar] [CrossRef]
- Alahmad, F.A.; El Maaddawy, T.; Abu-Jdayil, B. Impact of crumb rubber on the performance of unsaturated polyester-dune sand mortar. Case Stud. Chem. Environ. Eng. 2024, 10, 100931. [Google Scholar] [CrossRef]
- Hassan, Z.; Sakai, Y.; Watanabe, K. Penetration resistance and damage characteristics of cementitious mortar with partially replaced waste tire rubber as a filler against high-speed impact loading. J. Build. Eng. 2023, 80, 108039. [Google Scholar] [CrossRef]
- Yang, G.; Fan, Y.; Li, X.; Xu, Y. Influence of rubber powder size and volume fraction on dynamic compressive properties of rubberized mortar. Powder Technol. 2023, 420, 118376. [Google Scholar] [CrossRef]
- Letelier, V.; Bustamante, M.; Muñoz, P.; Rivas, S.; Ortega, J.M. Evaluation of mortars with combined use of fine recycled aggregates and waste crumb rubber. J. Build. Eng. 2021, 43, 103226. [Google Scholar] [CrossRef]
- Asociaciön Fabricantes Morteros y Sate Microhormigones. Available online: https://anfapa.com/noticias-sector/1202/microhormigones (accessed on 2 October 2024).
- RureGold Microhormigones Reforzados con Fibras Sintéticas o de Acero Para el Revestimiento y la Realización de Encamisados de Refuerzo de Los Elementos de Hormigón. Available online: https://ruregold.com/es/microhormigones/ (accessed on 2 October 2024).
- Varhen, C.; Dilonardo, I.; Romano, R.C.d.O.; Pileggi, R.G.; de Figueiredo, A.D. Effect of the substitution of cement by limestone filler on the rheological behaviour and shrinkage of microconcretes. Constr. Build. Mater. 2016, 125, 375–386. [Google Scholar] [CrossRef]
- Lorca, P.; Calabuig, R.; Benlloch, J.; Soriano, L.; Payá, J. Microconcrete with partial replacement of Portland cement by fly ash and hydrated lime addition. Mater. Des. 2014, 64, 535–541. [Google Scholar] [CrossRef]
- Hilal, N.N. Hardened properties of self-compacting concrete with different crumb rubber size and content. Int. J. Sustain. Built Environ. 2017, 6, 191–206. [Google Scholar] [CrossRef]
- Chai, L.; Guo, L.; Chen, B.; Xu, Y.; Ding, C. Mechanical properties of ecological high ductility cementitious composites produced with recycled crumb rubber and recycled asphalt concrete. J. Mater. Cycles Waste Manag. 2018, 21, 488–502. [Google Scholar] [CrossRef]
- Abdelmonem, A.; El-Feky, M.; Nasr, E.-S.A.; Kohail, M. Performance of high strength concrete containing recycled rubber. Constr. Build. Mater. 2019, 227, 116660. [Google Scholar] [CrossRef]
- EN 197-1:2011; Cement-Part 1: Composition, Specifications and Conformity Criteria for Common Cements. AENOR: Madrid, Spain, 2019.
- Real Decreto 470/2021, de 29 de Junio, Por el que se Aprueba el Código Estructural; Boletín Oficial del Estado: Madrid, Spain, 2021; Volume 190, pp. 97664–99452.
- Real Decreto 3/2023, de 10 de Enero, Por el que se Establecen Los Criterios Técnico-Sanitarios de la Calidad del Agua de Consumo, Su Control y Suministro; Boletín Oficial del Estado: Madrid, Spain, 2023; Volume 9, pp. 4253–4354.
- EN 933-2:2022; Tests for Geometrical Properties of Aggregates-Part 2: Determination of Grain Size Distribution-Test Sieves, Nominal Size of Apertures. AENOR: Madrid, Spain, 2022.
- EN 934-2:2010+A1:2012; Additives for Concrete, Mortar and Grout-Part 2: Concrete Additives-Definitions, Requirements, Conformity, Marking and Labelling. AENOR: Madrid, Spain, 2022.
- EN 12350-2:2020; Testing Fresh Concrete-Part 2: Slump Test. AENOR: Madrid, Spain, 2020.
- EN 12350-6:2020; Testing Fresh Concrete-Part 6: Density-Part 2. AENOR: Madrid, Spain, 2020.
- EN 12390-3:2020; Testing Hardened Concrete-Part 3: Compressive Strength of Test Specimens. AENOR: Madrid, Spain, 2020.
- Ince, C.; Derogar, S.; Gurkaya, K.; Ball, R.J. Properties, durability and cost efficiency of cement and hydrated lime mortars reusing copper mine tailings of Lefke-Xeros in Cyprus. Constr. Build. Mater. 2020, 268, 121070. [Google Scholar] [CrossRef]
- Agarwal, S.; Gulati, D. Utilization of industrial wastes and unprocessed micro-fillers for making cost effective mortars. Constr. Build. Mater. 2005, 20, 999–1004. [Google Scholar] [CrossRef]
- Ince, C.; Hamza, A.; Derogar, S.; Ball, R.J. Utilisation of waste marble dust for improved durability and cost efficiency of pozzolanic concrete. J. Clean. Prod. 2020, 270, 122213. [Google Scholar] [CrossRef]
- Rashid, K.; Yazdanbakhsh, A.; Rehman, M.U. Sustainable selection of the concrete incorporating recycled tire aggregate to be used as medium to low strength material. J. Clean. Prod. 2019, 224, 396–410. [Google Scholar] [CrossRef]
- Karunarathna, S.; Linforth, S.; Kashani, A.; Liu, X.; Ngo, T. Effect of recycled rubber aggregate size on fracture and other mechanical properties of structural concrete. J. Clean. Prod. 2021, 314, 128230. [Google Scholar] [CrossRef]
- Moustafa, A.; ElGawady, M.A. Mechanical properties of high strength concrete with scrap tire rubber. Constr. Build. Mater. 2015, 93, 249–256. [Google Scholar] [CrossRef]
- Chen, Z.; Li, L.; Xiong, Z. Investigation on the interfacial behaviour between the rubber-cement matrix of the rubberized concrete. J. Clean. Prod. 2018, 209, 1354–1364. [Google Scholar] [CrossRef]
- Abd-Elaal, E.-S.; Araby, S.; Mills, J.E.; Youssf, O.; Roychand, R.; Ma, X.; Zhuge, Y.; Gravina, R.J. Novel approach to improve crumb rubber concrete strength using thermal treatment. Constr. Build. Mater. 2019, 229, 116901. [Google Scholar] [CrossRef]
- Huang, W.; Huang, X.; Xing, Q.; Zhou, Z. Strength reduction factor of crumb rubber as fine aggregate replacement in concrete. J. Build. Eng. 2020, 32, 101346. [Google Scholar] [CrossRef]
- Meyyappan, P.L.; Anitha Selvasofia, S.D.; Asmitha, M.; Janani Praveena, S.; Simika, P. Experimental studies on partial replacement of crumb rubber as a fine aggregate in M30 grade concrete. Mater. Today Proc. 2023, 74, 985–992. [Google Scholar] [CrossRef]
- Feng, W.; Liu, F.; Yang, F.; Jing, L.; Li, L.; Li, H.; Chen, L. Compressive behaviour and fragment size distribution model for failure mode prediction of rubber concrete under impact loads. Constr. Build. Mater. 2020, 273, 121767. [Google Scholar] [CrossRef]
- Aleem, M.A.U.; Siddique, M.S.; Farooq, S.H.; Usman, M.; Ahsan, M.H.; Hussain, M.; Hanif, A. Axial compressive behavior of concrete incorporating crumb rubber pretreated with waste quarry dust. J. Build. Eng. 2022, 59, 105086. [Google Scholar] [CrossRef]
- Najim, K.; Hall, M. Mechanical and dynamic properties of self-compacting crumb rubber modified concrete. Constr. Build. Mater. 2012, 27, 521–530. [Google Scholar] [CrossRef]
- Zhang, J.; Kuang, C.; Liu, Z.; Lin, C.; Wang, K.; Hong, S.; Dong, B.; Hou, D.; Liu, L.; Xing, F. Evolutionary trace for ductile fracture performance of rubber−cement composites. Cem. Concr. Compos. 2021, 121, 104080. [Google Scholar] [CrossRef]
- Chen, J.; Zhuang, J.; Shen, S.; Dong, S. Experimental investigation on the impact resistance of rubber self-compacting concrete. Structures 2022, 39, 691–704. [Google Scholar] [CrossRef]
- Liu, Z.; Chen, X.; Wang, X.; Diao, H. Investigation on the dynamic compressive behavior of waste tires rubber-modified self-compacting concrete under multiple impacts loading. J. Clean. Prod. 2021, 336, 130289. [Google Scholar] [CrossRef]
- Yang, R.; Xu, Y.; Chen, P.; Wang, J. Experimental study on dynamic mechanics and energy evolution of rubber concrete under cyclic impact loading and dynamic splitting tension. Constr. Build. Mater. 2020, 262, 120071. [Google Scholar] [CrossRef]
- Abdullah, Z.T. Remanufactured waste tire by-product valorization: Quantitative–qualitative sustainability-based assessment. Results Eng. 2024, 22, 102229. [Google Scholar] [CrossRef]
- Ossio, F.; Salinas, C.; Hernández, H. Circular economy in the built environment: A systematic literature review and definition of the circular construction concept. J. Clean. Prod. 2023, 414, 137738. [Google Scholar] [CrossRef]
- Ascione, F.; Maselli, G.; Nesticò, A. Sustainable materials selection in industrial construction: A life-cycle based approach to compare the economic and structural performances of glass fibre reinforced polymer (GFRP) and steel. J. Clean. Prod. 2024, 475, 143641. [Google Scholar] [CrossRef]











| Cement | Loss on Ignition | ≤5.0% | Bulk Density | 1080 kg/m3 |
| Insoluble residue | ≤5.0% | Compression strength at 2 days | ≥30 MPa | |
| Sulphate content (SO3) | ≤3.50% | Compression strength at 28 days | ≥52.5 MPa | |
| Chloride content (Cl−) | ≤0.10% | Soundness (Expansion) | ≤10 mm | |
| C3A in clinker | ≤3% | Initial setting time | ≥45 min | |
| Fine aggregate | Cl− | ≤0.005% | Sand equivalent | ≤75 |
| Lightweight particle | ≤0.50% | Bulk density | 1512 kg/m3 | |
| Acid-soluble sulphate | AS0.8 | Organic material | Exempt | |
| Total sulfur compounds | ≤0.10% | Water absorption | ≤1% | |
| Coarse aggregate | Cl− | ≤0.001% | Bulk density | 1650 kg/m3 |
| Acid-soluble sulphate | AS0.2 | Lightweight organic contaminants | ≤0.50% | |
| Total sulfur compounds | ≤0.08% | Water absorption | ≤1% | |
| Rubber | Bulk density | 552 kg/m3 | Size | 2–4 mm |
| ID | Replacement Levels | Cement (g) | Sand (g) | Gravel (g) | Water (mL) | Crumb Rubber (g) | Superplasticizer (g) |
|---|---|---|---|---|---|---|---|
| 0 vol% rubber | 0% | 4000 | 8000 | 12,000 | 2000 | 0 | 40 |
| 10 vol% rubber | 10% | 4000 | 7200 | 12,000 | 2000 | 292 | 40 |
| 20 vol% rubber | 20% | 4000 | 6400 | 12,000 | 2000 | 584 | 40 |
| 30 vol% rubber | 30% | 4000 | 5600 | 12,000 | 2000 | 876 | 40 |
| Workability | Density | ||||
|---|---|---|---|---|---|
| Volume Fraction% | Slump (mm) | Consistency | (Kg/m3) | ||
| 0% | 40 | Plastic (P) | 2324 | ± | 6 |
| 10% | 140 | Fluid (F) | 2312 | ± | 9 |
| 20% | 120 | Fluid (F) | 2259 | ± | 20 |
| 30% | 130 | Fluid (F) | 2222 | ± | 18 |
| Volume Fraction | Maximum Stress | Ultimate Stress | Maximum Strain | Ultimate Strain | Maximum Energy Density | Ultimate Energy Density |
|---|---|---|---|---|---|---|
| σmax (MPa) | σu (MPa) | emax | eu | Emax (MPa) | Eu (MPa) | |
| 0% | 24.7 ± 2.5 | 2.7 ± 0.7 | 0.0019 ± 0.0002 | 0.0027 ± 0.0002 | 0.0274 ± 0.0056 | 0.0304 ± 0.0040 |
| 10% | 16.8 ± 2.9 | 1.7 ± 0.3 | 0.0014 ± 0.0002 | 0.0027 ± 0.0002 | 0.0167 ± 0.0061 | 0.0251 ± 0.0071 |
| 20% | 10.3 ± 1.4 | 1.0 ± 0.1 | 0.0010 ± 0.0001 | 0.0025 ± 0.0003 | 0.0070 ± 0.0025 | 0.0156 ± 0.0042 |
| 30% | 10.8 ± 1.8 | 2.0 ± 1.4 | 0.0011 ± 0.0001 | 0.0022 ± 0.0004 | 0.0076 ± 0.0018 | 0.0125 ± 0.0022 |
| Mix Dosing | Mix Cost | Cost/M3 | Compressive Strength | CEF | |||||||||||
|---|---|---|---|---|---|---|---|---|---|---|---|---|---|---|---|
| Cement | Sand | Gravel | Water | Plasticizer | Rubber | Cement | Sand | Gravel | Water | Plasticizer | Rubber | ||||
| ID | (kg) | (m3) | (m3) | (m3) | (kg) | (kg) | (EUR) | (EUR) | (m3) | (EUR) | (EUR) | (EUR) | (EUR) | (N/mm2) | |
| 0 vol% rubber | 4 | 0.00529 | 0.00727 | 0.002 | 0.040 | 0.000 | 1.56 | 0.238 | 0.011 | 0.003 | 0.107 | 0.000 | 1.919 | 24.71 | 1288 |
| 10 vol% rubber | 4 | 0.00476 | 0.00727 | 0.002 | 0.040 | 0.292 | 1.56 | 0.214 | 0.011 | 0.003 | 0.107 | 0.234 | 2.129 | 16.77 | 788 |
| 20 vol% rubber | 4 | 0.00423 | 0.00727 | 0.002 | 0.040 | 0.584 | 1.56 | 0.190 | 0.011 | 0.003 | 0.107 | 0.467 | 2.338 | 10.32 | 441 |
| 30 vol% rubber | 4 | 0.00370 | 0.00727 | 0.002 | 0.040 | 0.876 | 1.56 | 0.167 | 0.011 | 0.003 | 0.107 | 0.701 | 2.548 | 10.84 | 426 |
Disclaimer/Publisher’s Note: The statements, opinions and data contained in all publications are solely those of the individual author(s) and contributor(s) and not of MDPI and/or the editor(s). MDPI and/or the editor(s) disclaim responsibility for any injury to people or property resulting from any ideas, methods, instructions or products referred to in the content. |
© 2025 by the authors. Licensee MDPI, Basel, Switzerland. This article is an open access article distributed under the terms and conditions of the Creative Commons Attribution (CC BY) license (https://creativecommons.org/licenses/by/4.0/).
Share and Cite
Villanueva, P.B.; Barrio, M.I.P.; Escamilla, A.C. Performance of Microconcretes with Different Percentages of Recycled Tire Rubber Granulate. Appl. Mech. 2025, 6, 3. https://doi.org/10.3390/applmech6010003
Villanueva PB, Barrio MIP, Escamilla AC. Performance of Microconcretes with Different Percentages of Recycled Tire Rubber Granulate. Applied Mechanics. 2025; 6(1):3. https://doi.org/10.3390/applmech6010003
Chicago/Turabian StyleVillanueva, Purificación Bautiste, María Isabel Prieto Barrio, and Alfonso Cobo Escamilla. 2025. "Performance of Microconcretes with Different Percentages of Recycled Tire Rubber Granulate" Applied Mechanics 6, no. 1: 3. https://doi.org/10.3390/applmech6010003
APA StyleVillanueva, P. B., Barrio, M. I. P., & Escamilla, A. C. (2025). Performance of Microconcretes with Different Percentages of Recycled Tire Rubber Granulate. Applied Mechanics, 6(1), 3. https://doi.org/10.3390/applmech6010003

