Behavior of Micropile (Type D) Subjected to Vertical Load: Parametric Numerical Studies
Abstract
1. Introduction
2. Materials and Methods
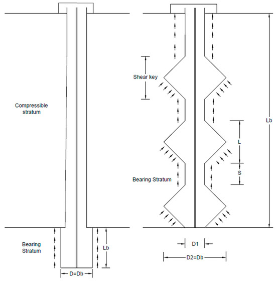
2.1. Case Study Description
2.2. Constitutive Models and Material Parameters
2.3. Finite Element Analysis
2.4. Construction Stages
2.5. Verification of the Numerical Model
3. Parametric Studies
4. Results and Discussion
4.1. Axial Displacement of Micropiles
4.2. Axial Force of Micropiles
4.3. Lateral Displacement of Micropiles
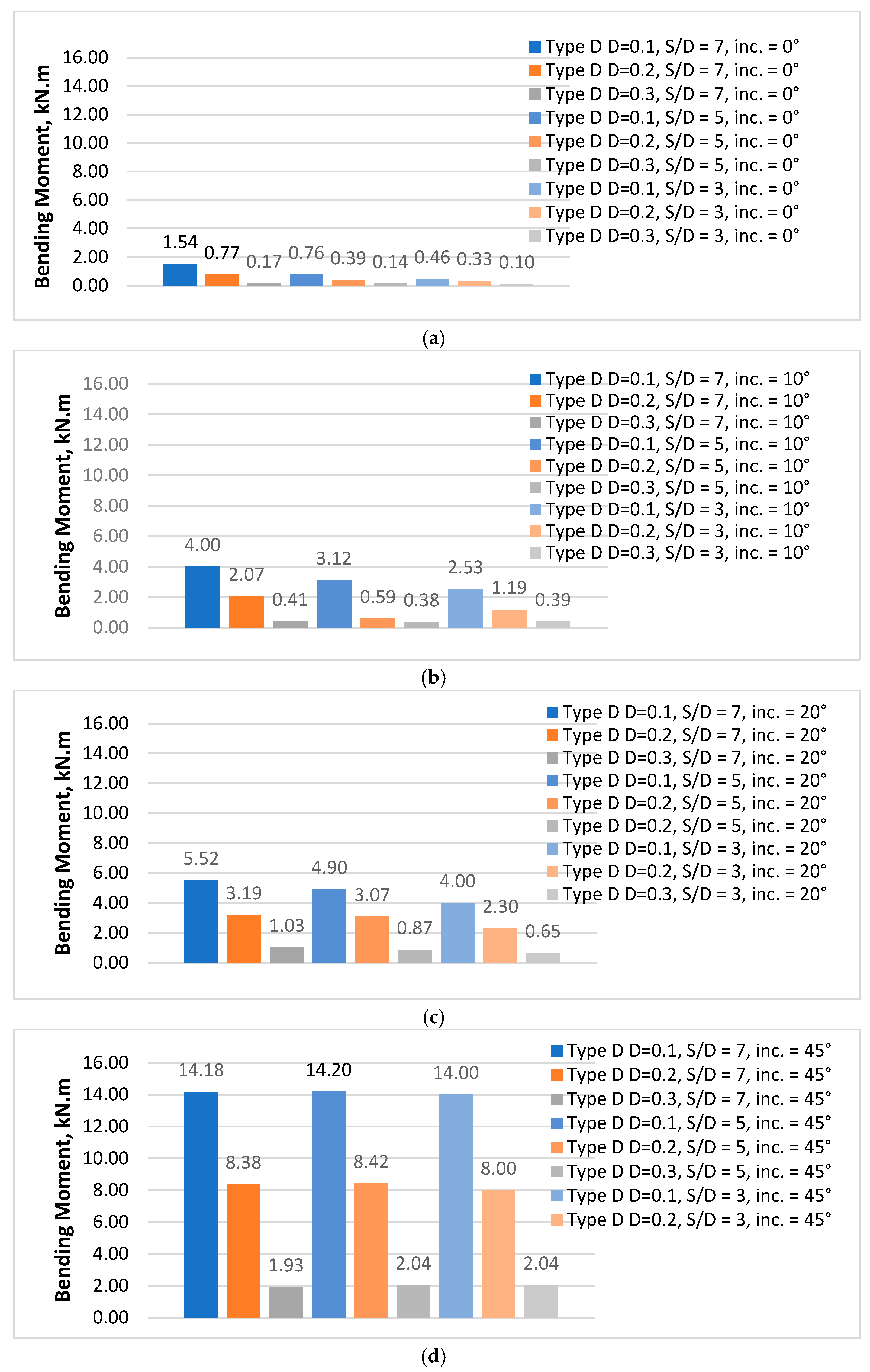
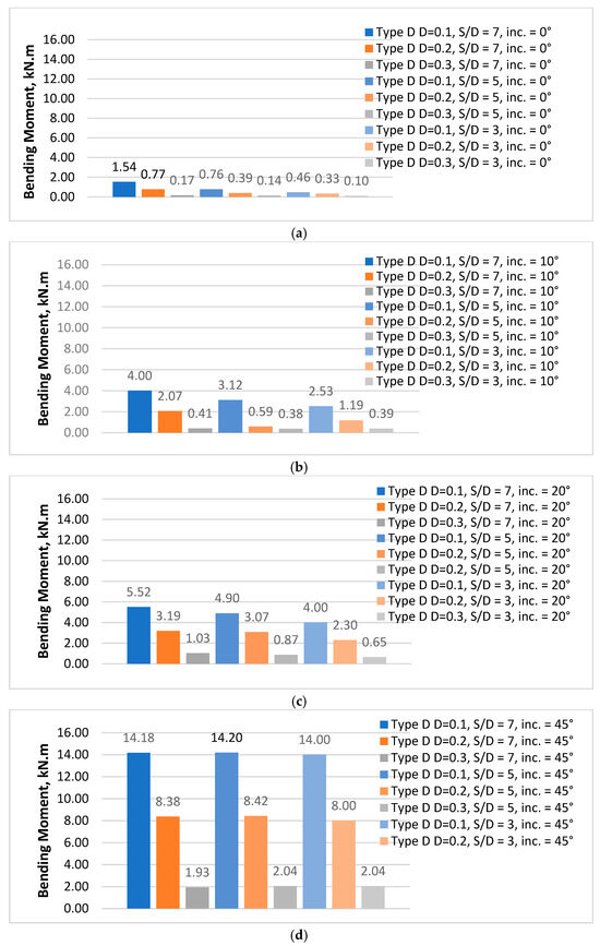
4.4. Bending Moment of Micropiles
5. Conclusions
- A micropile’s performance is greatly improved by increasing its diameter since it improves load transfer, increases structural stiffness, and lessens soil deformation and settlement.
- The stiffness of micropiles that were vertical and those with inclination angles of 10° and 20° increased as the diameter of the micropile grew. Nevertheless, the axial displacement was almost constant for a 45° inclination angle, independent on the micropile diameter.
- For diameters of 0.1 m and 0.2 m, micropile spacing (S/D) had a substantial impact on axial settlement and load efficiency; broader spacing improved soil utilization, while closer spacing resulted in stress overlap. Axial settlement was not significantly affected by spacing for the 0.3 m diameter.
- Compared to lower diameters (D = 0.1), larger micropile diameters (D = 0.3) showed much stronger initial axial forces and superior load retention at depth, holding 40–50% of their load at 10 m.
- Lower axial forces per micropile were the consequence of minimizing group effects by a reduction in the space between micropiles (lower S/D ratio). On the other hand, under vertical stresses, load-sharing interactions were enhanced by increasing the spacing (greater S/D ratio). In comparison to closer spacing (S/D = 3), group effects were more noticeable at a wider separation (S/D = 7), increasing axial forces at the surface by 10–15%.
- By improving frictional and passive soil resistance, larger micropile sizes increased stiffness and decreased lateral displacements for inclination angles up to 20°. Furthermore, because of the increased lateral component of axial stresses at a 45° inclination angle, lateral deflection increased. Group interaction effects were influenced by loading circumstances, pile spacing, and inclination.
- Bending stresses were amplified by increasing eccentricity and horizontal loads, and the bending moment increased as the micropile inclination angle increased. Furthermore, because load dispersal lowered lateral forces and bending, micropile spacing had no effect on the bending moment for inclination angles larger than 20°.
Funding
Institutional Review Board Statement
Informed Consent Statement
Data Availability Statement
Conflicts of Interest
References
- Bruce, D.A.; DiMillio, A.F.; Juran, I. Introduction to Micropiles: An International Perspective; ASCE: Reston, VA, USA, 1995. [Google Scholar]
- FHWA. Micropile Design and Construction; Publ. No. FHWA NHI-05-039; National Highway Institute: Washington, DC, USA, 2005. [Google Scholar]
- Tsukada, Y.; Miura, K.; Tsubokawa, Y.; Otani, Y.; You, G.L. Mechanism of Bearing Capacity of Spread Footings Reinforced with Micropiles. Soils Found. 2006, 46, 367–376. [Google Scholar] [CrossRef]
- Esmaeili, M.; Nik, M.G.; Khayyer, F. Experimental and Numerical Study of Micropiles to Reinforce High Railway Embankments. Int. J. Geomech. 2013, 13, 729–744. [Google Scholar] [CrossRef]
- Wu, W.; Di, T.; Yang, X.; El Naggar, M.H.; Zhang, Y. Revised pile-pile mutual interaction factors for seismic analysis of end-bearing pile groups embedded in saturated stratum. Soil Dyn. Earthq. Eng. 2024, 182, 108745. [Google Scholar] [CrossRef]
- Zhang, Y.; Ji, H.; Zhang, L.; El Naggar, M.H.; Wu, W. Identification of bored pile defects utilizing torsional low strain integrity test: Theoretical basis and numerical analysis. J. Rock Mech. Geotech. Eng. 2024; in press. [Google Scholar] [CrossRef]
- Liu, X.; Tang, L.; Wu, W.; El Naggar, M.H.; Zhang, Z.; Wang, H.; Sun, J. Theoretical Investigation of Dynamic Pile–Soil Interaction in Torsion Considering Continuity of Heterogeneous Soil. Int. J. Numer. Anal. Methods Geomech. 2024; in press. [Google Scholar] [CrossRef]
- Jang, Y.E.; Han, J.T. Field Study on Axial Bearing Capacity and Load Transfer Characteristic of Waveform Micropile. Can. Geotech. J. 2018, 55, 653–665. [Google Scholar] [CrossRef]
- Juran, I.; Bruce, D.A.; Dimillio, A.; Benslimane, A. Micropiles: The state of practice. Part II: Design of single micropiles and groups and networks of micropiles. Ground Improv. 1999, 3, 89–110. [Google Scholar] [CrossRef]
- Armour, T.; Groneck, P.; Keeley, J.; Sharma, S. Micropile Design and Construction Guidelines—Implementation Manual; Report No. FHWA-SA-97-070; Federal HighwayAdministration–US Department Transportation: Vancouver, WA, USA, 2000; p. 376. [Google Scholar]
- Rose, A.; Taylor, R.; El Naggar, M. Numerical modelling of perimeter pile groups in clay. Can. Geotech. J. 2013, 50, 250–258. [Google Scholar] [CrossRef]
- Abd Elaziz, A.Y.; El Naggar, M.H. Geotechnical capacity of hollow-bar micropiles in cohesive soils. Can. Geotech. J. 2014, 51, 1123–1138. [Google Scholar] [CrossRef]
- Alnuaim, A.M.; El Naggar, H.; El Naggar, M.H. Performance of micropiled raft in sand subjected to vertical concentrated load: Centrifuge modeling. Can. Geotech. J. 2014, 52, 33–45. [Google Scholar] [CrossRef]
- Kyung, D.; Lee, J. Interpretative Analysis of Lateral Load-Carrying Behavior and Design Model for Inclined Single and Group Micropiles. J. Geotech. Geoenviron. Eng. 2018, 144, 04017105. [Google Scholar] [CrossRef]
- Li, Z.; Kotronis, P.; Escoffier, S.; Tamagnini, C. A hypoplastic macroelement formulation for single batter piles in sand. Int. J. Numer. Anal. Methods Geomech. 2018, 42, 1346–1365. [Google Scholar] [CrossRef]
- Abbas, Q.; Kim, G.; Kim, I.; Kyung, D.; Lee, J. Lateral Load Behavior of Inclined Micropiles Installed in Soil and Rock Layers. Int. J. Geomech. 2021, 21, 1–13. [Google Scholar] [CrossRef]
- Tsukada, Y.; Miura, K.; Tsubokawa, Y.; Ishito, M.; Nishimura, N.; Ohtani, Y.; You, G.L. Experimental investigation on the improvement of bearing capacity of surface footing with micropiles. In Proceedings of the 2nd International Workshop on Micropiles, Ube City, Japan, September 1999; pp. 139–148. Available online: https://www.ismicropiles.org/1999.asp (accessed on 31 December 2024).
- Bhattacharjee, A.; Mittal, S.; Krishna, A.M. Bearing capacity improvement of square footing by micropiles. Int. J. Geotech. Eng. 2011, 5, 113–118. [Google Scholar] [CrossRef]
- Rose, A.V.; Taylor, R.N. Modelling the axial capacity of micropiles at close spacing. In Proceedings of the 10th International Workshop of Micropile, Washington, DC, USA, 22–25 September 2010. [Google Scholar]
- Han, J.; Ye, S.L. A field study on the behavior of a foundation underpinned by micropiles. Can. Geotech. J. 2006, 43, 30–42. [Google Scholar] [CrossRef]
- Shong, L.S.; Chung, F.C. Design & construction of micropiles. In Proceedings of the Geotechnical Course for Pile Foundation Design & Construction, Ipoh, Malaysia, 29–30 September 2003; pp. 1–49. [Google Scholar]
- Ayasrah, M.M.; Al-Karawi, A.; Qiu, H. Behavior of micropiles in layered soils. AIP Conf. Proc. 2024, 3229, 060003. [Google Scholar]
- Jang, Y.E.; Han, J.T. Development on the Micropile for Applying to Artificial Ground above Railroad Site. Adv. Sci. Technol. Lett. 2014, 55, 43–46. [Google Scholar]
- Jang, Y.E.; Han, J.T. Study of Load Capacity of Waveform Micropile by Centrifuge test. In Proceedings of the 25th International Offshore and Polar Engineering Conference, Kona, HI, USA, 21–26 June 2015. [Google Scholar]
- Chen, W.F.; Saleeb, A.F. Constitutive Equations for Engineering Materials. Volume 1: Elasticity and Modeling; Elsevier: Amsterdam, The Netherlands, 1982. [Google Scholar]
- Nguyen, V.Q.; Merifield, R.S. Undrained bearing capacity of surface footings near slopes. Aust. Geomech. 2011, 46, 77. [Google Scholar]
- Lee, J.K.; Jeong, S.; Shang, J.Q. Undrained bearing capacity of ring foundations on two-layered clays. Ocean Eng. 2016, 119, 47–57. [Google Scholar] [CrossRef]
- Qiu, H.; Qiu, R.; Luo, G.; Ayasrah, M.M.; Wang, Z. Study on the mechanical behavior of fluid–solid coupling in shallow buried tunnels under different biased terrain. Symmetry 2022, 14, 1339. [Google Scholar] [CrossRef]
- Lade, P.V. Overview of constitutive models for soils. In Soil Constitutive Models: Evaluation, Selection, and Calibration; Yamamuro, J.A., Kaliakin, V.N., Eds.; ASCE Geotechnical Special Publication No. 128; ASCE: Reston, VA, USA, 2005; pp. 1–34. [Google Scholar]
- Ti, K.; Huat, B.; Noorzaei, J.; Jaafar, M. A Review of Basic Soil Constitutive Models for Geotechnical Application. Electron. J. Geotech. Eng. 2009, 14, 1–18. [Google Scholar]
- Qiu, H.; Wang, H.; Ayasrah, M.M.; Zhou, Z.; Li, B. Study on Horizontal Bearing Capacity of Pile Group Foundation Composed of Inclined and Straight Piles. Buildings 2023, 13, 690. [Google Scholar] [CrossRef]
- Huang, W.; Liu, J.; Wang, H.; Ayasrah, M.; Qiu, H.; Wang, Z. Study on Dynamic Response of Inclined Pile Group Foundation under Earthquake Action. Buildings 2023, 13, 2416. [Google Scholar] [CrossRef]
- Garbacz, A. Stress wave propagation throughout an interface: PCC composites-concrete substrate in repair system. Archit. Civil. Eng. Environ. 2010, 3, 35–44. [Google Scholar]















| Soil Layers Properties | Fill | Deposit | Weathered Soil | Weathered Rock |
|---|---|---|---|---|
| Depth: m | 0–4.5 | 4.5–7.5 | 7.5–8.0 | 8.0–15.0 |
| Unit weight (γ) (kN/m3) | 18 | 19 | 20 | 21 |
| Elastic modulus (kN/m2) | 22,800 | 34,800 | 51,600 | 450,000 |
| Poisson’s ratio (ν) | 0.3 | 0.3 | 0.3 | 0.28 |
| Cohesion (c) | 0.02 | 0.02 | 10 | 50 |
| Angle of internal friction (φ) | 30 | 35 | 33 | 39 |
| Parameters | Value | Unit |
|---|---|---|
| Total unit weight, γ | 24 | kN/m3 |
| Modulus of elasticity, E | 30 × 106 | kN/m2 |
| Poison’s ratio, ν | 0.2 | - |
| Analysis Series for a Research Plan | Range of Varying Parameters |
|---|---|
| Micropile spacing ratio S/D | 3, 5, and 7 |
| Inner diameter (Di) | 0.1, 0.2, and 0.3 |
| Micropile inclination angles (α) | 0°, 10°, 20°, and 40° |
Disclaimer/Publisher’s Note: The statements, opinions and data contained in all publications are solely those of the individual author(s) and contributor(s) and not of MDPI and/or the editor(s). MDPI and/or the editor(s) disclaim responsibility for any injury to people or property resulting from any ideas, methods, instructions or products referred to in the content. |
© 2025 by the author. Licensee MDPI, Basel, Switzerland. This article is an open access article distributed under the terms and conditions of the Creative Commons Attribution (CC BY) license (https://creativecommons.org/licenses/by/4.0/).
Share and Cite
Ayasrah, M. Behavior of Micropile (Type D) Subjected to Vertical Load: Parametric Numerical Studies. Appl. Mech. 2025, 6, 4. https://doi.org/10.3390/applmech6010004
Ayasrah M. Behavior of Micropile (Type D) Subjected to Vertical Load: Parametric Numerical Studies. Applied Mechanics. 2025; 6(1):4. https://doi.org/10.3390/applmech6010004
Chicago/Turabian StyleAyasrah, Mo’men. 2025. "Behavior of Micropile (Type D) Subjected to Vertical Load: Parametric Numerical Studies" Applied Mechanics 6, no. 1: 4. https://doi.org/10.3390/applmech6010004
APA StyleAyasrah, M. (2025). Behavior of Micropile (Type D) Subjected to Vertical Load: Parametric Numerical Studies. Applied Mechanics, 6(1), 4. https://doi.org/10.3390/applmech6010004

