Local Stability in the Process of Excavation Located in High Permeability Saturated Sand of Diaphragm Wall Construction
Abstract
1. Introduction
2. Numerical Analysis for the Initial Hydraulic Filed Located in Sandy Stratum
3. Experimental Study for the Distribution of Excess Pore Pressure When the Slurry Infiltrates in the High Permeability Saturated Sand
3.1. Set-Up
3.2. Experimental Procedure
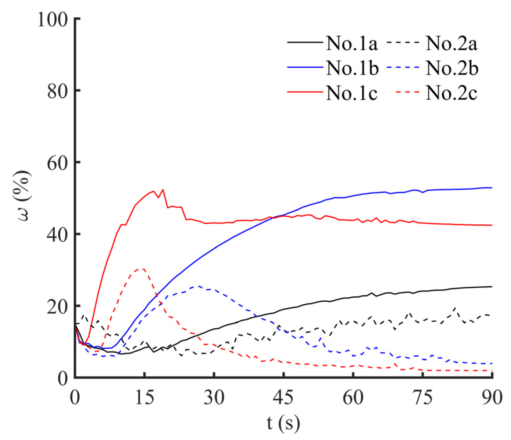
3.3. Results and Discussion
4. Local Stability of the Trench Walls in the Process of Excavation Located in High Permeability Saturated Sand
4.1. Local Instability Model
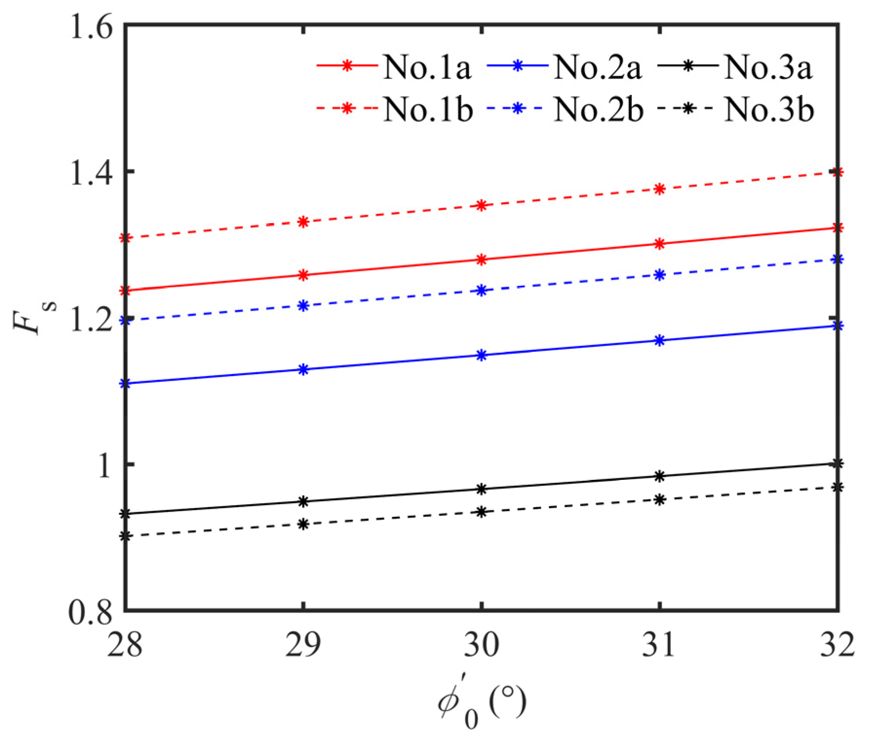
4.2. The Calculation of Safety Factor for the Local Stability
5. Conclusions
- (a)
- According to the results of the numerical simulation, the initial hydraulic gradient in the process of excavation is much smaller than that adopted in the traditional experiments. In addition, the initial hydraulic gradient is different under different working conditions. In the different working conditions listed in this paper, the difference in the initial hydraulic gradient reaches around 3.5 times.
- (b)
- Even if the strata used in the experiment belong to the same type of sand specified in the Code for Investigation of Geotechnical Engineering, two different distributions of the excess pore pressure occur in the strata, the formation of the filter cake has a great influence on the distribution of excess pore pressure. For the slurry infiltration mode where the filter cake can form, the excess pore pressure gradually accumulates to the excavation face, and finally most of the excess pore pressure will completely accumulate on the excavation surface. However, for the slurry infiltration mode where the filter cake cannot form, the excess pore pressure is continuously redistributed in the infiltrated zone and the zone which is not infiltrated by the slurry, and finally most of the excess pore pressure is concentrated in the zone infiltrated by the slurry, and a small part is concentrated in the zone which is not infiltrated by the slurry. Thus, it cannot be simply considered that the same type of sand specified in the Code for Investigation of Geotechnical Engineering has the same permeability; whether the filter cake can be formed and the quality of the filter cake are the key factors to determine the distribution of the excess pore pressure.
- (c)
- Reduction of support pressure is different for the two infiltration modes presented in this paper. Although the internal friction angle of sand, overload, and slot depth also affect the safety factor, the formation of the filter cake for the slurry infiltration mode is crucial for local stability in the process of excavation located in high permeability saturated sand of diaphragm wall construction. Attention should be paid to the local stability in the process of excavation located in high permeability saturated sand when the slurry infiltration mode is the pure permeable zone, and the effective support pressure acting on the unstable body may not guarantee the local stability in the process of excavation located in high permeability saturated sand.
Author Contributions
Funding
Data Availability Statement
Conflicts of Interest
References
- Wong, G.C. Stability analysis of slurry trenches. J. Geotech. Eng. 1984, 110, 1577–1590. [Google Scholar] [CrossRef]
- Zhang, F.; Gao, Y.F.; Leshchinsky, D.; Zhu, D.S.; Lei, G.H. Three-dimensional stability of slurry-supported trenches: End effects. Comput. Geotech. 2016, 74, 174–187. [Google Scholar] [CrossRef]
- Wang, H.; Huang, M. Upper bound stability analysis of slurry-supported trenches in layered soils. Comput. Geotech. 2020, 122, 103554. [Google Scholar] [CrossRef]
- Liu, W.; Shi, P.; Cai, G.; Gan, P. A three-dimensional mechanism for global stability of slurry trench in frictional soils. Eur. J. Environ. Civil. Eng. 2022, 26, 594–619. [Google Scholar] [CrossRef]
- Tan, T.; Huang, M.; Shi, Z. Analytical Three-Dimensional Mechanism for Stability of Slurry Trenches in Cohesive Soils. Int. J. Geomech. 2022, 22, 04021274. [Google Scholar] [CrossRef]
- Han, C.-Y.; Wang, J.; Xia, X.-H.; Chen, J.-J. Limit Analysis for Local and Overall Stability of a Slurry Trench in Cohesive Soil. Int. J. Geomech. 2012, 15, 06014026. [Google Scholar] [CrossRef]
- An, C.-L.; Feng, W.-X.; Zhao, Q.-H.; Ji, L.-L.; He, D.-L.; He, B.-G. Local Stability of Trench for Diaphragm Walls Passing through Deep Weak Interlayer. Adv. Mater. Sci. Eng. 2021, 2021, 9934516. [Google Scholar] [CrossRef]
- Liu, Y.; Liu, W. Local instability analysis of the ultra-deep wall-to-slotted in water rich soft layer. Chin. J. Rock Soil Mech. 2020, 41, 1000–7598. [Google Scholar]
- Zizka, Z.; Schoesser, B.; Popovic, I.; Thewes, M. Excess pore pressures in front of the tunnel face during slurry shield excavations due to different time scales for excavation sequence of cutting tools and penetration time of support fluid. In Proceedings of the ECONAS Conference EURO, Innsbruck, Austria, 18–20 April 2017. [Google Scholar]
- Broere, W.; Van Tol, A. Time-dependant infiltration and groundwater flow in a face stability analysis. In Modern Tunneling Science and Technology; CRC Press: Boca Raton, FL, USA, 2020; pp. 629–634. [Google Scholar]
- Filz, G.M.; Adams, T.; Davidson, R.R. Stability of long trenches in sand supported by bentonite-water slurry. J. Geotech. Geoenviron. Eng. 2004, 130, 915–921. [Google Scholar] [CrossRef]
- Muller-Kirchenbauer, H. Stability of slurry trenches. In Proceedings of the 5th European Conference on Soil Mechanics and Foundation Engineering, Madrid, Spanish, 10–13 April 1972. [Google Scholar]
- Lyu, M. Pore Size Analysis and Its Influence on Slurry Infiltration in Sandy Layers. Chin. J. Rock Soil Mech. 2020, 3, 144–151. [Google Scholar]
- Xu, T.; Bezuijen, A. Pressure infiltration characteristics of bentonite slurry. Géotechnique 2019, 69, 364–368. [Google Scholar] [CrossRef]
- Xu, T.; Bezuijen, A. Analytical methods in predicting excess pore water pressure in front of slurry shield in saturated sandy ground. Tunn. Undergr. Space Technol. 2018, 73, 203–211. [Google Scholar] [CrossRef]
- Saada, Z.; Canou, J.; Dormieux, L.; Dupla, J.-C.; Maghous, S. Modelling of cement suspension flow in granular porous media. Int. J. Numer. Anal. Methods Geomech. 2005, 29, 691–711. [Google Scholar] [CrossRef]
- Xu, T.; Bezuijen, A. Bentonite slurry infiltration into sand: Filter cake formation under various conditions. Geotechnique 2019, 69, 1127. [Google Scholar] [CrossRef]
- Zizka, Z.; Schoesser, B.; Thewes, M. Excavation cycle dependent changes of hydraulic properties of granular soil at the tunnel face during slurry shield excavations. In Geotechnical Aspects of Underground Construction in Soft Ground; CRC Press: Boca Raton, FL, USA, 2017; pp. 137–144. [Google Scholar]
- API (American Petroleum Institute). Recommended Practice Standard Procedure for Field Testing Water-Based Drilling Fluids, 3rd ed.; 13B-1; API (American Petroleum Institute): Washington, DC, USA, 2003. [Google Scholar]
- EN-1538; Execution of special geotechnical works—Diaphragm walls. CEN (Comité Européen de Normalisation): Brussels, Belgium, 2000.
- GB50021; Chinese Code for Investigation of Geotechnical Engineering. Ministry of Construction of the People’s Republic of China: Beijing, China, 2009.
- Talmon, A.M.; Mastbergen, D.; Huisman, M. Invasion of pressurized clay suspensions into granular soil. J. Porous Media 2013, 16, 351–365. [Google Scholar] [CrossRef]
- Yuan, M. A theoretical study of porosity characteristics on the excavation face of slurry shield in sand stratum. Chin. J. Rock Soil Mech. 2020, 41, 1000–7598. [Google Scholar]











| Type of Soil | Particle Size (mm) | Porosity | Intrinsic Permeability (m2) | Bulk Modulus (MPa) |
|---|---|---|---|---|
| Sand I | 0.25–0.5 | 0.35 | 7.7 × 10−11 | 40 |
| Sand II | 0.5–1 | 0.45 | 1.5 × 10−10 | 40 |
| Clay | - | 0.5 | 1 × 10−14 | 10 |
| Type of Soil | Particle Size (mm) | Slot Depth (m) | Slurry Weight (kN/m3) | No. of Simulation |
|---|---|---|---|---|
| Sand I | 0.25–0.50 | 10 | 10.5 | 1a |
| 20 | 11.0 | 1b | ||
| 30 | 11.5 | 1c | ||
| Sand II | 0.5–1.0 | 10 | 10.5 | 2a |
| 20 | 11.0 | 2b | ||
| 30 | 11.5 | 2c |
| Bentonite Concentration (g/L) | Pure Alkali Concentration (%) | Density (g/cm3) | Marsh Time (s) | Soviet Time (s) | PH |
|---|---|---|---|---|---|
| 40 | 4 | 1.04 | 39 | 30 | 9.5 |
| Slurry | Slurry Infiltration Mode | Injection Pressure (kPa) | No. of Experiment |
|---|---|---|---|
| B1, 4% | Pure permeable zone | 10 | 1a |
| 25 | 1b | ||
| 50 | 1c | ||
| Filter cake + permeable zone | 10 | 2a | |
| 25 | 2b | ||
| 50 | 2c |
| Slurry Infiltration Mode | Slot Depth (m) | Pressure (kPa) | No. of Calculation |
|---|---|---|---|
| I: Method without considering the time effect and pressure reduction | 10 | 25 | 1a |
| 30 | 50 | 1b | |
| II: Filter cake + permeable zone | 10 | 25 | 2a |
| 30 | 50 | 2b | |
| III: Pure permeable zone | 10 | 25 | 3a |
| 30 | 50 | 3b |
Publisher’s Note: MDPI stays neutral with regard to jurisdictional claims in published maps and institutional affiliations. |
© 2022 by the authors. Licensee MDPI, Basel, Switzerland. This article is an open access article distributed under the terms and conditions of the Creative Commons Attribution (CC BY) license (https://creativecommons.org/licenses/by/4.0/).
Share and Cite
Liu, Y.; Wei, L.; Zhu, Y.; Zhuang, X. Local Stability in the Process of Excavation Located in High Permeability Saturated Sand of Diaphragm Wall Construction. Appl. Mech. 2022, 3, 1254-1269. https://doi.org/10.3390/applmech3040072
Liu Y, Wei L, Zhu Y, Zhuang X. Local Stability in the Process of Excavation Located in High Permeability Saturated Sand of Diaphragm Wall Construction. Applied Mechanics. 2022; 3(4):1254-1269. https://doi.org/10.3390/applmech3040072
Chicago/Turabian StyleLiu, Yuhang, Linchun Wei, Yanfei Zhu, and Xiaoying Zhuang. 2022. "Local Stability in the Process of Excavation Located in High Permeability Saturated Sand of Diaphragm Wall Construction" Applied Mechanics 3, no. 4: 1254-1269. https://doi.org/10.3390/applmech3040072
APA StyleLiu, Y., Wei, L., Zhu, Y., & Zhuang, X. (2022). Local Stability in the Process of Excavation Located in High Permeability Saturated Sand of Diaphragm Wall Construction. Applied Mechanics, 3(4), 1254-1269. https://doi.org/10.3390/applmech3040072

