A Combined Windowing and Deep Learning Model for the Classification of Brain Disorders Based on Electroencephalogram Signals
Abstract
1. Introduction
- Proposing an end-to-end deep learning-based architecture and model for labelling EEG signals, involving the combination of a data selection module and a deep learning module.
- Incorporating a windowing technique in the architecture for data selection to overcome the dimensionality curse, using the Morse wavelet transform.
- Designing the deep learning module, comprising a CNN–LSTM combined network, for feature extraction and classification.
2. Methodology
2.1. Architecture of the Proposed Model
2.1.1. TUH Data Set
2.1.2. Data Selection
2.1.3. Feature Extraction and Classification
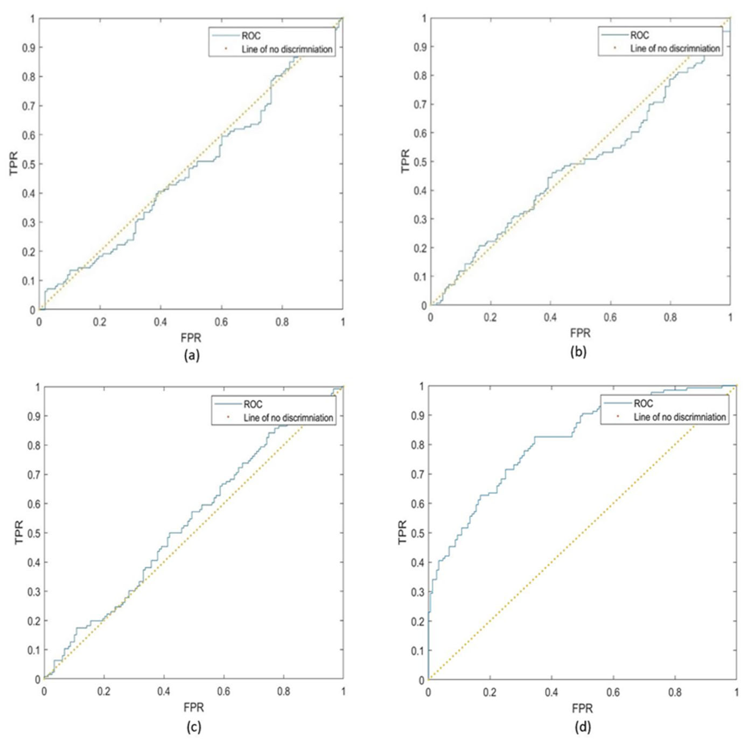
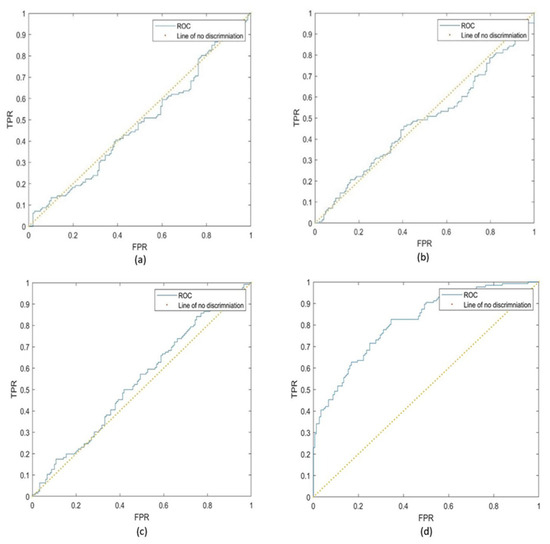
3. Performance and Evaluation
3.1. Procedure
3.2. Experimental Results
4. Conclusions
Author Contributions
Funding
Institutional Review Board Statement
Data Availability Statement
Conflicts of Interest
References
- Amer, N.S.; Belhaouari, S.B. EEG signal processing for medical diagnosis, healthcare, and monitoring: A comprehensive review. IEEE Access 2023, 11, 143116–143142. [Google Scholar] [CrossRef]
- Abir, S.I.; Shoha, S.; Hossain, M.M.; Sultana, N.; Saha, T.R.; Sarwer, M.H.; Saimon, S.I.; Islam, I.; Hasan, M. Machine Learning and Deep Learning Techniques for EEG-Based Prediction of Psychiatric Disorders. J. Comput. Sci. Technol. Stud. 2025, 7, 46–63. [Google Scholar] [CrossRef]
- Gadgil, A.A.; Selvakumar, P.; Gnanaselvi, G.S.; Malathi, G. AI in Neuroimaging and Brain Analysis. In Transforming Neuropsychology and Cognitive Psychology with AI and Machine Learning; IGI Global: Hershey, PA, USA, 2025; pp. 185–212. [Google Scholar]
- Saminu, S.; Xu, G.; Zhang, S.; Ab El Kader, I.; Aliyu, H.A.; Jabire, A.H.; Ahmed, Y.K.; Adamu, M.J. Applications of artificial intelligence in automatic detection of epileptic seizures using EEG signals: A review. Artif. Intell. Appl. 2023, 1, 11–25. [Google Scholar] [CrossRef]
- Ahmed, M.I.B.; Alotaibi, S.; Dash, S.; Nabil, M.; AlTurki, A.O. A Review on Machine Learning Approaches in Identification of Pediatric Epilepsy. SN Comput. Sci. 2022, 3, 437. [Google Scholar] [CrossRef]
- Rahul, J.; Sharma, D.; Sharma, L.D.; Nanda, U.; Sarkar, A.K. A systematic review of EEG-based automated schizophrenia classification through machine learning and deep learning. Front. Hum. Neurosci. 2024, 18, 1347082. [Google Scholar] [CrossRef]
- Bajaj, A.; Sharma, V. EEG-Based Epileptic Seizure Prediction Using Variants of the Long Short-Term Memory Algorithm. Int. J. Comput. Inf. Syst. Ind. Manag. Appl. 2025, 17, 13. [Google Scholar]
- Abdelhady, G. Enhancing Neuroprosthetic Control Using CNN-LSTM Models: A Simulation Study with EEG-Based Motor Imagery. Artif. Intell. Inf. Secur. 2025, 3, 17–35. [Google Scholar] [CrossRef]
- Ma, Y. Application of LSTM emotion recognition based on deep learning and attention mechanism in patient relationship mediation. In Proceedings of the Fourth International Conference on Computer Vision, Application, and Algorithm (CVAA 2024), Chengdu, China, 11–13 October 2024; Volume 13486, pp. 229–234. [Google Scholar]
- Cao, X.; Zheng, S.; Zhang, J.; Chen, W.; Du, G. A hybrid CNN-Bi-LSTM model with feature fusion for accurate epilepsy seizure detection. BMC Med. Inform. Decis. Mak. 2025, 25, 6. [Google Scholar] [CrossRef]
- Kim, M.-J.; Youn, Y.C.; Paik, J. Deep learning-based EEG analysis to classify normal, mild cognitive impairment, and dementia: Algorithms and dataset. NeuroImage 2023, 272, 120054. [Google Scholar] [CrossRef]
- Fergus, P.; Hussain, A.; Hignett, D.; Al-Jumeily, D.; Abdel-Aziz, K.; Hamdan, H. A machine learning system for automated whole-brain seizure detection. Appl. Comput. Inform. 2016, 12, 70–89. [Google Scholar] [CrossRef]
- Dişli, F.; Gedikpınar, M.; Fırat, H.; Şengür, A.; Güldemir, H.; Koundal, D. Epilepsy Diagnosis from EEG Signals Using Continuous Wavelet Transform-Based Depthwise Convolutional Neural Network Model. Diagnostics 2025, 15, 84. [Google Scholar] [CrossRef] [PubMed]
- Tong, P.F.; Dong, B.; Zeng, X.; Chen, L.; Chen, S.X. Detection of interictal epileptiform discharges using transformer-based deep neural network for patients with self-limited epilepsy with centrotemporal Spikes. Biomed. Signal Process. Control 2025, 101, 107238. [Google Scholar] [CrossRef]
- Hu, W.; Wang, J.; Li, F.; Ge, D.; Wang, Y.; Jia, Q.; Yuan, S. A Modified Transformer Network for Seizure Detection Using EEG Signals. Int. J. Neural Syst. 2025, 35, 2550003. [Google Scholar] [CrossRef] [PubMed]
- Iešmantas, T.; Alzbutas, R. Convolutional neural network for detection and classification of seizures in clinical data. Med. Biol. Eng. Comput. 2020, 58, 1919–1932. [Google Scholar] [CrossRef] [PubMed]
- Obeid, I.; Picone, J. Machine learning approaches to automatic interpretation of EEGs. In Signal Processing and Machine Learning for Biomedical Big Data; CRC Press: Boca Raton, FL, USA, 2018; pp. 271–300. [Google Scholar]
- Harati, A.; Choi, S.; Tabrizi, M.; Obeid, I.; Picone, J.; Jacobson, M.P. The temple university hospital EEG corpus. In Proceedings of the 2013 IEEE Global Conference on Signal and Information Processing, Austin, TX, USA, 3–5 December 2013; pp. 29–32. [Google Scholar]
- Yıldırım, Ö.; Baloglu, U.B.; Acharya, U.R. A deep convolutional neural network model for automated identification of abnormal EEG signals. Neural Comput. Appl. 2020, 32, 15857–15868. [Google Scholar] [CrossRef]
- Alotaiby, T.; El-Samie, F.E.A.; Alshebeili, S.A.; Ahmad, I. A review of channel selection algorithms for EEG signal processing. EURASIP J. Adv. Signal Process. 2015, 2015, 66. [Google Scholar] [CrossRef]
- Zulkifley, M.; Abdani, S.R. EEG signals classification by using convolutional neural networks. In Proceedings of the IEEE Symposium on Acoustics, Speech and Signal Processing (SASSP 2019), Kuala Lumpur, Malaysia, 20 March 2019. [Google Scholar]
- Hochreiter, S.; Schmidhuber, J. Long short-term memory. Neural Comput. 1997, 9, 1735–1780. [Google Scholar] [CrossRef]
- Shoeb, A.H. Application of Machine Learning to Epileptic Seizure Onset Detection and Treatment. Ph.D. Thesis, Massachusetts Institute of Technology, Cambridge, MA, USA, 2009. [Google Scholar]
- Selvaraj, T.G.; Ramasamy, B.; Jeyaraj, S.J.; Suviseshamuthu, E.S. EEG database of seizure disorders for experts and application developers. Clin. EEG Neurosci. 2014, 45, 304–309. [Google Scholar] [CrossRef]
- Epilepsy Database. Available online: http://epilepsy-database.eu (accessed on 12 February 2025).
- Stevenson, N.J.; Tapani, K.; Lauronen, L.; Vanhatalo, S. A dataset of neonatal EEG recordings with seizure annotations. Sci. Data 2019, 6, 190039. [Google Scholar] [CrossRef]
- Andrzejak, R.G.; Lehnertz, K.; Rieke, C.; Mormann, F.; David, P.; Elger, C.E. Indications of nonlinear deterministic and finite-dimensional structures in time series of brain electrical activity: Dependence on recording region and brain state. Phys. Rev. E 2001, 64, 061907. [Google Scholar] [CrossRef]
- Gurrala, V.; Yarlagadda, P.; Koppireddi, P. Wavelet domain extraction of features from single channel sleep EEG. Int. J. Innov. Technol. Explor. Eng. 2019, 8, 230–232. [Google Scholar]
- Olhede, S.C.; Walden, A.T. Generalized morse wavelets. IEEE Trans. Signal Process. 2002, 50, 2661–2670. [Google Scholar] [CrossRef]
- Lilly, J.M. Element analysis: A wavelet-based method for analysing time-localized events in noisy time series. Proc. R. Soc. A Math. Phys. Eng. Sci. 2017, 473, 20160776. [Google Scholar] [CrossRef] [PubMed]
- Suwansawang, S.; Halliday, D. Time-frequency based coherence and phase locking value analysis of human locomotion data using generalized morse wavelets. In International Conference on Bio-Inspired Systems and Signal Processing (BIOSTEC 2017); SciTePress: Setúbal, Portugal, 2017; Volume 5, pp. 34–41. [Google Scholar]
- Martinez-Ríos, E.A.; Bustamante-Bello, R.; Navarro-Tuch, S.; Perez-Meana, H. Applications of the generalized morse wavelets: A review. IEEE Access 2022, 11, 667–688. [Google Scholar] [CrossRef]
- Lilly, J.M.; Olhede, S.C. Generalized morse wavelets as a superfamily of analytic wavelets. IEEE Trans. Signal Process. 2012, 60, 6036–6041. [Google Scholar] [CrossRef]
- Zhang, Z.; Moore, J. Intrinsic feature extraction in the COI of wavelet power spectra of climatic signals. In Proceedings of the 4th International Congress on Image and Signal Processing, Shanghai, China, 15–17 October 2011; Volume 5, pp. 2354–2356. [Google Scholar]
- Newson, J.J.; Thiagarajan, T.C. EEG frequency bands in psychiatric disorders: A review of resting state studies. Front. Hum. Neurosci. 2019, 12, 521. [Google Scholar] [CrossRef]
- Guerrero, M.C.; Parada, J.S.; Espitia, H.E. EEG signal analysis using classification techniques: Logistic regression, artificial neural networks, support vector machines, and convolutional neural networks. Heliyon 2021, 7, e07258. [Google Scholar] [CrossRef]
- Baratloo, A.; Hosseini, M.; Negida, A.; El Ashal, G. Part 1: Simple definition and calculation of accuracy, sensitivity, and specificity. Emergency 2015, 3, 48–49. [Google Scholar] [CrossRef]
- McDonald, A.C.; Gasperin Haaz, I.; Qi, W.; Crowley, D.C.; Guthrie, N.; Evans, M.; Bosnyak, D. Sensitivity, Specificity, and Accuracy of a Novel EEG-Based Objective Test, the Cognalyzer®, in Detecting Cannabis Psychoactive Effects. Adv. Ther. 2021, 38, 2513–2531. [Google Scholar] [CrossRef]
- Lopez, S. Automated Identification of Abnormal EEGs. Master’s Thesis, Temple University, Philadelphia, PA, USA, 2017. [Google Scholar]
- Harati, A.; Golmohammadi, M.; Lopez, S.; Obeid, I.; Picone, J. Improved EEG event classification using differential energy. In Proceedings of the 2015 IEEE Signal Processing in Medicine and Biology Symposium (SPMB), Philadelphia, PA, USA, 12 December 2015; pp. 1–4. [Google Scholar]
- Western, D.; Weber, T.; Kandasamy, R.; May, F.; Taylor, S.; Zhu, Y.; Canham, L. Automatic report-based labelling of clinical eegs for classifier training. In Proceedings of the 2021 IEEE Signal Processing in Medicine and Biology Symposium (SPMB), Philadelphia, PA, USA, 4 December 2021; pp. 1–6. [Google Scholar]
- Singh, A.K.; Krishnan, S. Trends in EEG signal feature extraction applications. Front. Artif. Intell. 2023, 5, 1072801. [Google Scholar] [CrossRef]
- Diana, N.; Kalsum, U.; Sabiq, A.; Jatmiko, W.; Mursanto, P. Comparing windowing methods on finite impulse response (FIR) filter algorithm in electroencephalography (EEG) data processing. J. Theor. Appl. Inf. Technol. 2016, 88, 558–567. [Google Scholar]
- Al-Fahoum, A.S.; Al-Fraihat, A.A. Methods of EEG Signal Features Extraction Using Linear Analysis in Frequency and Time-Frequency Domains. Int. Sch. Res. Not. 2014, 2014, 730218. [Google Scholar] [CrossRef] [PubMed]







| Training | Testing | ||
|---|---|---|---|
| Normal | Abnormal | Normal | Abnormal |
| 1150 | 1150 | 126 | 148 |
| 49.4% Male | 43.9% Male | 50% Male | 43.2% Male |
| 50.6% Female | 56.1% Female | 50% Female | 56.8% Female |
| Title 1 | Type | Parameter |
|---|---|---|
| Architecture | Number of Layers | 18 |
| Number of CNN filters | 5 | |
| Size of each CNN filter | 50 | |
| Total number of CNN layers | 2 | |
| Total number of LSTM Layers | 2 | |
| 1st LSTM Hidden Layers | 100 | |
| 2nd LSTM hidden Layers | 120 | |
| Hyper Parameters | Solver name/Optimizer | ADAM |
| Learning rate | 10−4 | |
| L2Regularization | 0.001 | |
| Mini batch algorithm | Gradient decent | |
| Input Size | 19 | |
| Number of Epochs | 30 | |
| Gradient Threshold | 1 |
| TP | FN | TN | FP | Precision | Recall | F1 Score | |
|---|---|---|---|---|---|---|---|
| Model 1 | 63 | 63 | 80 | 68 | 0.481 | 0.5 | 0.490 |
| Model 2 | 62 | 64 | 76 | 72 | 0.463 | 0.492 | 0.463 |
| Model 3 | 84 | 42 | 98 | 50 | 0.627 | 0.667 | 0.646 |
| Proposed Model | 99 | 19 | 129 | 27 | 0.839 | 0.786 | 0.812 |
| Title 1 | Data Selection | Feature Extraction | Classification Technique | Training Accuracy | Testing Accuracy |
|---|---|---|---|---|---|
| Model 1 | - | - | LSTM | 65% | 48.90% |
| Model 2 | - | Dropout 50% | LSTM | 68% | 47.87% |
| Model 3 | - | CNN | LSTM | 98% | 67.06% |
| Proposed Model | Windowing Technique | CNN | LSTM | 100% | 82.68% |
| Length of Sample/Data Points | Average Accuracy | Maximum Accuracy | SV | SP |
|---|---|---|---|---|
| 500 | 70.61% | 74.78% | 70.77% | 70.58% |
| 2000 | 73.40% | 78.26% | 71.54% | 75.45% |
| 8000 | 74.50% | 82.68% | 78.5% | 87.10% |
| Data Selection Technique | Feature Extraction | Classification Technique | Accuracy | |
|---|---|---|---|---|
| Sylvia et al. [39] | 1st minute | HMM | GMM | 78.65% |
| Tomas et al. [16] | - | PS + PLV + Energy | HMM | 68% |
| Harati et al. [40] | - | PCA | CNN | 75.4% |
| Western et al. [41] | 2nd minute | - | CNN | 81.88% |
| Proposed Model | Proposed windowing technique | Proposed 18-layer deep learning CNN + LSTM | 82.68% | |
Disclaimer/Publisher’s Note: The statements, opinions and data contained in all publications are solely those of the individual author(s) and contributor(s) and not of MDPI and/or the editor(s). MDPI and/or the editor(s) disclaim responsibility for any injury to people or property resulting from any ideas, methods, instructions or products referred to in the content. |
© 2025 by the authors. Licensee MDPI, Basel, Switzerland. This article is an open access article distributed under the terms and conditions of the Creative Commons Attribution (CC BY) license (https://creativecommons.org/licenses/by/4.0/).
Share and Cite
Abooelzahab, D.; Zaher, N.; Soliman, A.H.; Chibelushi, C. A Combined Windowing and Deep Learning Model for the Classification of Brain Disorders Based on Electroencephalogram Signals. AI 2025, 6, 42. https://doi.org/10.3390/ai6030042
Abooelzahab D, Zaher N, Soliman AH, Chibelushi C. A Combined Windowing and Deep Learning Model for the Classification of Brain Disorders Based on Electroencephalogram Signals. AI. 2025; 6(3):42. https://doi.org/10.3390/ai6030042
Chicago/Turabian StyleAbooelzahab, Dina, Nawal Zaher, Abdel Hamid Soliman, and Claude Chibelushi. 2025. "A Combined Windowing and Deep Learning Model for the Classification of Brain Disorders Based on Electroencephalogram Signals" AI 6, no. 3: 42. https://doi.org/10.3390/ai6030042
APA StyleAbooelzahab, D., Zaher, N., Soliman, A. H., & Chibelushi, C. (2025). A Combined Windowing and Deep Learning Model for the Classification of Brain Disorders Based on Electroencephalogram Signals. AI, 6(3), 42. https://doi.org/10.3390/ai6030042

