Healing Rates and Dressing Frequency of Silver Foam Dressings in Paediatric Burns: A Systemic Review and Meta-Analysis
Abstract
1. Introduction
2. Materials and Methods
3. Results
3.1. Study Selection
3.2. Risk of Bias and Quality Assessment
3.3. Clinical Characteristics
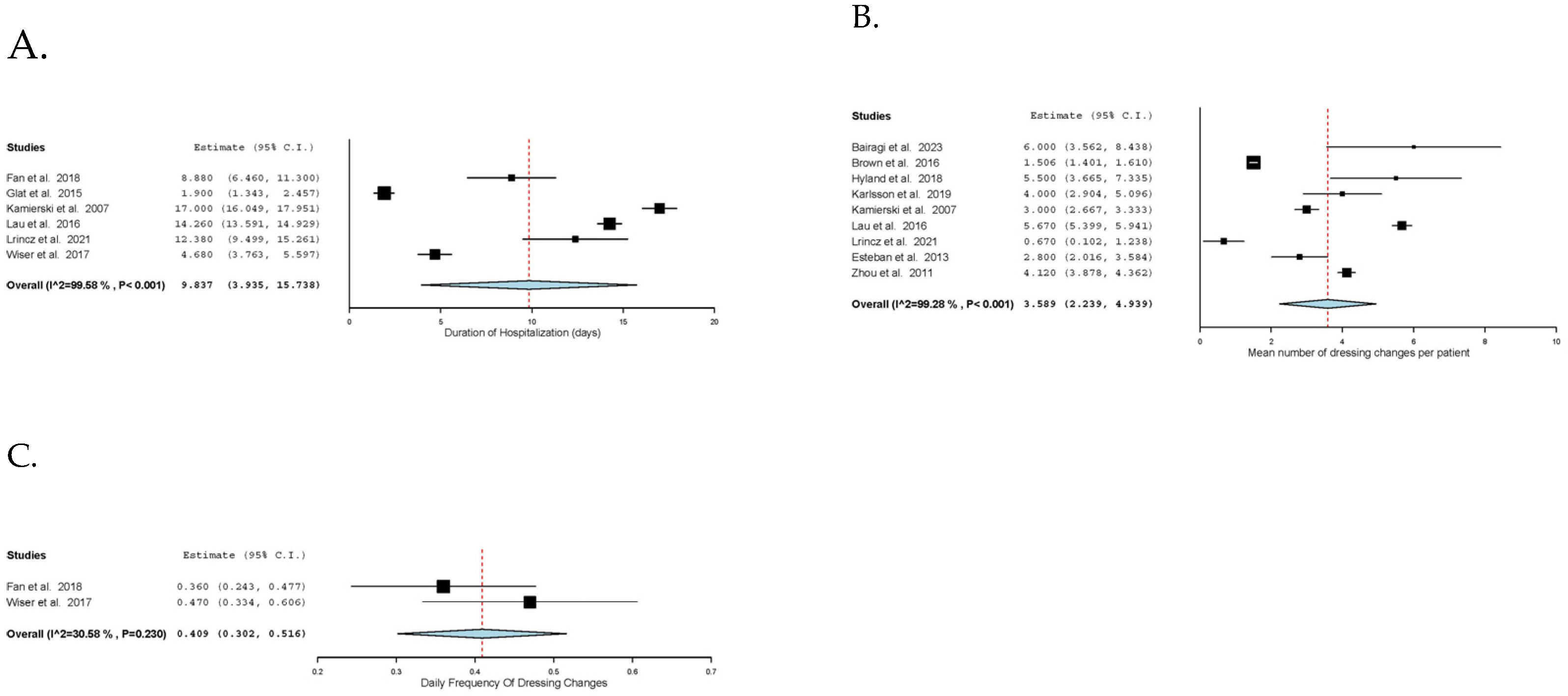
3.4. Peri-Interventional Outcomes
3.5. Complications
4. Discussion
5. Conclusions
Author Contributions
Funding
Institutional Review Board Statement
Informed Consent Statement
Data Availability Statement
Acknowledgments
Conflicts of Interest
Appendix A. Search Strategy
| # | Query | Limiters/Expanders | Last Run Via | Results |
| S15 | S5 AND S9 AND S14 | Expanders—Apply equivalent subjects Search modes—Boolean/Phrase | Interface—EBSCOhost Research Databases Search Screen—Advanced Search Database—CINAHL Complete | 72 |
| S14 | S10 OR S11 OR S12 OR S13 | Expanders—Apply equivalent subjects Search modes—Boolean/Phrase | Interface—EBSCOhost Research Databases Search Screen—Advanced Search Database—CINAHL Complete | 1,602,907 |
| S13 | infan* OR newborn* OR ’new born*’’ OR perinat* OR neonat* OR baby OR baby* OR babies OR toddler* OR ’minor’ OR minors* OR ’boy’ OR ’boys’ OR boyfriend OR boyhood OR girl* OR kid OR kids OR child OR child* OR children* OR schoolchild* OR schoolchild OR adolescen* OR juvenil* OR youth* OR teen* OR underage* OR ’under age’ OR ’u’nder aged’ OR pubescen* OR pediatrics OR pediatric* OR paediatric* OR peadiatric* OR prematur* OR preterm* | Expanders—Apply equivalent subjects Search modes—Boolean/Phrase | Interface—EBSCOhost Research Databases Search Screen—Advanced Search Database—CINAHL Complete | 1,602,907 |
| S12 | (MM ““Pediatrics+””) | Expanders—Apply equivalent subjects Search modes—Boolean/Phrase | Interface—EBSCOhost Research Databases Search Screen—Advanced Search Database—CINAHL Complete | 11,582 |
| S11 | (MM ““Infant+””) | Expanders—Apply equivalent subjects Search modes—Boolean/Phrase | Interface—EBSCOhost Research Databases Search Screen—Advanced Search Database—CINAHL Complete | 24,769 |
| S10 | (MM ““Child+””) | Expanders—Apply equivalent subjects Search modes—Boolean/Phrase | Interface—EBSCOhost Research Databases Search Screen—Advanced Search Database—CINAHL Complete | 43,831 |
| S9 | S6 OR S7 OR S8 | Expanders—Apply equivalent subjects Search modes—Boolean/Phrase | Interface—EBSCOhost Research Databases Search Screen—Advanced Search Database—CINAHL Complete | 70,480 |
| S8 | scald* | Expanders—Apply equivalent subjects Search modes—Boolean/Phrase | Interface—EBSCOhost Research Databases Search Screen—Advanced Search Database—CINAHL Complete | 1309 |
| S7 | burn* | Expanders—Apply equivalent subjects Search modes—Boolean/Phrase | Interface—EBSCOhost Research Databases Search Screen—Advanced Search Database—CINAHL Complete | 69,991 |
| S6 | (MM ““Burns+””) | Expanders—Apply equivalent subjects Search modes—Boolean/Phrase | Interface—EBSCOhost Research Databases Search Screen—Advanced Search Database—CINAHL Complete | 17,224 |
| S5 | S1 OR S2 OR S3 OR S4 | Expanders—Apply equivalent subjects Search modes—Boolean/Phrase | Interface—EBSCOhost Research Databases Search Screen—Advanced Search Database—CINAHL Complete | 941 |
| S4 | silver N3 dressing* | Expanders—Apply equivalent subjects Search modes—Boolean/Phrase | Interface—EBSCOhost Research Databases Search Screen—Advanced Search Database—CINAHL Complete | 929 |
| S3 | mepitel ag | Expanders—Apply equivalent subjects Search modes—Boolean/Phrase | Interface—EBSCOhost Research Databases Search Screen—Advanced Search Database—CINAHL Complete | 3 |
| S2 | mepilex ag | Expanders—Apply equivalent subjects Search modes—Boolean/Phrase | Interface—EBSCOhost Research Databases Search Screen—Advanced Search Database—CINAHL Complete | 28 |
| S1 | silver foam dressing | Expanders—Apply equivalent subjects Search modes—Boolean/Phrase | Interface—EBSCOhost Research Databases Search Screen—Advanced Search Database—CINAHL Complete | 94 |
Appendix B. PRISMA 2020 Flow Diagram for New Systematic Reviews Which Included Searches of Databases, Registers, and Other Sources

Appendix C. Risk of Bias-2 (RoB-2) Traffic Light Plot for Included Randomized Controlled Trials

Appendix D. ROBINS-I Traffic Light Plot for Non-Randomized Controlled Trials

References
- Shields, B.J.; Comstock, R.D.; Fernandez, S.A.; Xiang, H.; Smith, G.A. Healthcare resource utilization and epidemiology of pediatric burn-associated hospitalizations, United States, 2000. J. Burn Care Res. 2007, 28, 811–826. [Google Scholar] [CrossRef] [PubMed]
- Rayner, R.; Prentice, J. Paediatric burns: A brief global review. Wound Pract. Res. 2011, 19, 39–46. [Google Scholar]
- Dissanaike, S.; Rahimi, M. Epidemiology of burn injuries: Highlighting cultural and socio-demographic aspects. Int. Rev. Psychiatry 2009, 21, 505–511. [Google Scholar] [CrossRef] [PubMed]
- Agran, P.F.; Anderson, C.; Winn, D.; Trent, R.; Walton-Haynes, L.; Thayer, S. Rates of pediatric injuries by 3-month intervals for children 0 to 3 years of age. Pediatrics 2003, 111 Pt 1, e683–e692. [Google Scholar] [CrossRef] [PubMed]
- Forjuoh, S.N. Burns in low- and middle-income countries: A review of available literature on descriptive epidemiology, risk factors, treatment, and prevention. Burns 2006, 32, 529–537. [Google Scholar] [CrossRef]
- Moritz, A.R.; Henriques, F.C. Studies of Thermal Injury: II. The Relative Importance of Time and Surface Temperature in the Causation of Cutaneous Burns. Am. J. Pathol. 1947, 23, 695–720. [Google Scholar] [PubMed]
- Cagle, K.M.; Davis, J.W.; Dominic, W.; Ebright, S.; Gonzales, W. Developing a focused scald-prevention program. J. Burn. Care Res. 2006, 27, 325–329. [Google Scholar] [CrossRef] [PubMed]
- Warriner, R.; Burrell, R. Infection and the chronic wound: A focus on silver. Adv. Ski. Wound Care 2005, 18, 2–12. [Google Scholar] [CrossRef] [PubMed]
- Murphy, P.S.; Evans, G.R. Advances in wound healing: A review of current wound healing products. Plast. Surg. Int. 2012, 2012, 190436. [Google Scholar] [CrossRef] [PubMed]
- Khansa, I.; Schoenbrunner, A.R.; Kraft, C.T.; Janis, J.E. Silver in wound care—Friend or foe?: A comprehensive review. Plast. Reconstr. Surg. Glob. Open 2019, 7, e2390. [Google Scholar] [CrossRef]
- Lansdown, A.B.G. A Pharmacological and Toxicological Profile of Silver as an Antimicrobial Agent in Medical Devices. Adv. Pharmacol. Sci. 2010, 2010, 910686. [Google Scholar] [CrossRef] [PubMed]
- Burd, A.; Kwok, C.H.; Hung, S.C.; Chan, H.S.; Gu, H.; Lam, W.K.; Huang, L. A comparative study of the cytotoxicity of silver-based dressings in monolayer cell, tissue explant, and animal models. Wound Repair Regen. 2007, 15, 94–104. [Google Scholar] [CrossRef] [PubMed]
- Lam, P.K.; Chan, E.S.Y.; Ho, W.S.; Liew, C.T. In vitro cytotoxicity testing of a nanocrystalline silver dressing (Acticoat) on cultured keratinocytes. Br. J. Biomed. Sci. 2004, 61, 125–127. [Google Scholar] [CrossRef]
- Fraser, J.F.; Cuttle, L.; Kempf, M.; Kimble, R.M. Cytotoxicity of topical antimicrobial agents used in burn wounds in Australasia. ANZ J. Surg. 2004, 74, 139–142. [Google Scholar] [CrossRef]
- May, A.; Kopecki, Z.; Carney, B.; Cowin, A. Antimicrobial silver dressings: A review of emerging issues for modern wound care. ANZ J. Surg. 2022, 92, 379–384. [Google Scholar] [CrossRef]
- Lau, C.; Wong, K.; Tam, P. Silver containing hydrofiber dressing promotes wound healing in paediatric patients with partial thickness burns. Pediatr. Surg. Int. 2016, 32, 577–581. [Google Scholar] [CrossRef] [PubMed]
- Wright, J.B.; Lam, K.; Buret, A.G.; Olson, M.E.; Burrell, R.E. Early healing events in a porcine model of contaminated wounds: Effects of nanocrystalline silver on matrix metalloproteinases, cell apoptosis, and healing. Wound Repair. Regen. 2002, 10, 141–151. [Google Scholar] [CrossRef] [PubMed]
- Wilkinson, L.J.; White, R.J.; Chipman, J.K. Silver and nanoparticles of silver in wound dressings: A review of efficacy and safety. J. Wound Care 2011, 20, 543–549. [Google Scholar] [CrossRef]
- Lansdown, A.B.; Williams, A. How safe is silver in wound care? J. Wound Care 2004, 13, 131–136. [Google Scholar] [CrossRef] [PubMed]
- Walker, M.; Bowler, P.G.; Cochrane, C.A. In vitro studies to show sequestration of matrix metalloproteinases by silver-containing wound care products. Ostomy Wound Manag. 2007, 53, 18–25. [Google Scholar]
- Ubbink, D.T.; Vermeulen, H.; Storm-Versloot, M. Topical silver for preventing infected wounds. Cochrane Database Syst. Rev. 2007, 2007, CD006478. [Google Scholar]
- Zhao, M.; Zhang, D.; Tan, L.; Huang, H. Silver dressings for the healing of venous leg ulcer: A meta-analysis and systematic review. Medicine 2020, 99, e22164. [Google Scholar] [CrossRef] [PubMed]
- Politano, A.D.; Campbell, K.T.; Rosenberger, L.H.; Sawyer, R.G. Use of silver in the prevention and treatment of infections: Silver review. Surg. Infect. 2013, 14, 8–20. [Google Scholar] [CrossRef] [PubMed]
- Boateng, J.; Catanzano, O. Advanced therapeutic dressings for effective wound healing—A review. J. Pharm. Sci. 2015, 104, 3653–3680. [Google Scholar] [CrossRef] [PubMed]
- Munteanu, A.; Florescu, I.; Nitescu, C. A modern method of treatment: The role of silver dressings in promoting healing and preventing pathological scarring in patients with burn wounds. J. Med. Life 2016, 9, 306. [Google Scholar] [PubMed]
- Moher, D.; Liberati, A.; Tetzlaff, J.; Altman, D.G. Preferred reporting items for systematic reviews and meta-analyses: The PRISMA statement. PLoS Med. 2009, 6, e1000097. [Google Scholar] [CrossRef]
- Higgins, J.P.T.; Thomas, J.; Chandler, J.; Cumpston, M.; Li, T.; Page, M.J.; Welch, V.A. Cochrane Handbook for Systematic Reviews of Interventions, Version 6.4; updated August 2023; 2023. Available online: www.training.cochrane.org/handbook (accessed on 26 October 2024).
- Hardin, A.P.; Hackell, J.M. Age Limit of Pediatrics. Pediatrics 2017, 140, e20172151. [Google Scholar] [CrossRef]
- Bairagi, A.; Tyack, Z.; Kimble, R.; Vagenas, D.; McPhail, S.M.; Griffin, B. A Pilot Randomised Controlled Trial Evaluating a Regenerative Epithelial Suspension for Medium-Size Partial-Thickness Burns in Children: The BRACS Trial. Eur. Burn. J. 2023, 4, 121–141. [Google Scholar] [CrossRef] [PubMed]
- Jester, I.; Bohn, I.; Hannmann, T.; Waag, K.-L.; Loff, S. Comparison of two silver dressings for wound management in pediatric burns. Wounds A Compend. Clin. Res. Pract. 2008, 20, 303–308. [Google Scholar]
- Lohana, P.; Potokar, T. Aquacel ag® in paediatric burns-a prospective audit. Ann. Burn. Fire Disasters 2006, 19, 144. [Google Scholar]
- Fan, C.; Pek, C.H.; Por, Y.C.; Lim, G.J.S. Biobrane dressing for paediatric burns in Singapore: A retrospective review. Singap. Med. J. 2018, 59, 360. [Google Scholar] [CrossRef] [PubMed]
- Glat, P.; Zhang, S.; Burkey, B.; Davis, W. Clinical evaluation of a silver-impregnated foam dressing in paediatric partial-thickness burns. J. Wound Care 2015, 24, S4–S10. [Google Scholar] [CrossRef] [PubMed]
- Karlsson, M.; Elmasry, M.; Steinvall, I.; Sjöberg, F.; Olofsson, P.; Thorfinn, J. Superiority of silver-foam over porcine xenograft dressings for treatment of scalds in children: A prospective randomised controlled trial. Burns 2019, 45, 1401–1409. [Google Scholar] [CrossRef]
- Kaźmierski, M.; Mańkowski, P.; Jankowski, A.; Harasymczuk, J. Comparison of the results of operative and conservative treatment of deep dermal partial-thickness scalds in children. Eur. J. Pediatr. Surg. 2007, 17, 354–361. [Google Scholar] [CrossRef] [PubMed][Green Version]
- Lőrincz, A.; Lamberti, A.G.; Juhász, Z.; Garami, A.; Józsa, G. Pediatric deep burn management after split-thickness autologous skin transplantation: A comparative study. Medicine 2021, 100, e27633. [Google Scholar] [CrossRef] [PubMed]
- Zhou, P.-Y. Clinical application of Aquacel-Ag dressing in treatment of pediatric superficial I burn wounds. Acad. J. Second Mil. Med. Univ. 2011, 32, 1321–1323. [Google Scholar]
- Choi, Y.M.; Campbell, K.; Levek, C.; Recicar, J.; Moulton, S. Antibiotic ointment versus a silver-based dressing for children with extremity burns: A randomized controlled study. J. Pediatr. Surg. 2019, 54, 1391–1396. [Google Scholar] [CrossRef]
- DerSimonian, R.; Laird, N. Meta-analysis in clinical trials. Control Clin. Trials 1986, 7, 177–188. [Google Scholar] [CrossRef] [PubMed]
- Sterne, J.A.; Egger, M. Funnel plots for detecting bias in meta-analysis: Guidelines on choice of axis. J. Clin. Epidemiol. 2001, 54, 1046–1055. [Google Scholar] [CrossRef]
- Brown, M.R.; Dalziel, S.R.; Herd, E.; Johnson, K.; Wong She, R.; Shepherd, M. A randomized controlled study of silver-based burns dressing in a pediatric emergency department. J. Burn Care Res. 2016, 37, e340–e347. [Google Scholar] [CrossRef] [PubMed]
- Hyland, E.J.; D’Cruz, R.; Menon, S.; Harvey, J.G.; La Hei, E.; Lawrence, T.; Waddell, K.; Nash, M.; Holland, A.J. Biobrane™ versus acticoat™ for the treatment of mid-dermal pediatric burns: A prospective randomized controlled pilot study. Int. J. Burn. Trauma 2018, 8, 63. [Google Scholar]
- Borsuk, D.E.; Gallant, M.; Richard, D.; Williams, H.B. Silver-coated nylon dressings for pediatric burn victims. Can. J. Plast. Surg. 2007, 15, 29–31. [Google Scholar] [CrossRef]
- Budkevich, L.; Mirzoyan, G.; Gabitov, R.; Brazol, M.; Salistyj, P.; Chikinev, Y.; Shmyrin, A.; Glutkin, A. Collost bioplastic collagen material for the treatment of burns. Сoвременные технoлoгии в медицине 2020, 12, 92–96. [Google Scholar] [CrossRef]
- Esteban, R.; Fernández, L.C.; Beltrán, O.G.; Cruz, V.V.; Betancor, C.; Cendón, R.G.; Pérez, J. Nuestra experiencia en el manejo de quemaduras con apósito antimicrobiano de plata, carbón activo y tecnología Safetac. Acta Pediátrica Española 2013, 71, 165–171. [Google Scholar]
- Wiser, I.; Schein, O.; Rubin, J.D.; Sagie, R.A.; Reshef, I.; Lotan, A.; Shalom, A. The Effect of silver-coated dressing on pain management and hospitalization duration in pediatric partial-thickness burns: A retrospective, matched cohort study. Wounds-A Compend. Clin. Res. Pract. 2017, 29, 147–153. [Google Scholar]
- Selvarajah, D.; Bollu, B.K.; Harvey, J.; Jacques, M.; Jehangir, S.; Fuller, E.S.; La Hei, E.; Bertinetti, M.; Lawrence, T.; Holland, A.J. Acticoat versus biobrane: A retrospective review on the treatment of paediatric mid-dermal torso burns. Int. J. Burn. Trauma 2019, 9, 82. [Google Scholar]
- Garcia Garcia, J.A.; Gonzalez Chavez, A.M.; Orozco Grados, J.J. Topical Antimicrobial Agents for the Prevention of Burn-Wound Infection. What Do International Guidelines Recommend? A Systematic Review. World J. Plast. Surg. 2022, 11, 3–12. [Google Scholar] [CrossRef] [PubMed]
- Fong, J.; Wood, F. Nanocrystalline silver dressings in wound management: A review. Int. J. Nanomed. 2006, 1, 441–449. [Google Scholar] [CrossRef] [PubMed]
- Lőrincz, A.; Váradi, A.; Hegyi, P.; Rumbus, Z.; Tuba, M.; Lamberti, A.G.; Varjú-Solymár, M.; Párniczky, A.; Erőss, B.; Garami, A.; et al. Paediatric Partial-Thickness Burn Therapy: A Meta-Analysis and Systematic Review of Randomised Controlled Trials. Life 2022, 12, 619. [Google Scholar] [CrossRef] [PubMed]
- Chaganti, P.; Gordon, I.; Chao, J.H.; Zehtabchi, S. A systematic review of foam dressings for partial thickness burns. Am. J. Emerg. Med. 2019, 37, 1184–1190. [Google Scholar] [CrossRef] [PubMed]
- Wasiak, J.; Cleland, H.; Campbell, F.; Spinks, A. Dressings for superficial and partial thickness burns. Cochrane Database Syst. Rev. 2013, 2013, CD002106. [Google Scholar] [CrossRef] [PubMed]
- Tang, H.; Lv, G.; Fu, J.; Niu, X.; Li, Y.; Zhang, M.; Zhang, G.; Hu, D.; Chen, X.; Lei, J.; et al. An open, parallel, randomized, comparative, multicenter investigation evaluating the efficacy and tolerability of Mepilex Ag versus silver sulfadiazine in the treatment of deep partial-thickness burn injuries. J. Trauma. Acute Care Surg. 2015, 78, 1000–1007. [Google Scholar] [CrossRef] [PubMed]
- Denyer, J.; Pillay, E.; Clapham, J. Best Practice Guidelines for Skin and Wound Care in Epidermolysis Bullosa; International Consensus; Wounds Internationa: London, UK, 2017. [Google Scholar]
- Dai, T.; Huang, Y.Y.; Sharma, S.K.; Hashmi, J.T.; Kurup, D.B.; Hamblin, M.R. Topical antimicrobials for burn wound infections. Recent. Pat. Antiinfect. Drug Discov. 2010, 5, 124–151. [Google Scholar] [CrossRef]
- White, R.J.; Fumarola, S.; Denyer, J. Interim advice on silver dressings in paediatric wound and skin care. Br. J. Nurs. (Mark Allen Publ.) 2011, 20, S11. [Google Scholar] [CrossRef] [PubMed]
- NICE. Chronic Wounds: Advanced Wound Dressings and Antimicrobial Dressings; Evidence summary [ESMPB2]; NICE: London, UK, 2016. [Google Scholar]
- Moreira, S.S.; Camargo, M.C.; Caetano, R.; Alves, M.R.; Itria, A.; Pereira, T.V.; Lopes, L.C. Efficacy and costs of nanocrystalline silver dressings versus 1% silver sulfadiazine dressings to treat burns in adults in the outpatient setting: A randomized clinical trial. Burns 2022, 48, 568–576. [Google Scholar] [CrossRef] [PubMed]
- Meyer, W.J.; Jeevendra Martyn, J.A.; Wiechman, S.; Thomas, C.R.; Woodson, L. 64—Management of Pain and Other Discomforts in Burned Patients. In Total Burn Care, 5th ed.; Herndon, D.N., Ed.; Elsevier: Amsterdam, The Netherlands, 2018; pp. 679–699.e6. [Google Scholar]
- Gandhi, M.; Thomson, C.; Lord, D.; Enoch, S. Management of pain in children with burns. Int. J. Pediatr. 2010, 2010, 825657. [Google Scholar] [CrossRef]
- Fairbrother, H.; Long, M.; Haines, E. Optimizing emergency management to reduce morbidity and mortality in pediatric burn patients. Pediatr. Emerg. Med. Pract. 2015, 12, 1–23. [Google Scholar]
- Gravante, G.; Caruso, R.; Sorge, R.; Nicoli, F.; Gentile, P.; Cervelli, V. Nanocrystalline silver: A systematic review of randomized trials conducted on burned patients and an evidence-based assessment of potential advantages over older silver formulations. Ann. Plast. Surg. 2009, 63, 201–205. [Google Scholar] [CrossRef] [PubMed]



| Study | Publication Year | Study Type | Country | Total Number of Participants (n) | Gender (Male/ Female) | Age, Mean ± SD (Years) |
|---|---|---|---|---|---|---|
| Bairagi et al. [29] | 2023 | RCT | Australia | 8 | 4/4 | 1.5 ± 1.30 |
| Borusk et al. [43] | 2007 | Prospective Cohort | Canada | 15 | 7/8 | 5.5 ± NR |
| Brown et al. [41] | 2015 | RCT | NZ | 89 | 49/40 | 3.6573 ± 3.80 |
| Budkevich et al. [44] | 2020 | Prospective Cohort | Russia | 94 | 60/34 | 2.7479 ± 3.22 |
| Choi et al. [38] | 2018 | RCT | USA | 49 | 34/15 | 1.58 ± 1.42 |
| Fan et al. [32] | 2018 | Retrospective Study | Singapore | 17 | 11/6 | 3.13 ± 3.14 |
| Glat et al. [33] | 2015 | Retrospective Study | USA | 103 | NR/NR | 4.4183 ± 4.13 |
| Hyland et al. [42] | 2018 | RCT | Australia | 10 | 8/2 | 1.5 ± NR |
| Jester et al. [30] | 2008 | Retrospective Study | UK | 40 | NR/NR | 1.5 ± 3.51 |
| Karlsson et al. [34] | 2019 | RCT | Sweden | 28 | 16/12 | 1.427 ± 1.08 |
| Kaźmierski et al. [35] | 2007 | Prospective Cohort | Poland | 17 | NR/NR | NR ± NR |
| Lau et al. [16] | 2016 | Retrospective Study | Hong Kong | 31 | 17/14 | 2.38 ± 0.31 |
| Lohana and Potokar [31] | 2006 | Prospective Cohort | UK | 22 | 13/9 | 2.7 ± 1.88 |
| Lőrincz et al. [36] | 2021 | Prospective Cohort | Hungary | 9 | 6/3 | 4.88 ± 4.38 |
| Paredes Esteban et al. [45] | 2013 | Prospective Cohort | Spain | 25 | 18/7 | 4.2 ± 2.54 |
| Selvarajah et al. [47] | 2019 | Retrospective Study | Australia | 64 | 34/30 | 3.4 ± NR |
| Wiser et al. [46] | 2017 | Retrospective Study | Israel | 40 | 24/16 | 2.9 ± 3.5 |
| Zhou et al. [37] | 2011 | RCT | China | 40 | 22/18 | 4.5 ± 2.20 |
| Study | Publication Year | Burn Cause | Burn Depth | Burn Location | TBSA Mean ± SD |
|---|---|---|---|---|---|
| Bairagi et al. [29] | 2023 | Scalds (n = 7) Contact (n = 1) Flame (n = 0) | Superficial burns (n = 2) Superficial PTB (n = 8) Deep PTB (n = 5) | Face &/Neck (n = 8) Arm, forearm, wrist (n = 5) Hand (n = 3) Thigh, Leg (n = 5) Foot (n = 8) Trunk (n = 8) | 11.50 ± 6.48 |
| Borusk et al. [43] | 2007 | Scalds (n = 12) Contact (n = 1) Flame (n = 2) | Superficial PTB (n = 11) Deep PTB (n = 4) | NR | 8.00 ± NR |
| Brown et al. [41] | 2015 | Scalds (n = 83) Contact (n = 6) | Superficial PTB (n = 89) | Face &/Neck (n = 2) Arm, forearm, wrist (n = 13) Thigh, Leg (n = 22) Trunk (n = 23) Mixed (n = 29) | 2.45 ± 1.54 |
| Budkevich et al. [44] | 2020 | Scalds (n = 93) | NR | Face &/Neck (n = 2) Arm, forearm, wrist (n = 20) Thigh, Leg (n = 11) Foot (n = 14) Mixed (n = 47) | 43.11 ± 36.65 |
| Choi et al. [38] | 2018 | Scalds (n = 5) Contact (n = 37) Flame (n = 4) Electrical (n = 0) Friction (n = 3) | Superficial PTB (n = 37) Deep PTB (n = 20) Full thickness burn (n = 3) | Arm, forearm, wrist (n = 2) Hand (n = 53) Thigh, Leg (n = 0) Foot (n = 5) | NR ± NR |
| Fan et al. [32] | 2018 | Scalds (n = 17) Flame (n = 0) | Superficial PTB (n = 17) | NR | 11.68 ± 4.67 |
| Glat et al. [33] | 2015 | Scalds (n = 95) Contact (n = 2) Flame (n = 4) Other (n = 2) | Superficial PTB (n = 103) | NR | 3.26 ± 2.71 |
| Hyland et al. [42] | 2018 | Scalds (n = 10) | NR | NR | 8.50 ± NR |
| Jester et al. [30] | 2008 | NR | NR | NR | 5.50 ± 5.57 |
| Karlsson et al. [34] | 2019 | Scalds (n = 28) | NR | Face &/Neck (n = 0) Arm, forearm, wrist (n = 16) Thigh, Leg (n = 5) Trunk (n = 25) | 5.00 ± 2.96 |
| Kaźmierski et al. [35] | 2007 | Scalds (n = 17) | Superficial PTB (n = 17) | NR | NR ± NR |
| Lau et al. [16] | 2016 | Scalds (n = 30) Contact (n = 0) Flame (n = 1) | NR | NR | 5.65 ± 0.58 |
| Lohana and Potokar [31] | 2006 | Scalds (n = 15) Contact (n = 1) Flame (n = 2) Radiation (n = 1) Other (n = 3) | Superficial PTB (n = 17) Deep PTB (n = 5) | NR | 4.00 ± 2.00 |
| Lőrincz et al. [36] | 2021 | Scalds (n = 4) Contact (n = 2) Flame (n = 3) | Superficial PTB (n = 9) | Foot (n = 2) Mixed (n = 2) | 5.27 ± 2.64 |
| Paredes Esteban et al. [45] | 2013 | Scalds (n = 12) | Superficial PTB (n = 10) Deep PTB (n = 12) Full thickness burn (n = 3) | NR | NR ± NR |
| Selvarajah et al. [47] | 2019 | NR | Superficial PTB (n = 64) | Trunk (n = 64) | NR ± NR |
| Wiser et al. [46] | 2017 | Scalds (n = 38) Contact (n = 1) Flame (n = 1) | NR | Face &/Neck (n = 9) Arm, forearm, wrist (n = 14) Hand (n = 7) Thigh, Leg (n = 12) Foot (n = 4) Trunk (n = 22) Genitalia/perineum/buttock (n = 1) | 4.90 ± 3.50 |
| Zhou et al. [37] | 2011 | NR | Superficial burn (n = 0) Superficial PTB (n = 40) Full thickness burn (n = 0) | NR | 3.85 ± 1.27 |
Disclaimer/Publisher’s Note: The statements, opinions and data contained in all publications are solely those of the individual author(s) and contributor(s) and not of MDPI and/or the editor(s). MDPI and/or the editor(s) disclaim responsibility for any injury to people or property resulting from any ideas, methods, instructions or products referred to in the content. |
© 2025 by the authors. Published by MDPI on behalf of the European Burns Association. Licensee MDPI, Basel, Switzerland. This article is an open access article distributed under the terms and conditions of the Creative Commons Attribution (CC BY) license (https://creativecommons.org/licenses/by/4.0/).
Share and Cite
Yap, N.Q.E.; Vankayalapati, D.K.; Lee, S.-Y.C.; Sulaiman, H.O.; Sato, A.; Shami, M.Z.; Antoniou, V.; Burns, J.W.F.; Nakanishi, H.; Than, C.A.; et al. Healing Rates and Dressing Frequency of Silver Foam Dressings in Paediatric Burns: A Systemic Review and Meta-Analysis. Eur. Burn J. 2025, 6, 3. https://doi.org/10.3390/ebj6010003
Yap NQE, Vankayalapati DK, Lee S-YC, Sulaiman HO, Sato A, Shami MZ, Antoniou V, Burns JWF, Nakanishi H, Than CA, et al. Healing Rates and Dressing Frequency of Silver Foam Dressings in Paediatric Burns: A Systemic Review and Meta-Analysis. European Burn Journal. 2025; 6(1):3. https://doi.org/10.3390/ebj6010003
Chicago/Turabian StyleYap, Nathanael Q. E., Dilip K. Vankayalapati, Sum-Yu C. Lee, Hafsa O. Sulaiman, Alma Sato, M Zaid Shami, Valeria Antoniou, James W. F. Burns, Hayato Nakanishi, Christian A. Than, and et al. 2025. "Healing Rates and Dressing Frequency of Silver Foam Dressings in Paediatric Burns: A Systemic Review and Meta-Analysis" European Burn Journal 6, no. 1: 3. https://doi.org/10.3390/ebj6010003
APA StyleYap, N. Q. E., Vankayalapati, D. K., Lee, S.-Y. C., Sulaiman, H. O., Sato, A., Shami, M. Z., Antoniou, V., Burns, J. W. F., Nakanishi, H., Than, C. A., & Southwick, G. (2025). Healing Rates and Dressing Frequency of Silver Foam Dressings in Paediatric Burns: A Systemic Review and Meta-Analysis. European Burn Journal, 6(1), 3. https://doi.org/10.3390/ebj6010003

