Personalized External Knee Prosthesis Design Using Instantaneous Center of Rotation for Improved Gait Emulation
Abstract
1. Introduction
2. Materials and Methods
2.1. Study Design
2.1.1. Preliminary Data Analysis
2.1.2. Mechanism Design: CAD Modeling and Computational Simulation
2.1.3. Three-Dimensional Modeling

2.1.4. Model 1

2.1.5. Model 2

2.1.6. Model 3

2.2. Participant
- Clinical evaluation:
- Bench alignment:
- Static alignment:
- Dynamic alignment:
- User education:
2.3. Functionality Tests
3. Results
Knee Joint Flexion During Gait
4. Discussion
5. Conclusions
Author Contributions
Funding
Institutional Review Board Statement
Informed Consent Statement
Data Availability Statement
Conflicts of Interest
Abbreviations
| ICR | Instantaneous Center of Rotation |
| CAD | Computer-Aided Design |
References
- Dadkhan, B.; Valizadeh, S.; Mohammadi, E.; Hasssankhani, H. Psychosocial adjustment to Lower-limb amputation. HealthMED 2013, 7, 502. [Google Scholar]
- Andriacchi, T.P.; Stanwyck, T.S.; Galante, J.O. Knee Biomechanics and Total Knee Replacement. J. Arthroplast. 1986, 1, 211–219. [Google Scholar] [CrossRef]
- Grodzka, K.; Sajewicz, E.; Dziemianowicz, M. Chapter 5 Kinematic Analysis of Instantaneous Centre of Rotation of Prosthetic Knee Mechanisms. 2023. Available online: https://www.researchgate.net/publication/366878422 (accessed on 3 September 2025).
- Barbu, D.M. A total knee prosthesis CAD design. In Proceedings of the 2017 E-Health and Bioengineering Conference (EHB 2017), Sinaia, Romania, 22–24 June 2017; pp. 511–514. [Google Scholar]
- Sánchez, J.; Hernández, R.J.; Torres, J.E. The mechanical design of a transfemoral prosthesis using computational tools and design methodology. Ing. E Investig. 2012, 32, 14–18. [Google Scholar] [CrossRef]
- Andrysek, J.; Michelini, A.; Eshraghi, A.; Kheng, S.; Heang, T.; Thor, P. Gait Performance of Friction-Based Prosthetic Knee Joint Swing-Phase Controllers in Under-Resourced Settings. Prosthesis 2022, 4, 125–135. [Google Scholar] [CrossRef]
- Murabayashi, M.; Mitani, T.; Inoue, K. Development and Evaluation of a Passive Mechanism for a Transfemoral Prosthetic Knee That Prevents Falls during Running Stance. Prosthesis 2022, 4, 172–183. [Google Scholar] [CrossRef]
- Li, Z.; Han, Y.; Liu, C.; Xiu, H.; Wei, G.; Ren, L. Design, Manufacture, and Experimental Validation of a Hydraulic Semi-Active Knee Prosthesis. IEEE Trans. Neural Syst. Rehabil. Eng. 2023, 31, 1394–1404. [Google Scholar] [CrossRef]
- Minnoye, A.L.M.; Plettenburg, D.H. Design, fabrication, and preliminary results of a novel below knee prosthesis for snowboarding: A case report. Procedia Eng. 2010, 2, 3133–3141. [Google Scholar] [CrossRef][Green Version]
- Zhang, Y.; Cao, W.; Yu, H.; Meng, Q.; Lv, J. A four-bar knee joint measurement walking system for prosthesis design. Technol. Health Care 2021, 29, 823–828. [Google Scholar] [CrossRef]
- Zhang, Y.; Wang, E.; Wang, M.; Liu, S.; Ge, W. biomimetics Design and Experimental Research of Knee Joint Prosthesis Based on Gait Acquisition Technology. Biomimetics 2021, 6, 28. [Google Scholar] [CrossRef]
- Salas Velázquez, P.A.; Vergara, M.; Provenzano, S. Prótesis de rodilla: Fundamentos teóricos y técnicas computacionales para su diseño Knee Prosthesis: Theoretical foundations and computational techniques applied to its design. Cienc. E Ing. 2021, 42. [Google Scholar]
- Hagberg, K.; Brånemark, R. Consequences of non-vascular trans-femoral amputation: A survey of quality of life, prosthetic use and problems. Prosthet. Orthot. Int. 2001, 25, 186–194. [Google Scholar] [CrossRef]
- Alluhydan, K.; Siddiqui, M.I.H.; Elkanani, H. Functionality and Comfort Design of Lower-Limb Prosthetics: A Review. J. Disabil. Res. 2023, 2, 10–23. [Google Scholar] [CrossRef]
- Qadir, M.U.; Asad, M.; Raza, S.M.; Masood, H.; Rabbani, M.S. Design, analysis, and development of low-cost state variable damping polycentric transfemoral prosthesis. Sensors 2024, 24, 255. [Google Scholar] [CrossRef]
- Nguyen, T.T.; Wang, B.; Alas, H.; Jones, Q.; Clark, C.; Lazar, S.; Malik, S.; Graham, J.; Talaat, Y.; Shin, C.; et al. Prosthesis Embodiment in Lower Extremity Limb Loss: A Narrative Review. Appl. Sci. 2025, 15, 4952. [Google Scholar] [CrossRef]
- Gasparutto, X.; Bonnefoy-Mazure, A.; Attias, M.; Turcot, K.; Armand, S.; Miozzari, H.H. Comprehensive analysis of total knee arthroplasty kinematics and functional recovery: Exploring full-body gait deviations in patients with knee osteoarthritis. PLoS ONE 2024, 19, e0314991. [Google Scholar] [CrossRef]
- Claessens, T. Finding the location of the instantaneous center of rotation using a particle image velocimetry algorithm. Am. J. Phys. 2017, 85, 185–192. [Google Scholar] [CrossRef]
- Koo, S.; Andriacchi, T.P. The knee joint center of rotation is predominantly on the lateral side during normal walking. J. Biomech. 2008, 41, 1269–1273. [Google Scholar] [CrossRef]
- Ahrendt, D.; Romero Karam, A. Development of a computer-aided engineering–supported process for the manufacturing of customized orthopaedic devices by three-dimensional printing onto textile surfaces. J. Eng. Fibers Fabr. 2020, 15, 1–11. [Google Scholar] [CrossRef]
- Alkhatib, F.; Cabibihan, J.J.; Mahdi, E. Data for benchmarking low-cost, 3D printed prosthetic hands. Data Brief 2019, 25, 104163. [Google Scholar] [CrossRef]
- Vera, P.; David, C. Programa Computacional Para El Diseño Del Mecanismo de la Articulación de Rodilla. Bachelor’s Thesis, Universidad Tecnica del Norte, Ibarra, Ecuador, 2024. Available online: https://repositorio.utn.edu.ec/handle/123456789/15458 (accessed on 3 September 2025).
- Mobbs, L.; Fernando, V.; Fonseka, R.D.; Natarajan, P.; Maharaj, M.; Mobbs, R.J. Normative Database of Spatiotemporal Gait Metrics Across Age Groups: An Observational Case–Control Study. Sensors 2025, 25, 581. [Google Scholar] [CrossRef]
- Sayat, A.; Nursultan, Z.; Yerkebulan, N.; Aidos, S.; Arman, U.; Gani, S.; Kassymbek, O.; Asset, N. Review and Comparative Analysis of Modern Knee Prostheses with Development of a Conceptual Design. Eng. Proc. 2025, 104, 80. [Google Scholar] [CrossRef]
- Liang, W.; Qian, Z.; Chen, W.; Song, H.; Cao, Y.; Wei, G.; Ren, L.; Wang, K.; Ren, L. Mechanisms and component design of prosthetic knees: A review from a biomechanical function perspective. Front. Bioeng. Biotechnol. 2022, 10, 950110. [Google Scholar] [CrossRef] [PubMed]
- Drăgoi, M.V.; Hadăr, A.; Goga, N.; Baciu, F.; Ștefan, A.; Grigore, L.Ș.; Gorgoteanu, D.; Molder, C.; Oncioiu, I. Contributions to the Dynamic Regime Behavior of a Bionic Leg Prosthesis. Biomimetics 2023, 8, 414. [Google Scholar] [CrossRef] [PubMed]
- Shrestha, P.L.; Thapa, B.; Sujatha, S. Scaling Mechanical Knee Joints for Pediatric Transfemoral Prostheses: Does a Linear Geometric Factor Work? Prosthesis 2025, 7, 72. [Google Scholar] [CrossRef]
- Berettoni, A.; Driessen, J.J.M.; Puliti, M.; Barresi, G.; De Benedictis, C.; Ferraresi, C.; Laffranchi, M. Human-Centered Design Trade-Offs for Semi-Powered Knee Prostheses: A Review. IEEE Trans. Med. Robot. Bionics 2025, 7, 429–442. [Google Scholar] [CrossRef]
- Kooiman, V.G.M.; van Staveren, E.S.; Leijendekkers, R.A.; Buurke, J.H.; Verdonschot, N.; Prinsen, E.C.; Weerdesteyn, V. Testing and evaluation of lower limb prosthesis prototypes in people with a transfemoral amputation: A scoping review on research protocols. J. Neuroeng. Rehabil. 2023, 20, 1. [Google Scholar] [CrossRef] [PubMed]
- Hunt, G.R.; Gabert, L.; Hansen, C.; Foreman, K.B.; Lenzi, T. Open dataset of kinetics, kinematics, and electromyography of above-knee amputees during stand-up and sit-down. Sci. Data 2025, 12, 433. [Google Scholar] [CrossRef]
- De Marchis, C.; Ranaldi, S.; Varrecchia, T.; Serrao, M.; Castiglia, S.F.; Tatarelli, A.; Ranavolo, A.; Draicchio, F.; Lacquaniti, F.; Conforto, S. Characterizing the Gait of People with Different Types of Amputation and Prosthetic Components Through Multimodal Measurements: A Methodological Perspective. Front. Rehabil. Sci. 2022, 3, 804746. [Google Scholar] [CrossRef]
- Manz, S.; Seifert, D.; Altenburg, B.; Schmalz, T.; Dosen, S.; Gonzalez-Vargas, J. Using embedded prosthesis sensors for clinical gait analyses in people with lower limb amputation: A feasibility study. Clin. Biomech. 2023, 106, 105988. [Google Scholar] [CrossRef]
- Rasheed, F.; Martin, S.; Tse, K.M. Design, Kinematics and Gait Analysis, of Prosthetic Knee Joints: A Systematic Review. Bioengineering 2023, 10, 773. [Google Scholar] [CrossRef]
- Jiang, J.; Chen, P.; Peng, J.; Qiao, X.; Zhu, F.; Zhong, J. Design and Optimization of Lower Limb Rehabilitation Exoskeleton with a Multiaxial Knee Joint. Biomimetics 2023, 8, 156. [Google Scholar] [CrossRef] [PubMed]













| Figure | Description | Value (mm) |
|---|---|---|
![]() | Suggested position of the ICR origin relative to the anatomical center of the knee | 100 |
| Suggested position of the ICR origin relative to the anatomical axis of the leg | 6 |
| Criteria | Constraints |
|---|---|
| Range of motion | Adjust the link dimensions to match the trajectory of the target curve |
| Functional and aesthetic design | Consider quantitative parameters to achieve an aesthetically pleasing and functional design |
| Ensure voluntary control | Verify that the position of the ICR, along with the mechanism and the leg, remain within the stability zone |
| Comfort | Replicate the target ICR, Incorporate flexible materials to absorb impact during phase, reducing load and shock on the residual limb. Consider adding a spring mechanism to facilitate foot return at the end of the swing phase. |
| Hyperextension | Limit the range of motion to prevent potential injuries |
| Figure | Link | Length [mm] | Angles (Deg) |
|---|---|---|---|
![]() | A | 128 | 46.02 |
| B | 28 | 143.53 | |
| C | 79.50 | 121.94 | |
| D | 45 | 48.51 | |
| B and the leg axis | 25 | 33.2 |
| Figure | Link | Length [mm] | Angle (°) |
|---|---|---|---|
![]() | A | 61 | 102.64 |
| B | 16.50 | 89.12 | |
| C | 35.33 | 130.43 | |
| D | 38 | 37.81 | |
| B and the leg axis | 35.5 | 34 |
| β—Angle Leg Flexion (°) | ε—Angle Positioning the ICR (°) | α—Angle Ensuring Flexion (°) | Rp (α/ε) |
|---|---|---|---|
| 0.00 | 21.36 | 6.92 | 0.324 |
| 9.58 | 22.19 | 16.5 | 0.744 |
| 21.74 | 23.75 | 28.66 | 1.207 |
| 30.00 | 25.42 | 36.92 | 1.452 |
| 39.06 | 28.13 | 45.98 | 1.635 |
| 45.04 | 31.8 | 51.96 | 1.634 |
| 50.58 | 37.37 | 57.5 | 1.539 |
| 55.65 | 47.91 | 62.57 | 1.306 |
| 58.66 | 61.66 | 65.58 | 1.064 |
| 60.00 | 77.35 | 66.92 | 0.865 |
| β Angle—Leg Flexion [IDEAL] | α Angle—Ensuring Flexion [IDEAL] | α Angle—Ensuring Flexion [REAL] | β Angle—Leg Flexion [REAL] | Relative Error Between β [IDEAL] and β [REAL] |
|---|---|---|---|---|
| 9.58° | 16.5° | 15.35° | 9.08° | 0.084 |
| 21.74° | 28.66° | 26.65° | 19.90° | 0.102 |
| 30.00° | 36.92° | 34.34° | 26.95° | 0.114 |
| 39.06° | 45.98° | 42.76° | 34.59° | 0.114 |
| 45.04° | 51.96° | 48.32° | 39.89° | 0.108 |
| 50.58° | 57.5° | 53.48° | 45.14° | 0.091 |
| 55.65° | 62.57° | 58.19° | 50.57° | 0.074 |
| 58.66° | 65.58° | 60.99° | 54.29° | 0.061 |
| 60.00° | 66.92° | 62.24° | 56.37° | 0.084 |
| 9.58° | 16.5° | 15.35° | 9.08° | 0.084 |
| Figure | Link | Length [mm] | Angle (Deg) |
|---|---|---|---|
![]() | A | 61 | 102.64 |
| B | 16.50 | 89.12 | |
| C | 35.33 | 130.43 | |
| D | 38 | 37.81 | |
| E | 43.81 | 21.36 | |
| F | 28.5 | 173.08 | |
| G | 18.81 | 107.84 | |
| H | 18.80 | 74.44 | |
| B and reference line | 35.50 | 163.28 |
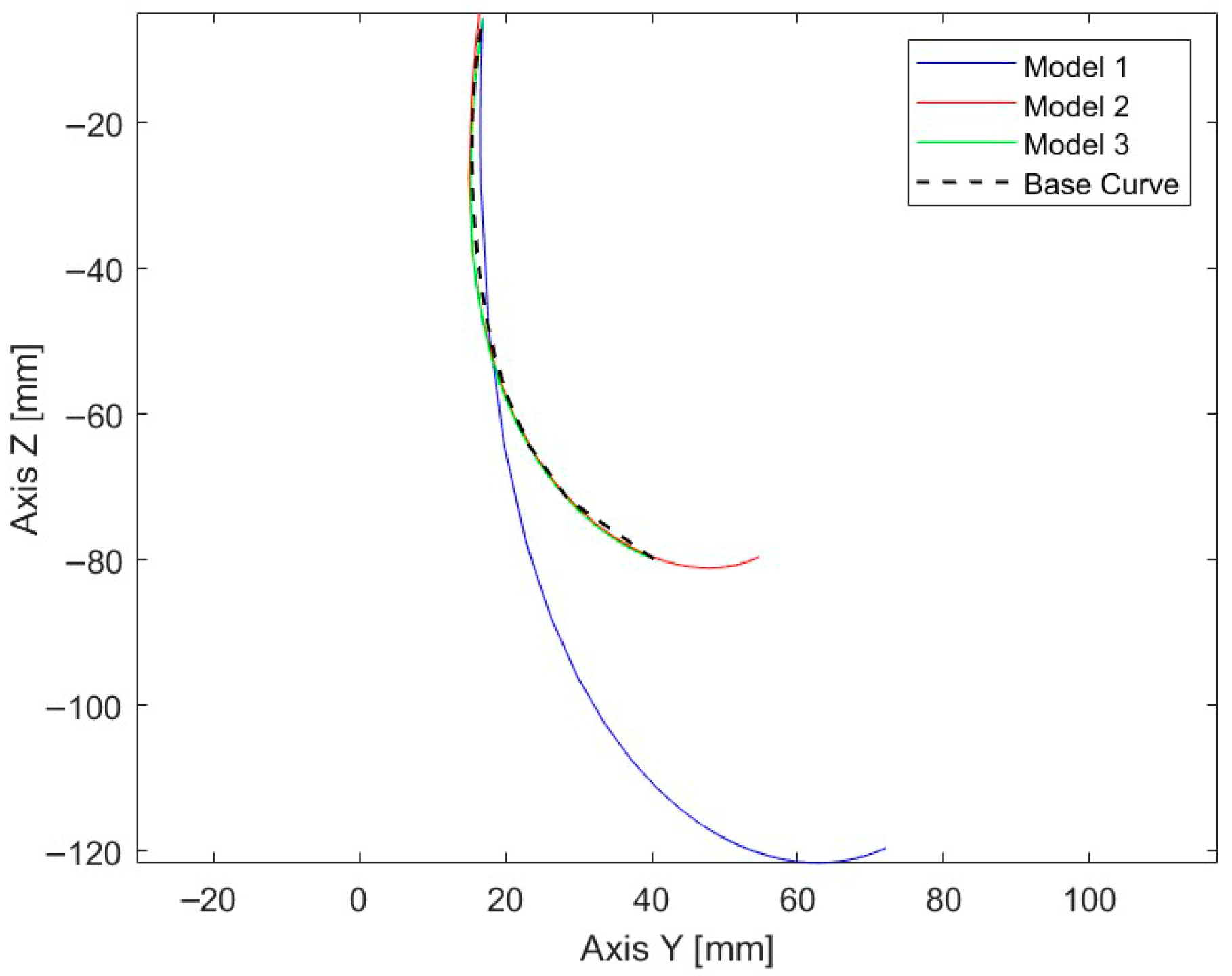
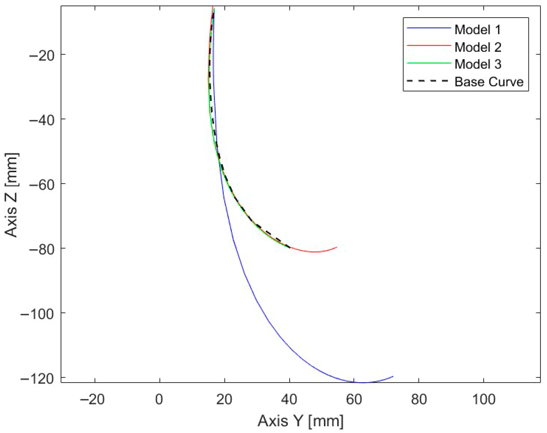
| Comparison | Discrete Fréchet Distance (mm) | RSME Axis Y—Axis Z | Mean Euclidean Distance | |
|---|---|---|---|---|
| Reference Curve vs. Model 1 | 50.90 | 33.1941 | 75.6811 | 2.665 |
| Reference Curve vs. Model 2 | 14.46 | 21.6546 | 41.9351 | 1.522 |
| Reference Curve vs. Model 3 | 6.87 | 9.7548 | 31.1752 | 1.0889 |
| Metric | Subject with Prosthesis | Subject Without Prosthesis | Units | Reference Value * |
|---|---|---|---|---|
| Step length | 0.65 | 0.70 | m | 0.72 |
| Cadence | 80 | 108 | steps/min | 110.06 |
| Walking speed | 0.86 | 1.27 | m/s | 1.32 |
| Energy cost | 0.0433 | 0.0556 | - | |
| Cost of transport | 0.839 | 0.730 | - |
Disclaimer/Publisher’s Note: The statements, opinions and data contained in all publications are solely those of the individual author(s) and contributor(s) and not of MDPI and/or the editor(s). MDPI and/or the editor(s) disclaim responsibility for any injury to people or property resulting from any ideas, methods, instructions or products referred to in the content. |
© 2025 by the authors. Licensee MDPI, Basel, Switzerland. This article is an open access article distributed under the terms and conditions of the Creative Commons Attribution (CC BY) license (https://creativecommons.org/licenses/by/4.0/).
Share and Cite
Ayala, C.; Valencia, F.; Gámez, B.; Salazar, H.; Ojeda, D. Personalized External Knee Prosthesis Design Using Instantaneous Center of Rotation for Improved Gait Emulation. Prosthesis 2025, 7, 163. https://doi.org/10.3390/prosthesis7060163
Ayala C, Valencia F, Gámez B, Salazar H, Ojeda D. Personalized External Knee Prosthesis Design Using Instantaneous Center of Rotation for Improved Gait Emulation. Prosthesis. 2025; 7(6):163. https://doi.org/10.3390/prosthesis7060163
Chicago/Turabian StyleAyala, Cristina, Fernando Valencia, Brizeida Gámez, Hugo Salazar, and David Ojeda. 2025. "Personalized External Knee Prosthesis Design Using Instantaneous Center of Rotation for Improved Gait Emulation" Prosthesis 7, no. 6: 163. https://doi.org/10.3390/prosthesis7060163
APA StyleAyala, C., Valencia, F., Gámez, B., Salazar, H., & Ojeda, D. (2025). Personalized External Knee Prosthesis Design Using Instantaneous Center of Rotation for Improved Gait Emulation. Prosthesis, 7(6), 163. https://doi.org/10.3390/prosthesis7060163

