Abstract
Molecules provide the smallest possible circuits in which quantum interference and electron correlation can be engineered to perform logical operations, including the universal NAND gate. We investigate a chemically encoded quantum NAND tree based on alkynyl-extended iso-polyacetylene backbones, where inputs are set by end-group substitution and outputs are read from the presence or absence of transmission nodes. Using quantum many-body transport theory, we show that NAND behavior persists in the presence of dynamic correlations, but that the nodal positions and their chemical shifts depend sensitively on electron–electron interactions. This sensitivity highlights the potential of these systems not only to probe the strength of electronic correlations but also to harness them in shaping logical response. The thermopower is identified as a chemically robust readout of gate logic, providing discrimination margins that greatly exceed typical experimental uncertainties, in an observable governed primarily by the variation of transport rather than its absolute magnitude.
1. Introduction
Quantum mechanics has transformed our understanding of nature and, through the advent of quantum algorithms, revealed a path to forms of computation that exceed the reach of classical machines. Early landmark results, such as the Deutsch–Jozsa algorithm for distinguishing balanced from constant functions in a single evaluation [1] and Shor’s polynomial-time algorithm for integer factorization and discrete logarithms [2], demonstrate that quantum mechanical resources have the potential to circumvent specific limitations of classical architectures. Subsequent developments established quantum walks, i.e., continuous-time unitary evolutions on graphs, as a universal paradigm for quantum computation [3,4,5], with a direct connection to scattering theory and the properties of the underlying Hamiltonians [6,7,8].
Within this framework, the NAND gate holds a place of particular prominence: because NAND is universal for classical computation, its efficient realization in a quantum setting is of fundamental conceptual interest. Farhi, Goldstone, and Gutmann showed that a NAND tree, a recursive branched composition of NAND gates, can be evaluated via quantum scattering on a graph using only queries [9,10,11] for N inputs, outperforming the best known classical algorithms, which require queries [12]. This advantage arises because a quantum amplitude propagates coherently through all branches of the tree, effectively interrogating many inputs in superposition, with the logical output encoded in the low-energy scattering response. Although not a universal quantum gate, the quantum NAND tree is an instructive model of Hamiltonian engineering and quantum speedup [3,9,10,13,14].
Molecular systems, and junctions in particular, provide a natural physical system to investigate this concept [15,16,17,18]. When macroscopic electrodes couple to a single conjugated organic molecule, its -system can often be represented by a tight-binding Hamiltonian in which each orbital defines a site and chemical bonds set the couplings. In this way, the molecular Hamiltonian mirrors the graph structure of a logic or computational problem [19,20,21,22,23]. In particular, cross-conjugated scaffolds recreate the interference motifs of the NAND tree: substituents at branch termini act as controlled self-energies that shift, create, or annihilate interference nodes. Inputs are thereby encoded as chemical modifications, while the logical output is read from whether a transmission node occurs at the Fermi energy (off) or is shifted so as to permit conduction (on). This mapping is the essence of molecular Hamiltonian computing [21,24,25,26].
At the heart of these approaches lie transmission nodes, spectral features created through destructive quantum interference (QI) in which all transport amplitudes cancel, encoding the underlying symmetries and connectivities of the Hamiltonian [27,28,29,30]. Such nodes have been observed in single-molecule junctions, even at room temperature, underscoring the robustness of coherent transport in these systems [31,32,33,34,35,36,37]. Although this work focuses on theory, experimental references are included solely to provide context and motivation. Because transport through small single-molecule junctions (SMJs) is predominently elastic and quantum phase coherent, they provide a natural bridge between abstract scattering-based computation and chemically realizable logic elements.
Importantly, QI features also leave a distinct imprint on the thermoelectric response [38,39,40,41,42,43,44,45]. As a transmission node is approached, charge and entropy currents vanish at different rates; their ratio, the Seebeck coefficient, can be strongly enhanced, serving both as a potential route to improved thermoelectric performance and as a practical diagnostic of interference zeros. Whereas conductance is often highly sensitive to variations in contact hybridization, molecular conformation, and other microscopic details [46,47,48,49,50,51] which may obscure the readout of a quantum circuit, the thermopower reflects the first transport moment of the transmission function via the Mott relation [52]. As such, the thermopower for energies near the node is largely insensitive to the microscopic junction details when the nodes is detuned from resonance [40], but remains highly sensitive to the position, scaling, and dephasing of those nodes [53,54,55], making it a robust indicator of nodal structure and, by extension, of the logical state.
A central limitation of many proposals, however, is their reliance on independent-electron tight-binding descriptions. While these methods capture the role of junction topology, they neglect dynamical electron–electron correlations which dominate transport at the nanoscale. In acyclic cross-conjugated polymers, for instance, [28,29,56], long-range Coulomb interactions couple distant orbitals, modifying the phases of interfering amplitudes and shifting nodal positions. Because these interactions decay only slowly with distance, the Hamiltonian requires increasingly delicate fine tuning to reproduce a digital NAND-like response, and the tuning becomes more fragile precisely in the regime where interference is most pronounced.
In this article, a state-of-the-art many-body theory is used to investigate the steady-state transport through molecular implementations of the NAND tree, constructed from alkynyl-extended iso-polyacetylene backbones [38]. Logical inputs are encoded chemically through NH2 or vinyl substitution, while outputs are read from the presence or absence of a transmission node in the junction [19]. The alkynyl linkers suppress extraneous -channels, isolating the -interference that governs low-energy transport. We find that both independent-electron (Hückel) and many-body descriptions reproduce NAND gate behavior, demonstrating that the logical motif survives dynamic electron–electron correlations. However, they predict different nodal energies and opposite substitution trends, differences that turn these junctions into natural diagnostics of correlation strength and expose the limits of simplified “stub-resonator” models. We also investigate the use of thermopower as a means to read the logical state, finding that it is insensitive to chemical details and retains clear discriminatory power even when conductance signatures blur [40,43]. Beyond supporting the original molecular NAND-gate proposals, our results extend the concept into the many-body Fock space, where correlations can reshape, and even generate, nodes which have no single-particle analog [27].
2. From NAND Trees to Quantum Transport
Motivated by the topological similarity between certain acyclic cross-conjugated molecules and NAND trees, we now develop a minimal transport formulation that makes this mapping precise. In the Farhi–Goldstone–Gutmann construction [10], the NAND tree is evaluated as a scattering problem, where the logical output is encoded in the transmission or reflection amplitude of a particle propagating coherently through the connected tree. This approach naturally connects with quantum transport theory [57,58], where interference effects like nodes are encoded in transmission function spectrum. Within this framework, it is the coherent combination of amplitudes along the connected tree Hamiltonian that yields the NAND truth table and underlies the quantum query complexity [19]. It should be noted that the speed-up of this method does not stem from the use of molecules, the inclusion or exclusion of electron–electron interactions, etc., but instead from the use of quantum coherent transport to implement gate logic.
Using nonequilibrium Green’s function (NEGF) theory [38,59,60,61], the transmission probability is given by
where is the retarded Green’s function of the junction. The tunneling-width matrix for electrode is
with labeling -orbitals of the molecule and the coupling between orbital n and eigenstate in electrode . In the wide-band limit, considered here, may be taken as energy-independent.
Consider a two-terminal junction where left (L) and right (R) electrodes couple to a molecular backbone, i.e., a linear “direct” transport channel, with a locally attached side branch (stub), as illustrated schematically in Figure 1. Using Dyson’s equation, this junction’s Green’s function may be expressed as
where the stub’s influence on the backbone is encapsulated in the self-energy . If the backbone is described by a tight-binding Hamiltonian , its retarded Green’s function is
where is the tunneling self-energy. Each may be written as , with the level broadening from coupling to lead and the corresponding level shift. In the wide-band limit is taken constant and absorbed into the onsite energies, leaving . In this formulation, the stub’s molecular structure, and therefore its self-energy, directly affects the observable transport, the conductance and thermopower are functions of , motivating a search for stub structures that mimic logic gates.
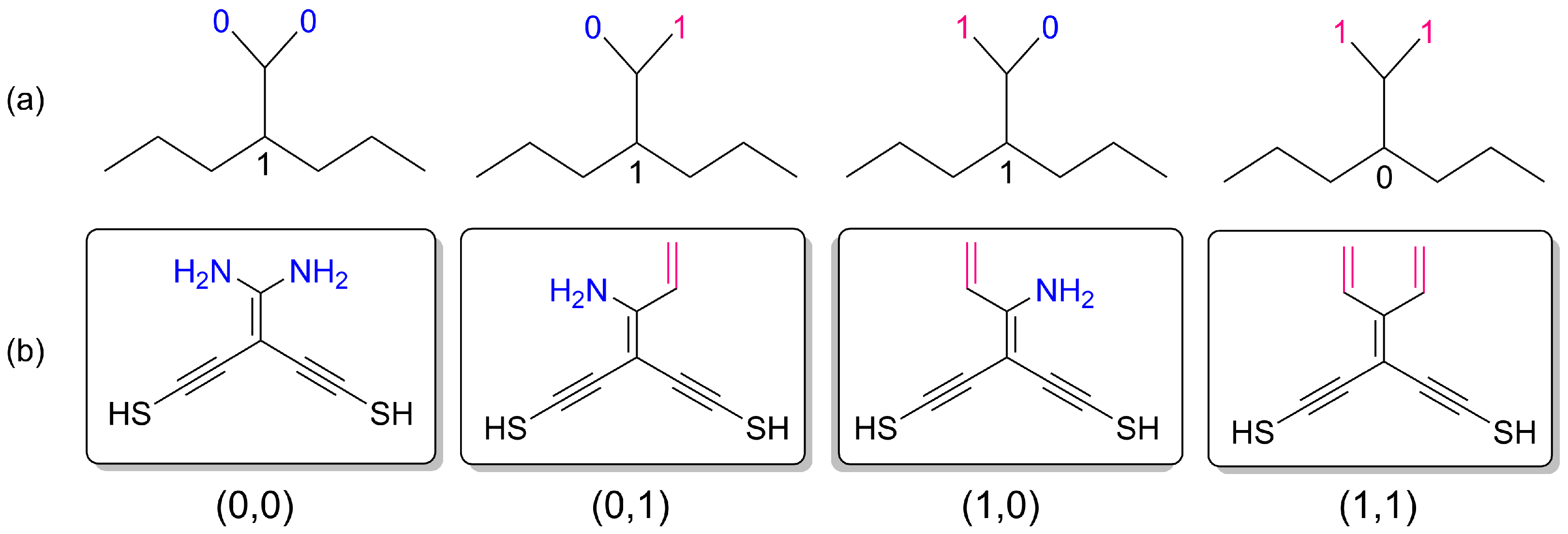
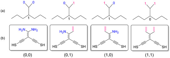
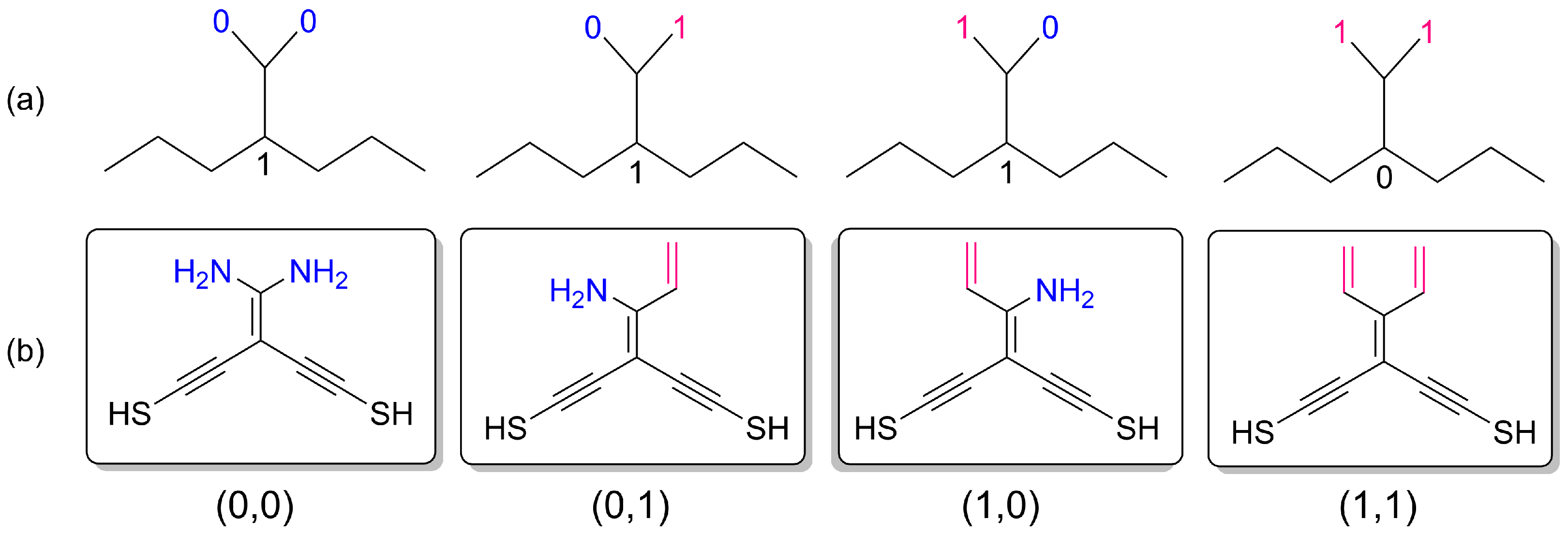
Figure 1.
(a) Schematic representation of a single-level NAND stub, illustrating the four possible input combinations and their logical outputs. Inputs are encoded as branches labeled 0 (blue) or 1 (magenta), with the NAND truth table reproduced by the transmission response at the nodal energy. (b) Molecular realizations based on thiolated, alkynyl-extended iso-poly(acetylene) (iso-PA) backbones. Logical 0 is represented by an NH2 substituent, while logical 1 is represented by a vinyl (C=C) group. Outputs are read from the transmission spectrum near the nodal energy, as obtained in transport measurements when macroscopic Au electrodes are coupled to the terminal thiol groups.
To illustrate how such branch structures can emulate a logic gate, consider a stub consisting of a uniform chain of length n with site energy and hopping . The stub self-energy can be determined diagrammatically, giving
where is the Green’s function of the isolated n-site chain. This recursive structure of the Green’s function admits the continued fraction
and in closed form
with representing the Chebyshev polynomials of the second kind. At resonance ,
since and . Thus, an even-length branch is transparent, while an odd-length branch enforces a transmission node. This illustrates how side-chains can induce poles and zeros in the effective self-energy, thereby switching conduction on or off. While the closed-form self-energy of a NAND tree is not known [62], it is precisely this recursive structure that echoes the evaluation of a NAND tree.
Consider an SMJ in which the left (L) and right (R) electrodes couple only to a linear backbone, while a side branch (stub) is grafted locally and not directly contacted. When all current must traverse the backbone, forces and thus (logical off), whereas leaves the backbone unperturbed and transmission intact (logical on). Shifting the branch resonance, , continuously tunes between these limits—a form of remote gating [62]. More elaborate branch hierarchies can be integrated recursively, each level introducing additional poles and zeros (resonances and antiresonances). This leads to a central design principle: molecular logic arises from the competition between direct backbone conduction and indirect branch-induced self-energies. For simple motifs, the mapping onto Boolean truth tables is robust, but as complexity grows, multiple resonances compete and logical discrimination becomes ambiguous.
We have thus far focused exclusively on noninteracting electrons. While the recursive self-energies of stubs can reproduce NAND-tree logic in this limit, the Coulomb self-energy of an interacting junction may admit no closed form: it is strongly energy dependent, nonlocal, and encodes the full many-body dynamical excitation spectrum [63,64,65,66]. Moreover, the Hilbert spaces themselves differ. The model above acts in a one-electron orbital basis, whereas the interacting problem requires the full many-body Fock space, which includes states and correlations beyond any single-particle description. These effects shift and split resonances, alter scattering phases, and can generate interference features unrelated to molecular geometry [27]. We therefore turn next to a fully many-body theory of quantum transport, in which the molecular Green’s function is constructed nonperturbatively to investigate the importance of correlations in these systems.
3. Many-Body Quantum Transport Theory
Within the molecular Dyson equation (MDE) theory [38], the junction Green’s function may be formally written exactly as
where is the isolated molecular Green’s function, including both one- and two-body (i.e., Coulomb) terms, and is the tunneling self-energy with in the wide-band limit considered here. In this theory, the correction to the Coulomb self-energy, , accounts for the renormalization of the electron–electron interactions with finite lead–molecule coupling. In this work, we focus on transport in the elastic cotunneling regime, where and inelastic processes are negligible [38].
The molecular Green’s function admits the usual Lehmann representation,
where is the eigenenergy of many-body state of , the molecular Hamiltonian, its occupation probability, and
are the transition matrix elements. Here annihilates an electron of spin on orbital n, and , belong to the N- and -particle spaces, respectively. In linear response, the probabilities are given by the grand canonical ensemble.
We focus on transport in the linear-response regime, where the electrical conductance and thermopower are expressed in terms of the Onsager functions as
with e being the elementary charge, G the conductance, S the Seebeck coefficient, and the reference temperature. In the SMJs considered here, transport is overwhelmingly coherent and elastic. In this limit, the Onsager functions may be expressed as
where is the transmission function and is the Fermi–Dirac distribution of the electrodes with equilibrium chemical potential and temperature .
3.1. Lanczos Method for Green’s Functions
The central computational difficulty in evaluating Equation (10) is that it requires the full many-body spectrum, which grows exponentially with the number of orbitals (∼4n states for n orbitals). To render the problem tractable, we employ Krylov-space techniques, most notably Lanczos recursion [67], which iteratively projects the Hamiltonian onto a reduced subspace. This procedure yields [68] a tridiagonal representation of and a continued-fraction expansion of that converges rapidly for the low-energy states and spectral weights of interest, while avoiding explicit diagonalization [69].
In practice the calculation proceeds in two stages [68]. First, a Lanczos diagonalization of provides the low-lying eigenstates and their energies. Second, the action of or on these states is used to seed a new Lanczos recursion, generating Krylov subspaces of virtual excitations that enter the propagator. The resulting spectral representation can then be evaluated directly or through the continued fraction, which by construction preserves causality. This two-stage approach enables the calculation of Green’s functions for realistic multi-orbital -systems such as iso-PA backbones. In this way, many-body correlations are treated exactly within the truncated -subspace, providing the rigorous foundation for the results presented below.
3.2. Molecular Hamiltonian
This work focuses on the response of acyclic cross-conjugated molecules, where conduction is dominated by the -system. The Hamiltonian for this subspace was derived using a renormalization procedure that integrates out off-resonant degrees of freedom, such as the -system and image-charge effects, so that their influence appears effectively through modified onsite energies and coupling terms [68]. In a localized orbital basis, the Hamiltonian reads
where is the effective onsite potential for spin- electrons on orbital n, , is the net charge operator, and are the effective tight-binding matrix elements. The Coulomb interaction between electrons in orbitals n and m is obtained from a multipole expansion, including monopole–monopole, quadrupole–monopole, and quadrupole–quadrupole contributions [68]:
The -EFT parameters were determined by fitting to experimental observables that must be faithfully reproduced within a -only model [68]. Specifically, the vertical ionization energy, vertical electron affinity, and the six lowest singlet and triplet excitations of gas-phase benzene were optimized simultaneously. This procedure yields accuracy comparable to, or better than, traditional Pariser–Parr–Pople (PPP) models [70], giving = 9.69 eV for onsite repulsion; transfer integrals , , and eV for single, double, and triple carbon–carbon bonds, respectively [71], and a -electron quadrupole moment Å2. These parameters are consistent with earlier -electron models [70,72], with Q providing a physically motivated alternative to the ad hoc short-range corrections of PPP theory. Electron–electron interactions were screened by an effective dielectric constant . Electrodes were modeled as metallic spheres of radius 0.5 nm. To allow direct comparison with prior work [19], thiol groups were not treated explicitly as sites, but incorporated via renormalized lead–molecule couplings. Finally, all molecular geometries were optimized using Kohn–Sham density functional theory (DFT) in ORCA 6.1.0, employing the B3LYP functional with D3(BJ) dispersion corrections and the 6-311G(d,p) (6-311G**) basis set [73,74,75,76,77,78,79,80,81]. Tight self-consistent field (SCF) thresholds were used to ensure reliable conjugated-organic structures at modest computational cost.
4. Results
First, a minimal NAND motif constructed from alkynyl-modified iso-poly(acetylene) (iso-PA) backbones is considered. Logical inputs are encoded chemically: an NH2 cap denotes bit 0, detuning the branch from resonance, while a vinyl group (C=C) denotes bit 1, bringing the branch near resonance. The schematic NAND trees and their molecular analogues are shown in Figure 1, where specific substituents implement the input states , , and . In each case, the logical output is read directly from the transmission spectrum near the nodal energy: high transmission corresponds to output 1, while suppressed transmission signals output 0. The alkynyl linkers act as insulating standoffs, reducing the -channel transport which can obscure interference effects in the -system’s transport (see Appendix A). This convention mirrors the edge-encoding logic of NAND trees, where branch substitution toggles the effective self-energy relative to the reference energy.
To assess this behavior, the transport was computed using many-body MDE theory, which retains the full spectrum of charged and excited states. In the limit , these calculations reduce to the independent-electron (Hückel) tight-binding description. All molecular geometries are fixed at their optimized structures, including thiols and terminal hydrogens for chemical stability. The electrodes are coupled symmetrically with = = 0.5 eV, and the operating temperature is set to = 300 K. Sulfur anchoring groups are included only through these couplings, allowing direct comparison with prior studies [19]. In this case, the Au Fermi level lies ∼1 eV below the effective -orbital energy of conjugated carbon atoms [82], but to avoid dependence on a specific alignment the full spectra are shown, which can be reinterpreted for alternative linkers or electrode materials.
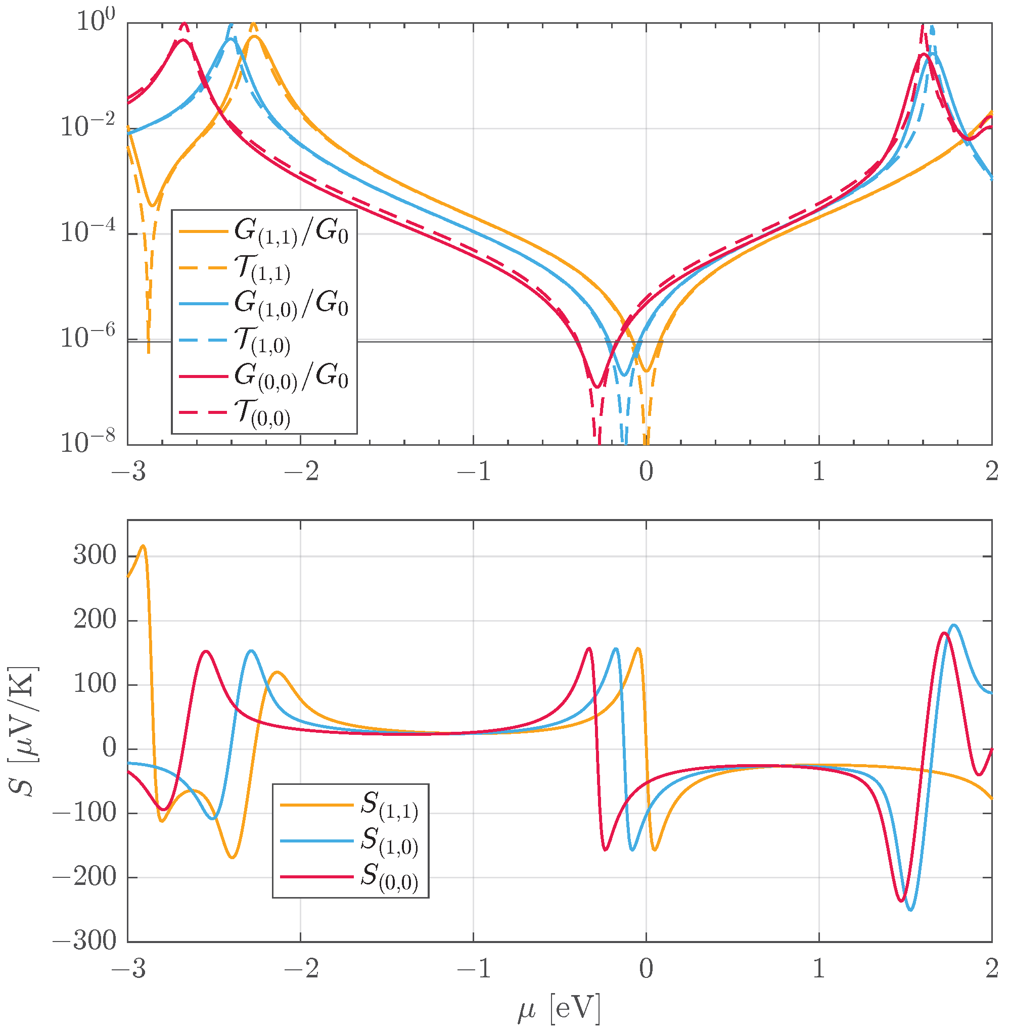
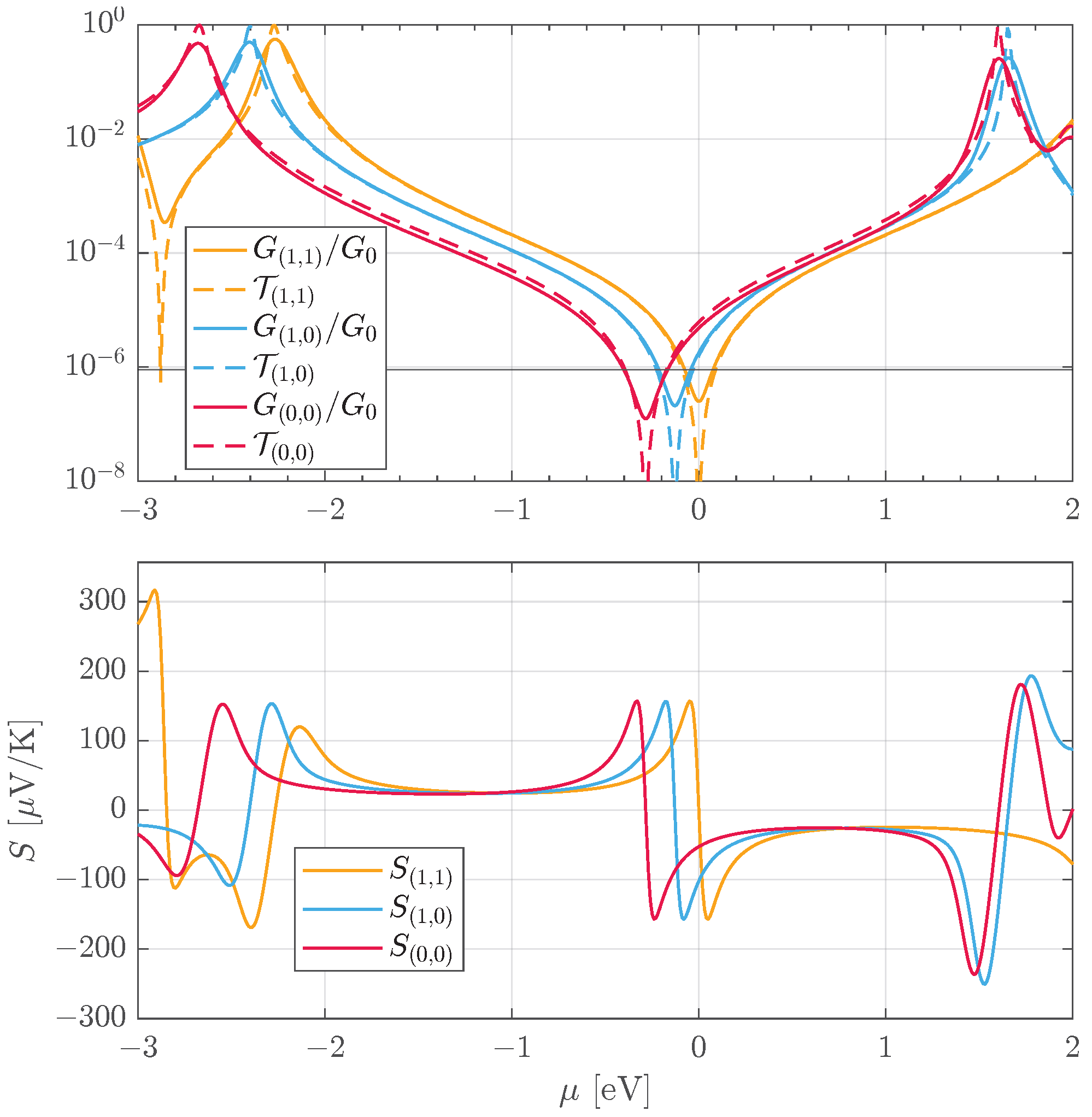
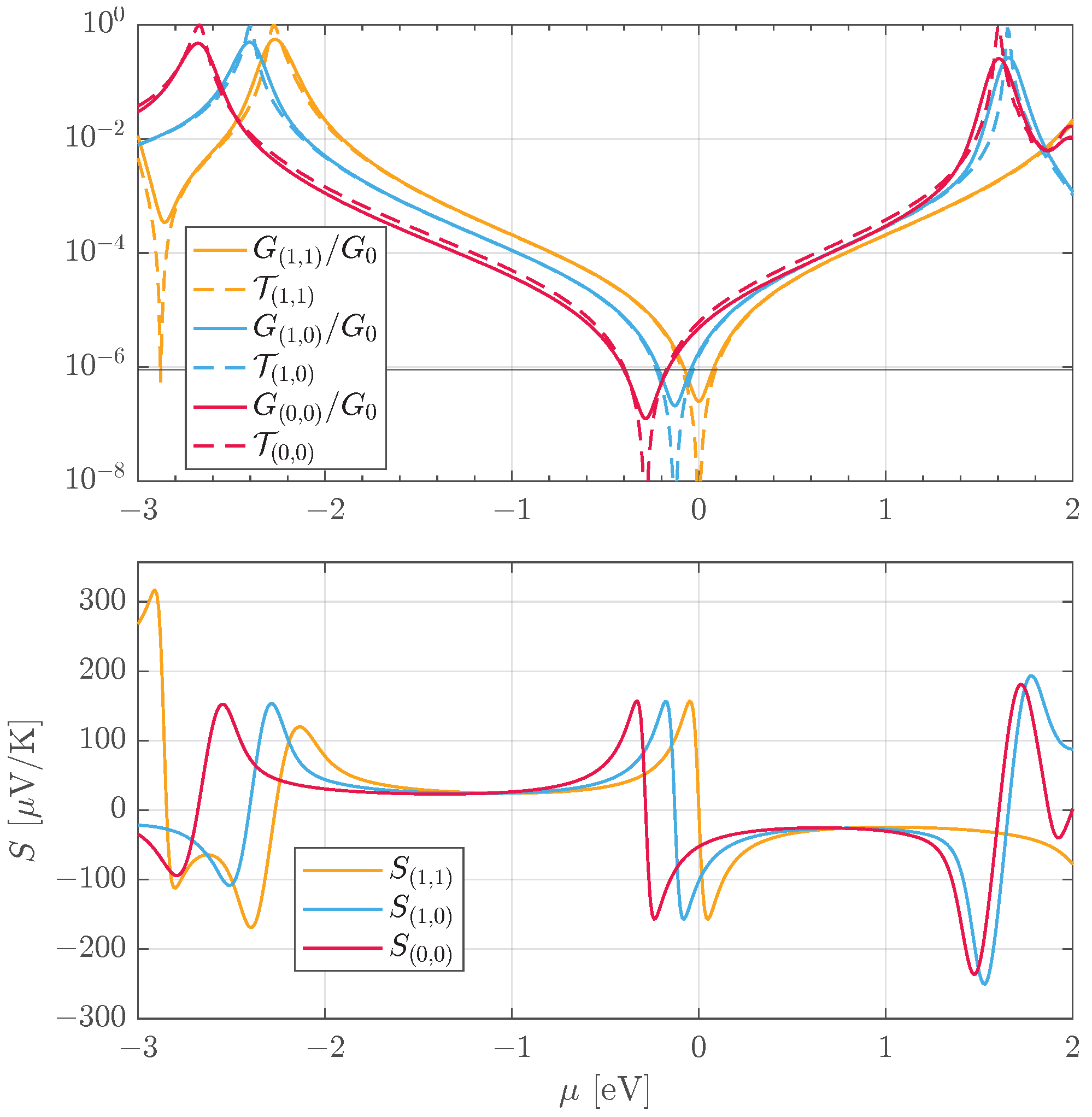
The transmission , conductance G, and Seebeck coefficient S for the -system of iso-PA NAND junctions are shown in Figure 2, for input states , , and , as obtained from Hückel (Figure 2a) and many-body MDE calculations (Figure 2b). In the Hückel theory results, the expected shifted-node pattern appears: the input pins the node near the reference energy (here ), while and shift the node depending on branch parity and coupling. In linear response with frozen geometries, the – and -junction responses are identical. These results closely match the tight-binding and density functional theory (DFT) calculations of Ref. [19], which employed longer alkynyl and phenyl linkers, suggesting that at the effective single-particle level the stub network, rather than the precise backbone, controls the interference pattern. As expected, each transmission node generates a conductance dip accompanied by a thermopower enhancement [39,53], rendering S an especially sensitive discriminator of logical states.
Figure 2.
Transmission , conductance , and thermopower for NAND junctions computed with (a) Hückel tight-binding theory and (b) many-body MDE theory. The and inputs are symmetry-equivalent. Energies are referenced to the effective carbon onsite potential, with thiol terminations incorporated via renormalized tunnel couplings. A background -channel (black line) is included using with , (see Appendix A), but it does not significantly obscure the interference features in this case. Thermopower exhibits sharp peaks at each transmission node, reaching V/K. Both models recover NAND functionality, but correlations reverse the nodal trend: in the Hückel limit the node shifts upward, whereas in the many-body treatment it shifts downward, underscoring the sensitivity of interference to electronic correlations and symmetry. Conductance is normalized to and K.
Importantly, while “high” and “low” transmission are relative quantities that depend strongly on electrode coupling and linker chemistry, the thermopower provides a more universal readout: because it probes the slope of rather than its magnitude, S remains robust to changes in linker length or contact geometry [40]. Thus the qualitative features in Figure 2 reproduce earlier tight-binding predictions, despite the shorter linkers employed here, reinforcing the view that the molecular backbone acts largely as a passive conduit, while the stub-system self-energies control the dominant interference physics.
When electron–electron interactions are included, the molecular spectrum is renormalized by the Coulomb self-energy, as illustrated in Figure 2b. Dynamic correlations increase charging energies, shift and broaden resonances, and modify effective couplings. In our iso-PA junctions, the Coulomb matrix is long-ranged ( = 9.69 eV onsite, with values ∼1.5 eV even between the most separated sites), so electrons throughout the molecule all interact strongly. These long-range interactions reshape the relative phases of transport amplitudes, thereby altering quantum interference features such as transmission nodes on a global scale.
Despite these renormalizations, the qualitative NAND-like response of the non-interacting case is retained: the junction still exhibits a node at , while the other junctions show shifted nodal structure. However, two key differences emerge. First, the nodal shifts invert: in the many-body spectrum the and nodes move downward in energy rather than upward. This inversion underscores the sensitivity of nodal positions not only to orbital charging and molecular conformation, which are included in the Hückel description, but also to the correlated matrix elements that connect many-body states. Second, chemical substitutions exert a global influence, for example modifying the HOMO–LUMO gap and reshaping resonance line shapes across the spectrum. Because these changes arise from the structure of electron-electron interactions, they cannot, in general, be adjusted arbitrarily. This highlights the intrinsic challenge of engineering a molecular Hamiltonian: the effective parameters are dictated not only by connectivity and local energies, but by the fundamental structure of physical and chemical laws which often involve less intuitive non-local and multi-particle properties.
To better understand the role of non-local interactions, we restrict the Coulomb term to a purely local form, with eV. This reduces the description to a Hubbard model of the molecule, whose transport is shown in Figure 3. In this limit, the symmetry of the problem simplifies, with only onsite interactions retained, yet the resulting trends follow the full many-body calculation more closely than the non-interacting Hückel theory. The separation between nodes becomes smaller and more uniform, though their positions continue to shift under branch substitution as in the full non-local interaction spectrum. This comparison highlights an important point: the location of interference nodes, and thus the fidelity of logical readout, depends not only on geometrical connectivity but on the deeper structure of the correlated Hilbert space. Long-range matrix elements couple orbitals across the entire molecule and reshape interference globally, yet even local (Hubbard-like) interactions alter nodal positions and modify the logical response. Molecular logic, therefore, cannot always be expressed solely in terms of tight-binding connectivity; it generally requires a careful treatment of many-body correlations and the Hilbert space that hosts them.
Figure 3.
Transmission , conductance G, and thermopower S for NAND junctions computed within the many-body MDE theory including only local Coulomb interactions ( 9.69 eV, i.e., the Hubbard model). As in Figure 2, the and inputs yield identical transport owing to molecular symmetry. Energies are referenced to the effective carbon onsite potential, and a weak-channel background is shown for comparison. Relative to the independent-electron (Hückel) case, both the Hubbard and long-range Coulomb descriptions predict that the and nodes shift downward in energy, underscoring the role of electronic correlation. The Hubbard model further restores nearly uniform nodal separations while retaining the overall energetic trends of the full Coulomb calculation, illustrating the distinct influences of local versus nonlocal interactions on logical response. Conductance is normalized to and calculations correspond to K.
Thermopower Discrimination of Logic States
To quantify how well different logical inputs can be distinguished, a Seebeck–contrast metric was introduced. For inputs x and y,
and the margin is defined as
The margin captures the worst–case separation among all inputs in an experimentally robust observable. It is maximized when the operating energy lies close to, but not exactly at, a transmission node: for a quadratic node the peak thermopower is when [40,53]. Nodes separated by significantly less than this scale are therefore hard to resolve using S alone, although joint statistics of G and S can still enable identification [43].
The thermopower S, the pairwise contrasts , and the margin for Hückel, many-body (MDE), and Hubbard-level calculations are shown in Figure 4. Horizontal dotted and dashed lines mark one and three times a representative experimental uncertainty, , chosen conservatively from the 1– range reported in single-molecule thermopower studies [83,84,85]. We adopt as a criterion for reliable discrimination: in this regime even the closest pair of states remains separable, and the corresponding worst-case error probability
falls below ∼0.3%. By contrast, regions with are noise-limited and should be avoided. As seen in the panels of Figure 4, each logical state can be reliably discriminated over wide ranges of chemical potential, consistent with variations in electrode material or linker alignment.
Figure 4.
Calculated thermopower S, Seebeck contrast , and discrimination margin for iso-PA-based NAND molecules as a function of chemical potential , obtained using three levels of theory: (a) Single-particle Hückel tight-binding theory, (b) Many-body MDE theory, and (c) MDE theory with local Coulomb interactions (Hubbard model with ). As indicated in the lower panels of each subfigure, the logical output can be discriminated among NAND inputs , , and by evaluating the thermopower response. While all approaches capture interference-induced nodes that underpin logical discrimination, the position, splitting, and magnitude of the thermopower peaks differ substantially, underscoring the sensitivity of readout fidelity to the underlying electronic structure treatment. Horizontal dotted and dashed lines correspond to one and three times a representative experimental uncertainty = 5 V/K, respectively, chosen within the V/K range established by single-molecule thermopower measurements [83,84,85]. Transport calculations are for junctions operating at room temperature, = 300 K.
Assessing the efficacy of molecular NAND gates is necessarily nuanced. Our many-body calculations agree qualitatively with the noninteracting Hückel and DFT results [19]; nodes shift when substituents are modified, showing that simplified models can capture the essentials in some regimes. Quantitatively, however, the nodal energies and even the direction of substitution-induced shifts can differ, reflecting the fact that weak, long-range Coulomb interactions couple distant orbitals and affect the phase of transport amplitudes across the molecule. What may look like a local, stub-induced node shift can instead originate from nonlocal correlations among many-body states [27], cautioning against over-reliance on single-particle pictures. In this context, the thermopower provides a robust, chemistry-agnostic readout: by probing the energy derivative of the transmission, S accentuates nodal structure even when conductance signatures blur, serving both as a sensitive diagnostic of correlation-driven rephasing and as a practical route to reliable logic readout in molecular devices.
5. Conclusions
We have investigated chemically encoded NAND gates based on modified iso-PA motifs using independent-electron (Hückel), Hubbard-level, and fully many-body (MDE) theories of transport. Across all descriptions, interference-induced transmission nodes persist, confirming that NAND-like functionality can, in principle, be realized in single-molecule junctions. At the same time, correlations reshape nodal positions and can even invert substitution trends, exposing the limits of simplified one-body models.
While node identification lies at the heart of scattering-based readout, its experimental realization is nontrivial: finite signal-to-noise obscures shallow dips and contact chemistry can induce orders-of-magnitude conductance variations. By contrast, the thermopower S provides a chemically robust discriminator of logical states. Because S probes the energy derivative of the transmission, it preserves contrast when conductance signatures blur. We quantified this with the Seebeck margin , and by linking to a representative experimental uncertainty we obtained a practical criterion for reliable readout (, implying a worst-case error probability below ∼0.3%). This connects logical fidelity directly to measurable transport observables.
This work illustrates that molecular junctions are more than simple physical realizations of abstract logic gates: they are laboratories to investigate the fundamental interplay between quantum coherence, correlation, and computation. Seen from this perspective, interactions become a design parameter to work within, capable of stabilizing, destabilizing, or even generating nodes with no purely geometric origin, thereby suggesting novel routes to realize logic gates. The remaining challenge is to translate these insights into chemically scalable motifs and gate-tunable junctions where interaction-shaped interference is engineered, not endured.
Funding
This research was graciously supported by the National Science Foundation under award number QIS-2412920.
Institutional Review Board Statement
Not applicable.
Informed Consent Statement
Not applicable.
Data Availability Statement
The original contributions presented in the study are included in the article. Further inquiries can be directed to the corresponding author.
Conflicts of Interest
The author declares no conflicts of interest.
Appendix A. The Influence of σ-System Transport
The total transmission through a single-molecule junction can be written as the sum of - and -channel contributions,
For conjugated backbones such as the alkynyl-extended iso-PA structures considered here, is nearly energy-independent in the mid-gap window [86] and thus contributes a constant background. Within linear responses, the corresponding Onsager coefficients are
so that the conductance acquires an additive offset while the numerator of the Seebeck coefficient is unchanged. As a result,
showing that transport invariably suppresses the thermopower by diluting the node-driven response.
Although the -system is formally included via the renormalized parameters of our effective -Hamiltonian, its value can be estimated independently from benchmarks on saturated alkanes. Off-resonant tunneling follows an exponential law [87,88],
with decay constants – per CH2 (– Å−1) for thiols and per CH2 (∼0.6 Å−1) for amines. These values reproduce the canonical C3/C6/C8 conductance peaks and are widely used as benchmarks [89,90,91,92].
If one adopts the Au–S prefactor , -channel transmission would already be of order at spans –8 Å, comparable to measured conductances of hexanedithiol and octanedithiol. Such contributions could overwhelm nodal variations in and wash out the associated thermopower enhancements. In practice, however, the effective depends strongly on contact chemistry and geometry. Anchoring groups such as amines, pyridyls, or sp-hybridized alkynyl linkers, as well as top-site or tilted binding configurations, can reduce by one to two orders of magnitude. For the iso-PA-based junctions considered here, the extended sp-rich scaffolds intrinsically suppress overlap, making them especially attractive for logic applications. In simulations, we therefore adopt representative parameters and , which yield values small enough to preserve the diagnostic node-enhanced thermopower.
References
- Deutsch, D.; Jozsa, R. Rapid solution of problems by quantum computation. Proc. R. Soc. Lond. A 1992, 439, 553–558. [Google Scholar]
- Shor, P.W. Polynomial-time algorithms for prime factorization and discrete logarithms on a quantum computer. SIAM Rev. 1999, 41, 303–332. [Google Scholar] [CrossRef]
- Childs, A.M. Universal Computation by Quantum Walk. Phys. Rev. Lett. 2009, 102, 180501. [Google Scholar] [CrossRef]
- Childs, A.M.; Gosset, D.; Webb, Z. Universal computation by multiparticle quantum walk. Science 2013, 339, 791–794. [Google Scholar] [CrossRef]
- Venegas-Andraca, S.E. Quantum walks: A comprehensive review. Quantum Inf. Process. 2012, 11, 1015–1106. [Google Scholar] [CrossRef]
- Childs, A.M.; Strouse, D. Levinson’s theorem for graphs. J. Math. Phys. 2011, 52, 082102. [Google Scholar] [CrossRef]
- Childs, A.M.; Gosset, D. Levinson’s theorem for graphs II. J. Math. Phys. 2012, 53, 102207. [Google Scholar] [CrossRef]
- Whitfield, J.D.; Rodríguez-Rosario, C.A.; Aspuru-Guzik, A. Quantum stochastic walks: A generalization of classical random walks and quantum walks. Phys. Rev. A 2010, 81, 022323. [Google Scholar] [CrossRef]
- Farhi, E.; Gutmann, S. Quantum computation and decision trees. Phys. Rev. A 1998, 58, 915. [Google Scholar] [CrossRef]
- Farhi, E.; Goldstone, J.; Gutmann, S. A Quantum Algorithm for the Hamiltonian NAND Tree. arXiv 2007, arXiv:quant-ph/0702144. [Google Scholar] [CrossRef]
- Hoyer, P.; Spalek, R. Lower Bounds on Quantum Query Complexity. arXiv 2005, arXiv:quant-ph/0509153. [Google Scholar] [CrossRef]
- Saks, M.; Wigderson, A. Probabilistic Boolean decision trees and the complexity of evaluating game trees. In Proceedings of the 27th Annual Symposium on Foundations of Computer Science (SFCS 1986), Toronto, ON, Canada, 27–29 October 1986; pp. 29–38. [Google Scholar]
- Tsuji, Y.; Estrada, E.; Movassagh, R.; Hoffmann, R. Quantum interference, graphs, walks, and polynomials. Chem. Rev. 2018, 118, 4887–4911. [Google Scholar] [CrossRef] [PubMed]
- Namarvar, O.F.; Giraud, O.; Georgeot, B.; Joachim, C. Quantum Hamiltonian Computing protocols for molecular electronics Boolean logic gates. Quantum Sci. Technol. 2019, 4, 035009. [Google Scholar] [CrossRef]
- Baytekin, H.T.; Akkaya, E.U. A molecular NAND gate based on Watson- Crick base pairing. Org. Lett. 2000, 2, 1725–1727. [Google Scholar] [CrossRef]
- Erbas-Cakmak, S.; Kolemen, S.; Sedgwick, A.C.; Gunnlaugsson, T.; James, T.D.; Yoon, J.; Akkaya, E.U. Molecular logic gates: The past, present and future. Chem. Soc. Rev. 2018, 47, 2228–2248. [Google Scholar] [CrossRef]
- Kompa, K.; Levine, R. A molecular logic gate. Proc. Natl. Acad. Sci. USA 2001, 98, 410–414. [Google Scholar] [CrossRef]
- Evers, F.; Korytár, R.; Tewari, S.; van Ruitenbeek, J.M. Advances and challenges in single-molecule electron transport. Rev. Mod. Phys. 2020, 92, 035001. [Google Scholar] [CrossRef]
- Jensen, P.W.; Jin, C.; Dallaire-Demers, P.L.; Aspuru-Guzik, A.; Solomon, G.C. Molecular realization of a quantum NAND tree. Quantum Sci. Technol. 2019, 4, 015013. [Google Scholar] [CrossRef]
- Soe, W.H.; Manzano, C.; Renaud, N.; de Mendoza, P.; De Sarkar, A.; Ample, F.; Hliwa, M.; Echavarren, A.M.; Chandrasekhar, N.; Joachim, C. Manipulating molecular quantum states with classical metal atom inputs: Demonstration of a single molecule NOR logic gate. ACS Nano 2011, 5, 1436–1440. [Google Scholar] [CrossRef]
- Joachim, C.; Renaud, N.; Hliwa, M. The different designs of molecule logic gates. Adv. Mater. 2012, 24, 312–317. [Google Scholar] [CrossRef] [PubMed]
- Renaud, N.; Joachim, C. Design and stability of NOR and NAND logic gates constructed with three quantum states. Phys. Rev. A 2008, 78, 062316. [Google Scholar] [CrossRef]
- Joachim, C.; Gimzewski, J.; Aviram, A. Electronics using hybrid-molecular and mono-molecular devices. Nature 2000, 408, 541–548. [Google Scholar] [CrossRef] [PubMed]
- Dridi, G.; Julien, R.; Hliwa, M.; Joachim, C. The mathematics of a quantum Hamiltonian computing half adder Boolean logic gate. Nanotechnology 2015, 26, 344003. [Google Scholar] [CrossRef]
- Dridi, G.; Namarvar, O.F.; Joachim, C. Qubits and quantum Hamiltonian computing performances for operating a digital Boolean 1/2-adder. Quantum Sci. Technol. 2018, 3, 025005. [Google Scholar] [CrossRef]
- Joachim, C.; Duchemin, I.; Fiurášek, J.; Cerf, N. Hamiltonian logic gates: Computing inside a molecule. Int. J. Nanosci. 2005, 4, 107–118. [Google Scholar] [CrossRef]
- Bergfield, J.P.; Solomon, G.C.; Stafford, C.A.; Ratner, M.A. Novel quantum interference effects in transport through molecular radicals. Nano Lett. 2011, 11, 2759–2764. [Google Scholar] [CrossRef]
- Barr, J.D.; Stafford, C.A. On Transmission Node Structure in Interacting Systems. arXiv 2013, arXiv:1303.3618. [Google Scholar] [CrossRef]
- Pedersen, K.G.; Strange, M.; Leijnse, M.; Hedegård, P.; Solomon, G.C.; Paaske, J. Quantum interference in off-resonant transport through single molecules. Phys. Rev. B 2014, 90, 125413. [Google Scholar] [CrossRef]
- Arroyo, C.R.; Tarkuc, S.; Frisenda, R.; Seldenthuis, J.S.; Woerde, C.H.; Eelkema, R.; Grozema, F.C.; van der Zant, H.S. Signatures of Quantum Interference Effects on Charge Transport Through a Single Benzene Ring. Angew. Chem. 2013, 125, 3234–3237. [Google Scholar] [CrossRef]
- Guédon, C.M.; Valkenier, H.; Markussen, T.; Thygesen, K.S.; Hummelen, J.C.; van der Molen, S.J. Observation of quantum interference in molecular charge transport. Nat. Nanotechnol. 2012, 7, 305–309. [Google Scholar] [CrossRef]
- Li, Y.; Buerkle, M.; Li, G.; Rostamian, A.; Wang, H.; Wang, Z.; Bowler, D.R.; Miyazaki, T.; Xiang, L.; Asai, Y.; et al. Gate controlling of quantum interference and direct observation of anti-resonances in single molecule charge transport. Nat. Mater. 2019, 18, 357–363. [Google Scholar] [CrossRef]
- Liu, J.; Huang, X.; Wang, F.; Hong, W. Quantum interference effects in charge transport through single-molecule junctions: Detection, manipulation, and application. Acc. Chem. Res. 2018, 52, 151–160. [Google Scholar] [CrossRef]
- Nairz, O.; Arndt, M.; Zeilinger, A. Quantum interference experiments with large molecules. Am. J. Phys. 2003, 71, 319–325. [Google Scholar] [CrossRef]
- Aradhya, S.V.; Meisner, J.S.; Krikorian, M.; Ahn, S.; Parameswaran, R.; Steigerwald, M.L.; Nuckolls, C.; Venkataraman, L. Dissecting contact mechanics from quantum interference in single-molecule junctions of stilbene derivatives. Nano Lett. 2012, 12, 1643–1647. [Google Scholar] [CrossRef]
- Wang, X.; Bennett, T.L.; Ismael, A.; Wilkinson, L.A.; Hamill, J.; White, A.J.; Grace, I.M.; Kolosov, O.V.; Albrecht, T.; Robinson, B.J.; et al. Scale-up of room-temperature constructive quantum interference from single molecules to self-assembled molecular-electronic films. J. Am. Chem. Soc. 2020, 142, 8555–8560. [Google Scholar] [CrossRef]
- Liu, S.X.; Ismael, A.K.; Al-Jobory, A.; Lambert, C.J. Signatures of room-temperature quantum interference in molecular junctions. Acc. Chem. Res. 2023, 56, 322–331. [Google Scholar] [CrossRef] [PubMed]
- Bergfield, J.P.; Stafford, C.A. Many-body theory of electronic transport in single-molecule heterojunctions. Phys. Rev. B 2009, 79, 245125. [Google Scholar] [CrossRef]
- Bergfield, J.P.; Solis, M.A.; Stafford, C.A. Giant thermoelectric effect from transmission supernodes. ACS Nano 2010, 4, 5314–5320. [Google Scholar] [CrossRef] [PubMed]
- Bennett, R.X.; Hendrickson, J.R.; Bergfield, J.P. Quantum Interference Enhancement of the Spin-Dependent Thermoelectric Response. ACS Nano 2024, 18, 11876–11885. [Google Scholar] [CrossRef]
- Erdogan, E.; Bergfield, J.P. When Dephasing Fails: Thermodynamic Consequences of Decoherence Models in Quantum Transport. arXiv 2025, arXiv:2508.20343. [Google Scholar] [CrossRef]
- Miao, R.; Xu, H.; Skripnik, M.; Cui, L.; Wang, K.; Pedersen, K.G.; Leijnse, M.; Pauly, F.; Waarnmark, K.; Meyhofer, E.; et al. Influence of quantum interference on the thermoelectric properties of molecular junctions. Nano Lett. 2018, 18, 5666–5672. [Google Scholar] [CrossRef] [PubMed]
- Bergfield, J.P. Identifying Quantum Interference Effects from Joint Conductance–Thermopower Statistics. Nano Lett. 2024, 24, 15110–15117. [Google Scholar] [CrossRef] [PubMed]
- Hamill, J.M.; Ismael, A.; Al-Jobory, A.; Bennett, T.L.; Alshahrani, M.; Wang, X.; Akers-Douglas, M.; Wilkinson, L.A.; Robinson, B.J.; Long, N.J.; et al. Quantum interference and contact effects in the thermoelectric performance of anthracene-based molecules. J. Phys. Chem. C 2023, 127, 7484–7491. [Google Scholar] [CrossRef] [PubMed]
- Finch, C.M.; García-Suárez, V.M.; Lambert, C.J. Giant thermopower and figure of merit in single-molecule devices. Phys. Rev. B 2009, 79, 033405. [Google Scholar] [CrossRef]
- Ke, S.H.; Yang, W.; Baranger, H.U. Quantum-interference-controlled molecular electronics. Nano Lett. 2008, 8, 3257–3261. [Google Scholar]
- Cardamone, D.M.; Stafford, C.A.; Mazumdar, S. Controlling quantum transport through a single molecule. Nano Lett. 2006, 6, 2422–2426. [Google Scholar] [CrossRef]
- Hansen, T.; Solomon, G.C.; Andrews, D.Q.; Ratner, M.A. Interfering pathways in benzene: An analytical treatment. J. Chem. Phys. 2009, 131, 194704. [Google Scholar] [CrossRef]
- Markussen, T.; Stadler, R.; Thygesen, K.S. The relation between structure and quantum interference in single molecule junctions. Nano Lett. 2010, 10, 4260–4265. [Google Scholar] [CrossRef]
- Solomon, G.C.; Andrews, D.Q.; Goldsmith, R.H.; Hansen, T.; Wasielewski, M.R.; Van Duyne, R.P.; Ratner, M.A. Quantum Interference in Acyclic Systems: Conductance of Cross-Conjugated Molecules. J. Am. Chem. Soc. 2008, 130, 17301–17308. [Google Scholar] [CrossRef]
- Solomon, G.C.; Andrews, D.Q.; Van Duyne, R.P.; Ratner, M.A. Electron transport through conjugated molecules: When the π system only tells part of the story. ChemPhysChem 2009, 10, 257–264. [Google Scholar] [CrossRef]
- Lunde, A.M.; Flensberg, K. On the Mott formula for the thermopower of non-interacting electrons in quantum point contacts. J. Phys. Condens. Matter 2005, 17, 3879. [Google Scholar] [PubMed]
- Bergfield, J.P.; Stafford, C.A. Thermoelectric Signatures of Coherent Transport in Single-Molecule Heterojunctions. Nano Lett. 2009, 9, 3072–3076. [Google Scholar] [CrossRef] [PubMed]
- Bergfield, J.P. Quantum Interference Supernodes, Thermoelectric Enhancement, and the Role of Dephasing. Entropy 2025, 27, 1000. [Google Scholar] [CrossRef]
- Inui, S.; Stafford, C.A.; Bergfield, J.P. Emergence of Fourier’s law of heat transport in quantum electron systems. ACS Nano 2018, 12, 4304–4311. [Google Scholar] [CrossRef]
- Solomon, G.C.; Bergfield, J.P.; Stafford, C.A.; Ratner, M.A. When “small” terms matter: Coupled interference features in the transport properties of cross-conjugated molecules. Beilstein J. Nanotechnol. 2011, 2, 862–871. [Google Scholar] [CrossRef]
- Meir, Y.; Wingreen, N.S. Landauer formula for the current through an interacting electron region. Phys. Rev. Lett. 1992, 68, 2512. [Google Scholar] [CrossRef]
- Imry, Y.; Landauer, R. Conductance viewed as transmission. In More Things in Heaven and Earth; Springer: Berlin/Heidelberg, Germany, 1999; pp. 515–525. [Google Scholar]
- Haug, H.; Jauho, A.P. Solid-State Sciences. In Quantum Kinetics in Transport and Optics of Semiconductors; Springer: Berlin/Heidelberg, Germany, 1996; Volume 123. [Google Scholar]
- Stefanucci, G.; Van Leeuwen, R. Nonequilibrium Many-Body Theory of Quantum Systems: A Modern Introduction; Cambridge University Press: Cambridge, MA, USA, 2013. [Google Scholar]
- Cuniberti, G.; Fagas, G.; Richter, K. Introducing Molecular Electronics: A Brief Overview; Springer: Berlin/Heidelberg, Germany, 2005. [Google Scholar]
- Brisker, D.; Cherkes, I.; Gnodtke, C.; Jarukanont, D.; Klaiman, S.; Koch, W.; Weissman, S.; Volkovich, R.; Toroker, M.C.; Peskin, U. Controlled electronic transport through branched molecular conductors. Mol. Phys. 2008, 106, 281–287. [Google Scholar] [CrossRef]
- Baym, G. Self-Consistent Approximations in Many-Body Systems. Phys. Rev. 1962, 127, 1391–1401. [Google Scholar] [CrossRef]
- Anderson, P.W. Localized Magnetic States in Metals. Phys. Rev. 1961, 124, 41–53. [Google Scholar] [CrossRef]
- Kozik, E.; Ferrero, M.; Georges, A. Nonexistence of the Luttinger-Ward Functional and Misleading Convergence of Skeleton Diagrammatic Series for Hubbard-Like Models. Phys. Rev. Lett. 2015, 114, 156402. [Google Scholar] [CrossRef] [PubMed]
- Vučičević, J.; Wentzell, N.; Ferrero, M.; Parcollet, O. Practical consequences of the Luttinger-Ward functional multivaluedness for cluster DMFT methods. Phys. Rev. B 2018, 97, 125141. [Google Scholar] [CrossRef]
- Lanczos, C. An iteration method for the solution of the eigenvalue problem of linear differential and integral operators. J. Res. Natl. Bur. Stand. 1950, 45, 255–282. [Google Scholar] [CrossRef]
- Barr, J.D.; Stafford, C.A.; Bergfield, J.P. Effective field theory of interacting π electrons. Phys. Rev. B 2012, 86, 115403. [Google Scholar] [CrossRef]
- Mori, H. A continued-fraction representation of the time-correlation functions. Prog. Theor. Phys. 1965, 34, 399–416. [Google Scholar] [CrossRef]
- Barford, W. Electronic and Optical Properties of Conjugated Polymers; OUP Oxford: Oxford, UK, 2005; Volume 129. [Google Scholar]
- Purcell, W.P.; Singer, J.A. A brief review and table of semiempirical parameters used in the Hueckel molecular orbital method. J. Chem. Eng. Data 1967, 12, 235–246. [Google Scholar] [CrossRef]
- Ohno, K. Some remarks on the Pariser-Parr-Pople method. Theor. Chim. Acta 1964, 2, 219–227. [Google Scholar] [CrossRef]
- Becke, A.D. Density-functional thermochemistry. III. The role of exact exchange. J. Chem. Phys. 1993, 98, 5648–5652. [Google Scholar] [CrossRef]
- Lee, C.; Yang, W.; Parr, R.G. Development of the Colle–Salvetti correlation-energy formula into a functional of the electron density. Phys. Rev. B 1988, 37, 785–789. [Google Scholar] [CrossRef]
- Krishnan, R.; Binkley, J.S.; Seeger, R.; Pople, J.A. Self-consistent molecular orbital methods. XX. A basis set for correlated wave functions. J. Chem. Phys. 1980, 72, 650–654. [Google Scholar] [CrossRef]
- McLean, A.D.; Chandler, G.S. Contracted Gaussian basis sets for molecular calculations. I. Second row atoms, Z=11–18. J. Chem. Phys. 1980, 72, 5639–5648. [Google Scholar] [CrossRef]
- Neese, F. Software update: The ORCA program system, version 6.0. WIRES Comput. Mol. Sci. 2025, 15, e70019. [Google Scholar] [CrossRef]
- Neese, F. An improvement of the resolution of the identity approximation for the formation of the Coulomb matrix. J. Comp. Chem. 2003, 24, 1740–1747. [Google Scholar] [CrossRef] [PubMed]
- Grimme, S.; Antony, J.; Ehrlich, S.; Krieg, H. A consistent and accurate ab initio parametrization of density functional dispersion correction (DFT-D) for the 94 elements H-Pu. J. Chem. Phys. 2010, 132, 154104. [Google Scholar] [CrossRef] [PubMed]
- Bykov, D.; Petrenko, T.; Izsak, R.; Kossmann, S.; Becker, U.; Valeev, E.; Neese, F. Efficient implementation of the analytic second derivatives of Hartree-Fock and hybrid DFT energies: A detailed analysis of different approximations. Molec. Phys. 2015, 113, 1961–1977. [Google Scholar] [CrossRef]
- Helmich-Paris, B.; de Souza, B.; Neese, F.; Izsák, R. An improved chain of spheres for exchange algorithm. J. Chem. Phys. 2021, 155, 104109. [Google Scholar] [CrossRef] [PubMed]
- Rankin, D.W. CRC Handbook of Chemistry and Physics; Lide, D.R., Ed.; CRC Press: Boca Raton, FL, USA, 2009. [Google Scholar]
- Reddy, P.; Jang, S.Y.; Segalman, R.A.; Majumdar, A. Thermoelectricity in molecular junctions. Science 2007, 315, 1568–1571. [Google Scholar] [CrossRef]
- Evangeli, C.; Gillemot, K.; Leary, E.; Gonzalez, M.T.; Rubio-Bollinger, G.; Lambert, C.J.; Agrait, N. Engineering the thermopower of C60 molecular junctions. Nano Lett. 2013, 13, 2141–2145. [Google Scholar] [CrossRef]
- Rincón-García, L.; Evangeli, C.; Rubio-Bollinger, G.; Agraït, N. Thermopower measurements in molecular junctions. Chem. Soc. Rev. 2016, 45, 4285–4306. [Google Scholar] [CrossRef]
- Solomon, G.C.; Andrews, D.Q.; Hansen, T.; Goldsmith, R.H.; Wasielewski, M.R.; Van Duyne, R.P.; Ratner, M.A. Understanding quantum interference in coherent molecular conduction. J. Chem. Phys. 2008, 129, 054701. [Google Scholar] [CrossRef]
- Van Veen, F.H.; Ornago, L.; Van Der Zant, H.S.; El Abbassi, M. Benchmark study of alkane molecular chains. J. Phys. Chem. C 2022, 126, 8801–8806. [Google Scholar] [CrossRef]
- Guo, S.; Hihath, J.; Diez-Perez, I.; Tao, N. Measurement and Statistical Analysis of Single-Molecule Current–Voltage Characteristics, Transition Voltage Spectroscopy, and Tunneling Barrier Height. J. Am. Chem. Soc. 2011, 133, 19189–19197. [Google Scholar]
- Li, X.; He, J.; Hihath, J.; Xu, B.; Lindsay, S.M.; Tao, N. Conductance of single alkanedithiols: Conduction mechanism and effect of molecule- electrode contacts. J. Am. Chem. Soc. 2006, 128, 2135–2141. [Google Scholar] [CrossRef] [PubMed]
- Li, C.; Pobelov, I.; Wandlowski, T.; Bagrets, A.; Arnold, A.; Evers, F. Charge transport in single Au| alkanedithiol| Au junctions: Coordination geometries and conformational degrees of freedom. J. Am. Chem. Soc. 2008, 130, 318–326. [Google Scholar] [CrossRef] [PubMed]
- Haiss, W.; Martiín, S.; Leary, E.; Zalinge, H.v.; Higgins, S.J.; Bouffier, L.; Nichols, R.J. Impact of junction formation method and surface roughness on single molecule conductance. J. Phys. Chem. C 2009, 113, 5823–5833. [Google Scholar] [CrossRef]
- Venkataraman, L.; Klare, J.E.; Tam, I.W.; Nuckolls, C.; Hybertsen, M.S.; Steigerwald, M.L. Single-molecule circuits with well-defined molecular conductance. Nano Lett. 2006, 6, 458–462. [Google Scholar] [CrossRef]
Disclaimer/Publisher’s Note: The statements, opinions and data contained in all publications are solely those of the individual author(s) and contributor(s) and not of MDPI and/or the editor(s). MDPI and/or the editor(s) disclaim responsibility for any injury to people or property resulting from any ideas, methods, instructions or products referred to in the content. |
© 2025 by the author. Licensee MDPI, Basel, Switzerland. This article is an open access article distributed under the terms and conditions of the Creative Commons Attribution (CC BY) license (https://creativecommons.org/licenses/by/4.0/).



