Topological Properties of the 2D 2-Band System with Generalized W-Shaped Band Inversion
Abstract
1. Introduction
2. Methods
2.1. The Model
2.2. The Berry Phase
2.3. The Anomalous QHE
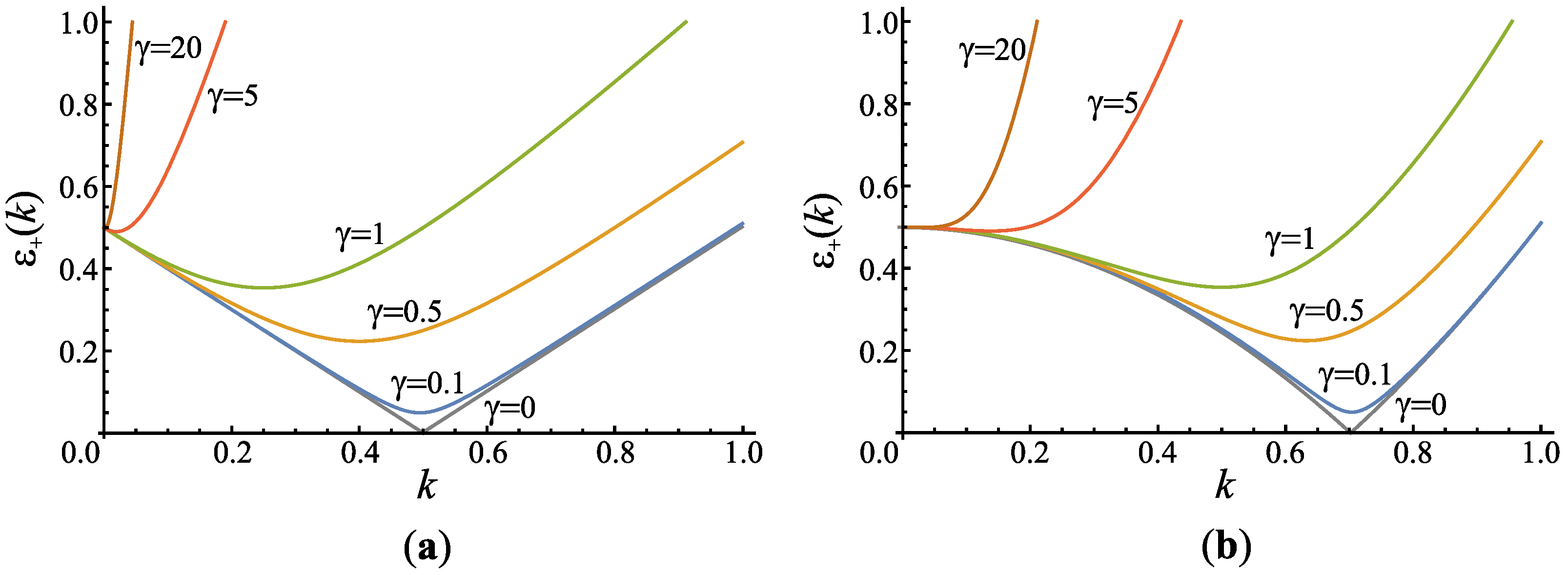
3. Results
4. Discussion
Author Contributions
Funding
Data Availability Statement
Conflicts of Interest
References
- Berry, M.V. Quantal phase factor accompanying adiabatic changes. Proc. R. Soc. Lond. Ser. A 1984, 392, 45–57. [Google Scholar]
- Bohm, D. Quantm Theory; Prentice-Hall, Inc.: New York, NY, USA, 1951; Chapter 20, Section 1. [Google Scholar]
- Cohen, E.; Larocque, H.; Bouchard, F.; Nejadsattari, F.; Gefen, Y.; Karimi, E. Geometric phase from Aharonov–Bohm to Pancharatnam–Berry and beyond. Nat. Rev. Phys. 2019, 1, 437–449. [Google Scholar] [CrossRef]
- Moore, J. The birth of topological insulators. Nature 2010, 464, 194–198. [Google Scholar] [CrossRef] [PubMed]
- Klitzing, K.V.; Dorda, G.; Pepper, M. New Method for High-Accuracy Determination of the Fine-Structure Constant Based on Quantized Hall Resistance. Phys. Rev. Lett. 1980, 45, 494–497. [Google Scholar] [CrossRef]
- Klitzing, K.V. The quantized Hall effect. Rev. Mod. Phys. 1986, 58, 519–531. [Google Scholar] [CrossRef]
- Wilczek, F. Magnetic Flux, Angular Momentum, and Statistics. Phys. Rev. Lett. 1982, 48, 1144–1146. [Google Scholar] [CrossRef]
- Tsui, D.C.; Stormer, H.L.; Gossard, A.C. Two-Dimensional Magnetotransport in the Extreme Quantum Limit. Phys. Rev. Lett. 1982, 48, 1559–1562. [Google Scholar] [CrossRef]
- Laughlin, R.B. Anomalous Quantum Hall Effect: An Incompressible Quantum Fluid with Fractionally Charged Excitations. Phys. Rev. Lett. 1983, 50, 1395–1398. [Google Scholar] [CrossRef]
- Kitaev, A. Fault-tolerant quantum computation by anyons. Ann. Phys. 1997, 303, 2–30. [Google Scholar] [CrossRef]
- Todorić, M.; Jukić, D.; Radić, D.; Soljačić, M.; Buljan, H. Quantum Hall Effect with Composites of Magnetic Flux Tubes and Charged Particles. Phys. Rev. Lett. 2018, 120, 267201. [Google Scholar] [CrossRef]
- Larson, J.; Sjöquist, E.; Öhberg, P. Conical Intersections in Physics, an Introduction to Synthetic Gauge Theories; Springer Nature: Cham, Switzerland, 2020; Chapter 4; pp. 55–91. [Google Scholar]
- Chang, C.-Z.; Zhang, J.; Feng, X.; Shen, J.; Zhang, Z.; Guo, M.; Li, K.; Ou, Y.; Wei, P.; Wang, L.-L.; et al. Experimental observation of the quantum anomalous Hall effect in a magnetic topological insulator. Science 2013, 340, 167–170. [Google Scholar] [CrossRef] [PubMed]
- Haldane, F.D.M. Model for a quantum Hall Effect without Landau levels: Condensed-matter realization of the ‘parity’ anomaly. Phys. Rev. Lett. 1988, 61, 2015–2018. [Google Scholar] [CrossRef] [PubMed]
- Jotzu, G.; Messer, M.; Desbuquois, R.; Lebrat, M.; Uehlinger, T.; Greif, D.; Esslinger, T. Experimental realization of the topological Haldane model with ultracold fermions. Nature 2014, 515, 237–240. [Google Scholar] [CrossRef] [PubMed]
- Bernevig, B.A.; Hughes, T.L.; Zhang, S.-C. Quantum Spin Hall Effect and Topological Phase Transition in HgTe Quantum Wells. Science 2006, 314, 1757–1761. [Google Scholar] [CrossRef]
- Peres, N.M.R.; Santos, J.E. Strong light—Matter interaction in systems described by a modified Dirac equation. J. Phys. Condens. Matter 2013, 25, 305801. [Google Scholar] [CrossRef]
- Thouless, D.J.; Kohmoto, M.; Nightingale, M.P.; den Nijs, M. Quantized Hall conductance in a two-dimensional periodic potential. Phys. Rev. Lett. 1982, 49, 405–408. [Google Scholar] [CrossRef]
- Streda, P. Theory of quantised Hall conductivity in two dimensions. J. Phys. C Solid State Phys. 1982, 15, L717–L721. [Google Scholar] [CrossRef]
- Kohmoto, M. Topological invariant and the quantization of the Hall conductance. Ann. Phys. 1985, 160, 343–354. [Google Scholar] [CrossRef]
- Kohomoto, M. Zero modes and the quantized Hall conductance of the two-dimensional lattice in a magnetic field. Phys. Rev. B 1989, 39, 11943–11949. [Google Scholar] [CrossRef]
- Sinitsyn, N.A.; Hill, J.E.; Min, H.; Sinova, J.; MacDonald, A.H. Charge and Spin Hall Conductivity in Metallic Graphene. Phys. Rev. Lett. 2006, 97, 106804. [Google Scholar] [CrossRef]
- Kitaev, A. Periodic table for topological insulators and superconductors. AIP Conf. Proc. 2009, 1134, 22–30. [Google Scholar]
- Xiao, D.; Yao, W.; Niu, Q. Valley-Contrasting Physics in Graphene: Magnetic Moment and Topological Transport. Phys. Rev. Lett. 2007, 99, 236809. [Google Scholar] [CrossRef] [PubMed]
- Rukelj, Z.; Akrap, A. Carrier concentrations and optical conductivity of a band-inverted semimetal in two and three dimensions. Phys. Rev. B 2021, 104, 075108. [Google Scholar] [CrossRef]





| Publisher’s Note: MDPI stays neutral with regard to jurisdictional claims in published maps and institutional affiliations. | 
© 2022 by the authors. Licensee MDPI, Basel, Switzerland. This article is an open access article distributed under the terms and conditions of the Creative Commons Attribution (CC BY) license (https://creativecommons.org/licenses/by/4.0/).
Share and Cite
Rukelj, Z.; Radić, D. Topological Properties of the 2D 2-Band System with Generalized W-Shaped Band Inversion. Quantum Rep. 2022, 4, 476-485. https://doi.org/10.3390/quantum4040034
Rukelj Z, Radić D. Topological Properties of the 2D 2-Band System with Generalized W-Shaped Band Inversion. Quantum Reports. 2022; 4(4):476-485. https://doi.org/10.3390/quantum4040034
Chicago/Turabian StyleRukelj, Zoran, and Danko Radić. 2022. "Topological Properties of the 2D 2-Band System with Generalized W-Shaped Band Inversion" Quantum Reports 4, no. 4: 476-485. https://doi.org/10.3390/quantum4040034
APA StyleRukelj, Z., & Radić, D. (2022). Topological Properties of the 2D 2-Band System with Generalized W-Shaped Band Inversion. Quantum Reports, 4(4), 476-485. https://doi.org/10.3390/quantum4040034
 
         
                                                


