Statistical Quantifiers Resolve a Nuclear Theory Controversy
Abstract
:1. Introduction
1.1. Statistical Order
1.2. Disequilibrium
1.3. Exactly Solvable Lipkin-like Models
2. The AFP Model
3. Hamiltonian Matrices
4. Thermal Quantifiers
4.1. Complexity-Associated Quantum Quantifiers
4.2. Thermal Efficiency
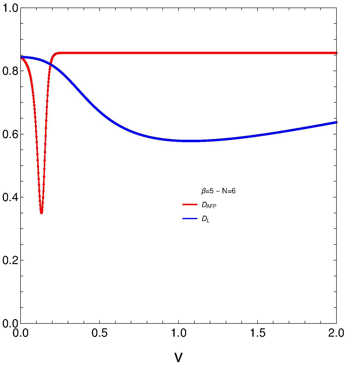
5. The Controversy
Renormalized Coupling
6. Conclusions
Author Contributions
Funding
Institutional Review Board Statement
Informed Consent Statement
Data Availability Statement
Acknowledgments
Conflicts of Interest
References
- Hubbard, J. Electron Correlations in Narrow Energy Bands. Proc. R. Soc. Lond. 1963, 276, 238–257. [Google Scholar]
- Liu, Y. Exact solutions to nonlinear Schrodinger equation with variable coefficients. Appl. Math. Comput. 2011, 217, 5866. [Google Scholar] [CrossRef]
- Frank, R. Quantum criticality and population trapping of fermions by non-equilibrium lattice modulations. New J. Phys. 2013, 15, 123030. [Google Scholar] [CrossRef] [Green Version]
- Lubatsch, A.; Frank, R. Evolution of Floquet topological quantum states in driven semiconductors. Eur. Phys. J. B 2019, 92, 215. [Google Scholar] [CrossRef] [Green Version]
- Otero, D.; Proto, A.; Plastino, A. Surprisal Approach to Cold Fission Processes. Phys. Lett. 1981, 98, 225. [Google Scholar] [CrossRef]
- Satuła, W.; Dobaczewski, J.; Nazarewicz, W. Odd-Even Staggering of Nuclear Masses: Pairing or Shape Effect? Phys. Rev. Lett. 1998, 81, 3599. [Google Scholar] [CrossRef] [Green Version]
- Dugett, T.; Bonche, P.; Heenen, P.H.; Meyer, J. Pairing correlations. II. Microscopic analysis of odd-even mass staggering in nuclei. Phys. Rev. C 2001, 65, 014311. [Google Scholar] [CrossRef] [Green Version]
- Ring, P.; Schuck, P. The Nuclear Many-Body Problem; Springer: Berlin/Heidelberg, Germany, 1980. [Google Scholar]
- Uys, H.; Miller, H.G.; Khanna, F.C. Generalized statistics and high-Tc superconductivity. Phys. Lett. A 2001, 289, 264. [Google Scholar] [CrossRef] [Green Version]
- Kruse, M.K.G.; Miller, H.G.; Plastino, A.R.; Plastino, A.; Fujita, S. Landau-Ginzburg method applied to finite fermion systems: Pairing in nuclei. Eur. J. Phys. A 2005, 25, 339. [Google Scholar] [CrossRef]
- de Llano, M.; Tolmachev, V.V. Multiple phases in a new statistical boson fermion model of superconductivity. Physica A 2003, 317, 546. [Google Scholar] [CrossRef]
- Xu, F.R.; Wyss, R.; Walker, P.M. Mean-field and blocking effects on odd-even mass differences and rotational motion of nuclei. Phys. Rev. C 1999, 60, 051301. [Google Scholar] [CrossRef] [Green Version]
- Häkkinen, H.; Kolehmainen, J.; Koskinen, M.; Lipas, P.O.; Manninen, M. Universal Shapes of Small Fermion Clusters. Phys. Rev. Lett. 1997, 78, 1034. [Google Scholar] [CrossRef] [Green Version]
- Lipkin, H.J.; Meshkov, N.; Glick, A.J. Validity of many-body approximation methods for a solvable model: (I). Exact solutions and perturbation theory. Nucl. Phys. 1965, 62, 188–198. [Google Scholar] [CrossRef]
- Co, G.; De Leo, S. Analytical and numerical analysis of the complete Lipkin–Meshkov–Glick Hamiltonian. Int. J. Mod. Phys. E 2018, 27, 1850039. [Google Scholar]
- Reif, F. Fundamentals of Statistical and Thermal Physics; McGraw Hill: New York, NY, USA, 1965. [Google Scholar]
- Ruiz, R.L.; Mancini, H.L.; Calbet, X. A statistical measure of complexity. Phys. Lett. A 1995, 209, 321. [Google Scholar] [CrossRef] [Green Version]
- Arrachea, L.; Canosa, N.; Plastino, A.; Portesi, M.; Rossignol, R. Maximum Entropy Approach to Critical Phenomena in Finite Quantum Systems. Phys. Rev. A 1992, 45, 44. [Google Scholar] [CrossRef]
- Abecasis, S.M.; Faessler, A.; Plastino, A. Application of the Multi Configuration Hartree-Fock Theory to a Simple. Model. Z. Phys. 1969, 218, 394. [Google Scholar] [CrossRef]
- Feng, D.H.; Gilmore, R.G. Critical properties of a generalized pseudospin Hamiltonian. Phys. Rev. C 1982, 26, 1244. [Google Scholar] [CrossRef]
- Bozzolo, G.; Cambiaggio, M.C.; Plastino, A. Maximum Overlap, Atomic Coherent States and the Generator Coordinate Method. Nucl. Phys. A 1981, 356, 48. [Google Scholar] [CrossRef]
- López-Ruiz, R. A information-theoretic Measure of Complexity. In Concepts and Recent Advances in Generalized Information Measures and Statistics; Kowalski, A., Rossignoli, R., Curado, E.M.C., Eds.; Bentham Science Books: New York, NY, USA, 2013; pp. 147–168. [Google Scholar]
- Martin, M.T.; Plastino, A.; Rosso, O.A. Generalized information-theoretic complexity measures: Geometrical and analytical properties. Physica A 2006, 369, 439. [Google Scholar] [CrossRef]
- Dehesa, J.S.; López-Rosa, S.; Manzano, D. Configuration complexities of hydrogenic atoms. Eur. Phys. J. D 2009, 55, 539. [Google Scholar] [CrossRef] [Green Version]
- Esquivel, R.O.; Molina-Espiritu, M.; Angulo, J.C.; Antoín, J.; Flores-Gallegos, N.; Dehesa, J.S. Information-theoretical complexity for the hydrogenic abstraction reaction. Mol. Phys. 2011, 109, 2353. [Google Scholar] [CrossRef]
- Pennini, F.; Plastino, A. Disequilibrium, thermodynamic relations, and Renyi’s entropy. Phys. Lett. A 2017, 381, 212. [Google Scholar] [CrossRef]
- Martin, M.T.; Plastino, A.; Rosso, O.A. Information-theoretic complexity and disequilibrium. Phys. Lett. A 2003, 311, 126. [Google Scholar] [CrossRef]
- Pennini, F.; Plastino, A.; Plastino, A.R. Thermal–Statistical Odd–Even Fermions’ Staggering Effect and the Order–Disorder Disjunction. Entropy 2021, 23, 1428. [Google Scholar] [CrossRef]
- Nigmatullin, R.; Prokopenko, M. Thermodynamic efficiency of interactions in self-organizing systems. Entropy 2021, 23, 757. [Google Scholar] [CrossRef]
- Pennini, F.; Plastino, A. Complexity and disequilibrium as telltales of superconductivity. Physica A 2018, 506, 828–834. [Google Scholar] [CrossRef]





Publisher’s Note: MDPI stays neutral with regard to jurisdictional claims in published maps and institutional affiliations. |
© 2022 by the authors. Licensee MDPI, Basel, Switzerland. This article is an open access article distributed under the terms and conditions of the Creative Commons Attribution (CC BY) license (https://creativecommons.org/licenses/by/4.0/).
Share and Cite
Monteoliva, D.; Plastino, A.; Plastino, A.R. Statistical Quantifiers Resolve a Nuclear Theory Controversy. Quantum Rep. 2022, 4, 127-134. https://doi.org/10.3390/quantum4010009
Monteoliva D, Plastino A, Plastino AR. Statistical Quantifiers Resolve a Nuclear Theory Controversy. Quantum Reports. 2022; 4(1):127-134. https://doi.org/10.3390/quantum4010009
Chicago/Turabian StyleMonteoliva, Diana, Angelo Plastino, and Angel Ricardo Plastino. 2022. "Statistical Quantifiers Resolve a Nuclear Theory Controversy" Quantum Reports 4, no. 1: 127-134. https://doi.org/10.3390/quantum4010009
APA StyleMonteoliva, D., Plastino, A., & Plastino, A. R. (2022). Statistical Quantifiers Resolve a Nuclear Theory Controversy. Quantum Reports, 4(1), 127-134. https://doi.org/10.3390/quantum4010009

