Correlations between Complexity and Entanglement in a One-Dimensional XY Model
Abstract
1. Introduction
1.1. Motivation
1.2. Our Goal
2. Meaning of the Statistical Complexity Measure
3. The Model
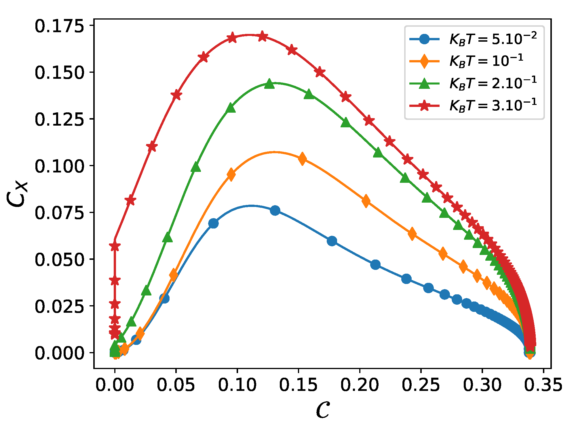
3.1. The Statistical Complexity Applied to the Model
3.2. Site-Concurrence in the Model
4. Present Results
- if z is such that the system becomes maximally “ordered”, the SC vanishes.
- if z is such that the system becomes maximally “disordered”, the SC vanishes.
- for intermediate z-values, the SC attains a maximum value.
- disentangled systems (here sites) A and B are independent ones, like the particles of an ideal gas. The complexity vanishes [4].
- as two systems (here sites) entangle themselves, they become obviously linked.
- if the degree of entanglement is high, the separate identities give place to a new entity , with its own features, like a “crystal” with reference to its constituent atoms. The complexity vanishes again [4].
5. Conclusions
Author Contributions
Funding
Acknowledgments
Conflicts of Interest
References
- Osborne, T.J.; Nielsen, M.A. Entanglement in a simple quantum phase transition. Phys. Rev. A 2002, 66, 032110. [Google Scholar] [CrossRef]
- Nielsen, M.A. Quantum information theory. arXiv 2000, arXiv:quant-ph/0011036. [Google Scholar]
- Preskill, J. Quantum information and physics: Some future directions. J. Mod. Opt. 2000, 47, 127–137. [Google Scholar] [CrossRef]
- López-Ruiz, R.; Mancini, H.; Calbet, X. A statistical measure of complexity. Phys. Lett. A 1995, 209, 321–326. [Google Scholar] [CrossRef]
- Crutchfield, J.P. The calculi of emergence: Computation, dynamics and induction. Phys. D Nonlinear Phenom. 1994, 75, 11–54. [Google Scholar] [CrossRef]
- Feldman, D.P.; Crutchfield, J.P. Measures of statistical complexity: Why? Phys. Lett. Sect. A 1998, 238, 244–252. [Google Scholar] [CrossRef]
- Martin, M.; Plastino, A.; Rosso, O. Statistical complexity and disequilibrium. Phys. Lett. A 2003, 311, 126–132. [Google Scholar] [CrossRef]
- Kowalski, A.; Martin, M.; Plastino, A.; Proto, A.; Rosso, O. Wavelet statistical complexity analysis of the classical limit. Phys. Lett. A 2003, 311, 180–191. [Google Scholar] [CrossRef]
- Rudnicki, Ł.; Toranzo, I.V.; Sánchez-Moreno, P.; Dehesa, J.S. Monotone measures of statistical complexity. Phys. Lett. A 2016, 380, 377–380. [Google Scholar]
- López-Ruiz, R. A statistical measure of complexity. In Concepts and Recent Advances in Generalized Information Measures and Statistics; Kowalski, R.A., Rossignoli, E.C., Eds.; Bentham Science Publishers: Sharjah, UAE, 2013; pp. 147–168. [Google Scholar]
- Sen, K.D. Statistical Complexity: Applications in Electronic Structure; Springer Science & Business Media: Berlin/Heidelberg, Germany, 2011. [Google Scholar]
- Mitchell, M. Complexity: A Guided Tour; Oxford University Press: Oxford, UK, 2009. [Google Scholar]
- Martin, M.; Plastino, A.; Rosso, O. Generalized statistical complexity measures: Geometrical and analytical properties. Phys. A Stat. Mech. Its Appl. 2006, 369, 439–462. [Google Scholar] [CrossRef]
- Pennini, F.; Plastino, A. Disequilibrium, thermodynamic relations, and Rényi’s entropy. Phys. Lett. A 2017, 381, 212–215. [Google Scholar] [CrossRef]
- Pennini, F.; Plastino, A. Complexity and disequilibrium as telltales of superconductivity. Phys. A Stat. Mech. Its Appl. 2018, 506, 828–834. [Google Scholar] [CrossRef]
- Pennini, F.; Plastino, A. Disequilibrium, complexity, the Schottky effect, and q-entropies, in paramagnetism. Phys. A Stat. Mech. Its Appl. 2017, 488, 85–95. [Google Scholar] [CrossRef]
- Pennini, F.; Plastino, A. Statistical Complexity of the Coriolis Antipairing Effect. Entropy 2019, 21, 558. [Google Scholar] [CrossRef]
- Branada, R.; Pennini, F.; Plastino, A. Statistical complexity and classical–quantum frontier. Phys. A Stat. Mech. Its Appl. 2018, 511, 18–26. [Google Scholar] [CrossRef]
- Pennini, F.; Plastino, A. Statistical quantifiers for few-fermion’systems. Phys. A Stat. Mech. Its Appl. 2018, 491, 305–312. [Google Scholar] [CrossRef]
- Pennini, F.; Plastino, A. Statistical manifestation of quantum correlations via disequilibrium. Phys. Lett. A 2017, 381, 3849–3854. [Google Scholar] [CrossRef]
- Anteneodo, C.; Plastino, A.R. Some features of the López-Ruiz-Mancini-Calbet (LMC) statistical measure of complexity. Phys. Lett. A 1996, 223, 348–354. [Google Scholar] [CrossRef]
- Ribeiro, H.V.; Zunino, L.; Mendes, R.S.; Lenzi, E.K. Complexity–entropy causality plane: A useful approach for distinguishing songs. Phys. A Stat. Mech. Its Appl. 2012, 391, 2421–2428. [Google Scholar] [CrossRef]
- Wootters, W.K. Entanglement of formation and concurrence. Quantum Inf. Comput. 2001, 1, 27–44. [Google Scholar]
- Wootters, W.K. Entanglement of formation of an arbitrary state of two qubits. Phys. Rev. Lett. 1998, 80, 2245. [Google Scholar] [CrossRef]
- Hill, S.; Wootters, W.K. Entanglement of a pair of quantum bits. Phys. Rev. Lett. 1997, 78, 5022. [Google Scholar] [CrossRef]
- Borras, A.; Majtey, A.; Plastino, A.; Casas, M.; Plastino, A. Typical features of the Mintert-Buchleitner lower bound for concurrence. Phys. Rev. A 2009, 79, 022112. [Google Scholar] [CrossRef]
- Lloyd, S. Measures of complexity: A nonexhaustive list. IEEE Control Syst. Mag. 2001, 21, 7–8. [Google Scholar]
- Takahashi, M. Thermodynamics of One-Dimensional Solvable Models; Cambridge University Press: Cambridge, UK, 2005. [Google Scholar]
- Jordan, P.; Wigner, E.P. About the Pauli exclusion principle. Z. Phys. 1928, 47, 631–651. [Google Scholar] [CrossRef]
- Barouch, E.; McCoy, B.M.; Dresden, M. Statistical mechanics of the XY model. I. Phys. Rev. A 1970, 2, 1075. [Google Scholar] [CrossRef]
- López-Ruiz, R. Complexity in some physical systems. Int. J. Bifurc. Chaos 2001, 11, 2669–2673. [Google Scholar] [CrossRef]
- Arnesen, M.; Bose, S.; Vedral, V. Natural thermal and magnetic entanglement in the 1D Heisenberg model. Phys. Rev. Lett. 2001, 87, 017901. [Google Scholar] [CrossRef]



© 2020 by the authors. Licensee MDPI, Basel, Switzerland. This article is an open access article distributed under the terms and conditions of the Creative Commons Attribution (CC BY) license (http://creativecommons.org/licenses/by/4.0/).
Share and Cite
Apel, V.M.; Mundarain, D.; Pennini, F.; Plastino, A. Correlations between Complexity and Entanglement in a One-Dimensional XY Model. Quantum Rep. 2020, 2, 305-313. https://doi.org/10.3390/quantum2020020
Apel VM, Mundarain D, Pennini F, Plastino A. Correlations between Complexity and Entanglement in a One-Dimensional XY Model. Quantum Reports. 2020; 2(2):305-313. https://doi.org/10.3390/quantum2020020
Chicago/Turabian StyleApel, V. M., Douglas Mundarain, Flavia Pennini, and Angelo Plastino. 2020. "Correlations between Complexity and Entanglement in a One-Dimensional XY Model" Quantum Reports 2, no. 2: 305-313. https://doi.org/10.3390/quantum2020020
APA StyleApel, V. M., Mundarain, D., Pennini, F., & Plastino, A. (2020). Correlations between Complexity and Entanglement in a One-Dimensional XY Model. Quantum Reports, 2(2), 305-313. https://doi.org/10.3390/quantum2020020

